达帕格列净对膜性肾病患者的影响

Glomerular diseases Pub Date : 2024-06-21 eCollection Date: 2024-01-01 DOI:10.1159/000539770
Glenn M Chertow, Hiddo Lambers Heerspink, Patrick B Mark, Jamie P Dwyer, Michal Nowicki, David C Wheeler, Ricardo Correa-Rotter, Peter Rossing, Robert D Toto, Anna Maria Langkilde, Niels Jongs
{"title":"达帕格列净对膜性肾病患者的影响","authors":"Glenn M Chertow, Hiddo Lambers Heerspink, Patrick B Mark, Jamie P Dwyer, Michal Nowicki, David C Wheeler, Ricardo Correa-Rotter, Peter Rossing, Robert D Toto, Anna Maria Langkilde, Niels Jongs","doi":"10.1159/000539770","DOIUrl":null,"url":null,"abstract":"<p><strong>Introduction: </strong>Despite the provision of renin-angiotensin-aldosterone-system inhibitors and immunosuppressive therapies, membranous nephropathy often progresses to end-stage kidney disease (ESKD). The objective of this prespecified analysis was to assess the safety and efficacy of dapagliflozin in patients with membranous nephropathy enrolled in the DAPA-CKD trial.</p><p><strong>Methods: </strong>Patients with an estimated glomerular filtration rate (eGFR) of 25-75 mL/min/1.73 m<sup>2</sup> and urinary albumin-to-creatinine ratio (UACR) 200-5,000 mg/g were randomized to dapagliflozin 10 mg once daily or placebo, along with standard-of-care and followed for median 2.4 years. The primary endpoint was a composite of ≥50% sustained decline in eGFR, ESKD, or kidney or cardiovascular death. Exploratory efficacy endpoints included eGFR slope and UACR.</p><p><strong>Results: </strong>Among DAPA-CKD participants with membranous nephropathy, 19 were randomized to dapagliflozin and 24 to placebo. The mean (SD) age was 59.9 ± 12.1 years, the mean eGFR was 45.7 ± 12.1 mL/min/1.73 m<sup>2</sup>, and the median UACR was 1,694.5 (25%, 75% range 891-2,582.5) mg/g. Two of 19 (11%) patients randomized to dapagliflozin and five of 24 (21%) randomized to placebo experienced the primary composite endpoint. Total and chronic mean eGFR slopes for dapagliflozin and placebo were -3.87 and -4.29 and -2.66 and -4.22 mL/min/1.73 m<sup>2</sup>/year, respectively; corresponding between-group mean differences were 0.42 and 1.57 mL/min/1.73 m<sup>2</sup>/year. Dapagliflozin reduced geometric mean (SEM) UACR relative to placebo (-29.3% ± 1.2% vs. -3.6% ± 1.1%; between-group mean difference [95% CI] -26.7 [-50.4, 8.3]). Four (21%) patients randomized to dapagliflozin and seven (29%) randomized to placebo experienced a serious adverse event.</p><p><strong>Conclusion: </strong>In membranous nephropathy, the effects of dapagliflozin on kidney disease progression and albuminuria were generally favorable; there was insufficient power to justify formal inference testing.</p>","PeriodicalId":73177,"journal":{"name":"Glomerular diseases","volume":"4 1","pages":"137-145"},"PeriodicalIF":0.0000,"publicationDate":"2024-06-21","publicationTypes":"Journal Article","fieldsOfStudy":null,"isOpenAccess":false,"openAccessPdf":"https://www.ncbi.nlm.nih.gov/pmc/articles/PMC11324228/pdf/","citationCount":"0","resultStr":"{\"title\":\"Effects of Dapagliflozin in Patients with Membranous Nephropathy.\",\"authors\":\"Glenn M Chertow, Hiddo Lambers Heerspink, Patrick B Mark, Jamie P Dwyer, Michal Nowicki, David C Wheeler, Ricardo Correa-Rotter, Peter Rossing, Robert D Toto, Anna Maria Langkilde, Niels Jongs\",\"doi\":\"10.1159/000539770\",\"DOIUrl\":null,\"url\":null,\"abstract\":\"<p><strong>Introduction: </strong>Despite the provision of renin-angiotensin-aldosterone-system inhibitors and immunosuppressive therapies, membranous nephropathy often progresses to end-stage kidney disease (ESKD). The objective of this prespecified analysis was to assess the safety and efficacy of dapagliflozin in patients with membranous nephropathy enrolled in the DAPA-CKD trial.</p><p><strong>Methods: </strong>Patients with an estimated glomerular filtration rate (eGFR) of 25-75 mL/min/1.73 m<sup>2</sup> and urinary albumin-to-creatinine ratio (UACR) 200-5,000 mg/g were randomized to dapagliflozin 10 mg once daily or placebo, along with standard-of-care and followed for median 2.4 years. The primary endpoint was a composite of ≥50% sustained decline in eGFR, ESKD, or kidney or cardiovascular death. Exploratory efficacy endpoints included eGFR slope and UACR.</p><p><strong>Results: </strong>Among DAPA-CKD participants with membranous nephropathy, 19 were randomized to dapagliflozin and 24 to placebo. The mean (SD) age was 59.9 ± 12.1 years, the mean eGFR was 45.7 ± 12.1 mL/min/1.73 m<sup>2</sup>, and the median UACR was 1,694.5 (25%, 75% range 891-2,582.5) mg/g. Two of 19 (11%) patients randomized to dapagliflozin and five of 24 (21%) randomized to placebo experienced the primary composite endpoint. Total and chronic mean eGFR slopes for dapagliflozin and placebo were -3.87 and -4.29 and -2.66 and -4.22 mL/min/1.73 m<sup>2</sup>/year, respectively; corresponding between-group mean differences were 0.42 and 1.57 mL/min/1.73 m<sup>2</sup>/year. Dapagliflozin reduced geometric mean (SEM) UACR relative to placebo (-29.3% ± 1.2% vs. -3.6% ± 1.1%; between-group mean difference [95% CI] -26.7 [-50.4, 8.3]). Four (21%) patients randomized to dapagliflozin and seven (29%) randomized to placebo experienced a serious adverse event.</p><p><strong>Conclusion: </strong>In membranous nephropathy, the effects of dapagliflozin on kidney disease progression and albuminuria were generally favorable; there was insufficient power to justify formal inference testing.</p>\",\"PeriodicalId\":73177,\"journal\":{\"name\":\"Glomerular diseases\",\"volume\":\"4 1\",\"pages\":\"137-145\"},\"PeriodicalIF\":0.0000,\"publicationDate\":\"2024-06-21\",\"publicationTypes\":\"Journal Article\",\"fieldsOfStudy\":null,\"isOpenAccess\":false,\"openAccessPdf\":\"https://www.ncbi.nlm.nih.gov/pmc/articles/PMC11324228/pdf/\",\"citationCount\":\"0\",\"resultStr\":null,\"platform\":\"Semanticscholar\",\"paperid\":null,\"PeriodicalName\":\"Glomerular diseases\",\"FirstCategoryId\":\"1085\",\"ListUrlMain\":\"https://doi.org/10.1159/000539770\",\"RegionNum\":0,\"RegionCategory\":null,\"ArticlePicture\":[],\"TitleCN\":null,\"AbstractTextCN\":null,\"PMCID\":null,\"EPubDate\":\"2024/1/1 0:00:00\",\"PubModel\":\"eCollection\",\"JCR\":\"\",\"JCRName\":\"\",\"Score\":null,\"Total\":0}","platform":"Semanticscholar","paperid":null,"PeriodicalName":"Glomerular diseases","FirstCategoryId":"1085","ListUrlMain":"https://doi.org/10.1159/000539770","RegionNum":0,"RegionCategory":null,"ArticlePicture":[],"TitleCN":null,"AbstractTextCN":null,"PMCID":null,"EPubDate":"2024/1/1 0:00:00","PubModel":"eCollection","JCR":"","JCRName":"","Score":null,"Total":0}
引用次数: 0

摘要

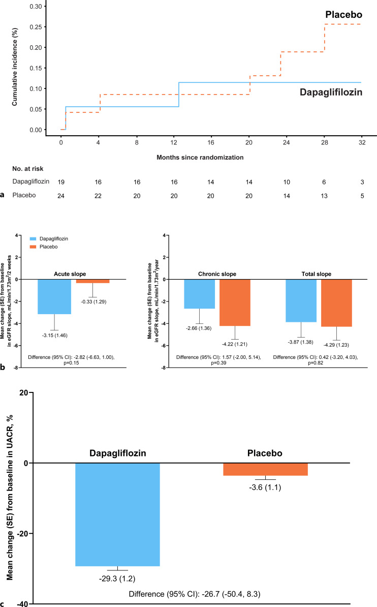
导言:尽管使用了肾素-血管紧张素-醛固酮系统抑制剂和免疫抑制疗法,膜性肾病仍常常发展为终末期肾病(ESKD)。这项预设分析的目的是评估达帕格列净对参加DAPA-CKD试验的膜性肾病患者的安全性和有效性:估计肾小球滤过率(eGFR)为25-75 mL/min/1.73 m2、尿白蛋白与肌酐比值(UACR)为200-5,000 mg/g的患者随机接受达帕格列净10 mg每日一次或安慰剂治疗,同时接受标准护理,中位随访2.4年。主要终点是 eGFR 持续下降≥50%、ESKD 或肾脏或心血管死亡的复合终点。探索性疗效终点包括 eGFR 斜率和 UACR:在患有膜性肾病的 DAPA-CKD 参与者中,19 人随机接受达帕格列净治疗,24 人接受安慰剂治疗。平均(标清)年龄为 59.9 ± 12.1 岁,平均 eGFR 为 45.7 ± 12.1 mL/min/1.73 m2,中位 UACR 为 1,694.5 (25%, 75% range 891-2,582.5) mg/g。随机接受达帕格列净治疗的 19 例患者中有 2 例(11%)和随机接受安慰剂治疗的 24 例患者中有 5 例(21%)达到了主要复合终点。达帕格列净和安慰剂的总平均和慢性平均eGFR斜率分别为-3.87和-4.29,以及-2.66和-4.22 mL/min/1.73 m2/年;相应的组间平均差异为0.42和1.57 mL/min/1.73 m2/年。与安慰剂相比,达帕格列净降低了几何平均(SEM)UACR(-29.3% ± 1.2% vs. -3.6% ± 1.1%;组间平均差异 [95% CI] -26.7 [-50.4, 8.3])。4名(21%)随机接受达帕格列净治疗的患者和7名(29%)随机接受安慰剂治疗的患者发生了严重不良事件:结论:在膜性肾病患者中,达帕格列净对肾病进展和白蛋白尿的影响总体上是有利的;功率不足,无法进行正式推论测试。
本文章由计算机程序翻译,如有差异,请以英文原文为准。

Effects of Dapagliflozin in Patients with Membranous Nephropathy.

Effects of Dapagliflozin in Patients with Membranous Nephropathy.

Introduction: Despite the provision of renin-angiotensin-aldosterone-system inhibitors and immunosuppressive therapies, membranous nephropathy often progresses to end-stage kidney disease (ESKD). The objective of this prespecified analysis was to assess the safety and efficacy of dapagliflozin in patients with membranous nephropathy enrolled in the DAPA-CKD trial.

Methods: Patients with an estimated glomerular filtration rate (eGFR) of 25-75 mL/min/1.73 m2 and urinary albumin-to-creatinine ratio (UACR) 200-5,000 mg/g were randomized to dapagliflozin 10 mg once daily or placebo, along with standard-of-care and followed for median 2.4 years. The primary endpoint was a composite of ≥50% sustained decline in eGFR, ESKD, or kidney or cardiovascular death. Exploratory efficacy endpoints included eGFR slope and UACR.

Results: Among DAPA-CKD participants with membranous nephropathy, 19 were randomized to dapagliflozin and 24 to placebo. The mean (SD) age was 59.9 ± 12.1 years, the mean eGFR was 45.7 ± 12.1 mL/min/1.73 m2, and the median UACR was 1,694.5 (25%, 75% range 891-2,582.5) mg/g. Two of 19 (11%) patients randomized to dapagliflozin and five of 24 (21%) randomized to placebo experienced the primary composite endpoint. Total and chronic mean eGFR slopes for dapagliflozin and placebo were -3.87 and -4.29 and -2.66 and -4.22 mL/min/1.73 m2/year, respectively; corresponding between-group mean differences were 0.42 and 1.57 mL/min/1.73 m2/year. Dapagliflozin reduced geometric mean (SEM) UACR relative to placebo (-29.3% ± 1.2% vs. -3.6% ± 1.1%; between-group mean difference [95% CI] -26.7 [-50.4, 8.3]). Four (21%) patients randomized to dapagliflozin and seven (29%) randomized to placebo experienced a serious adverse event.

Conclusion: In membranous nephropathy, the effects of dapagliflozin on kidney disease progression and albuminuria were generally favorable; there was insufficient power to justify formal inference testing.

求助全文
通过发布文献求助,成功后即可免费获取论文全文。 去求助
来源期刊
自引率
0.00%
发文量
0
×
引用
GB/T 7714-2015
复制
MLA
复制
APA
复制
导出至
BibTeX EndNote RefMan NoteFirst NoteExpress
×
提示
您的信息不完整,为了账户安全,请先补充。
现在去补充
×
提示
您因"违规操作"
具体请查看互助需知
我知道了
×
提示
确定
请完成安全验证×
copy
已复制链接
快去分享给好友吧!
我知道了
右上角分享
点击右上角分享
0
联系我们:info@booksci.cn Book学术提供免费学术资源搜索服务,方便国内外学者检索中英文文献。致力于提供最便捷和优质的服务体验。 Copyright © 2023 布克学术 All rights reserved.
京ICP备2023020795号-1
ghs 京公网安备 11010802042870号
Book学术文献互助
Book学术文献互助群
群 号:604180095
Book学术官方微信