青少年脑震荡意识培训工具:对脑震荡知识、信念和报告意愿的影响。

IF 2.1 3区 医学 Q2 PUBLIC, ENVIRONMENTAL & OCCUPATIONAL HEALTH
Health Education & Behavior Pub Date : 2025-02-01 Epub Date: 2024-08-13 DOI:10.1177/10901981241263577
Heather A Shepherd, Jean-Michel Galarneau, Matthew Neill, Shazya Karmali, Kate Turcotte, Rylen A Williamson, Stephanie Cowle, Alison Macpherson, Nick Reed, Kathryn J Schneider, Kathy L Belton, Isabelle Gagnon, Amanda M Black, Carolyn A Emery, Shelina Babul
{"title":"青少年脑震荡意识培训工具:对脑震荡知识、信念和报告意愿的影响。","authors":"Heather A Shepherd, Jean-Michel Galarneau, Matthew Neill, Shazya Karmali, Kate Turcotte, Rylen A Williamson, Stephanie Cowle, Alison Macpherson, Nick Reed, Kathryn J Schneider, Kathy L Belton, Isabelle Gagnon, Amanda M Black, Carolyn A Emery, Shelina Babul","doi":"10.1177/10901981241263577","DOIUrl":null,"url":null,"abstract":"<p><strong>Background: </strong>Concussion education is recommended to increase concussion knowledge, beliefs, and reporting intentions. The Concussion Awareness Training Tool for Youth (CATT-Youth) is a 40-minute e-Learning module developed for high school-aged youth.</p><p><strong>Aim: </strong>The aim of the study was to evaluate changes in concussion knowledge, beliefs, and reporting intentions in high school youth from Calgary, Canada, following completion of the CATT-Youth.</p><p><strong>Methods: </strong>This study used a modified stepped-wedge trial design. High school classes were randomly assigned to an intervention (Ix) or delayed intervention (DIx) group. Ix group participants completed a pre-CATT survey immediately followed by the CATT-Youth, then a post-CATT survey 2 to 6 weeks later. DIx group participants completed two pre-CATT surveys 2 to 6 weeks apart, with the CATT-Youth completed immediately following the second pre-CATT, then a post-CATT survey 2 to 6 weeks later. The pre-/post-CATT survey encompassed 11 subtests evaluating concussion knowledge, beliefs, and reporting intentions. Independent mixed linear regression models were conducted to examine changes in scores for each subtest.</p><p><strong>Results: </strong>Participants included 454 high school students: five Ix schools (16 classes, <i>n</i> = 323) and two DIx schools (six classes, <i>n</i> = 131). The CATT-Youth significantly increased general concussion knowledge, Ix δ = 0.546/8 (95% confidence interval [CI] = [0.243, 0.849]), DIx δ = 0.728/8 (95% CI = [0.389, 1.106]), and beliefs about capabilities, Ix δ = 2.462/28 (95% CI = [1.086, 3.838]), DIx δ = 3.219/28 (95% CI = [1.594, 4.844]) for both groups. For some subtests, improvements were noted in the DIx group only.</p><p><strong>Conclusion: </strong>The CATT-Youth module improved concussion knowledge and beliefs about capabilities for students in both groups. Future studies should explore the utility of the CATT-Youth in changing knowledge, beliefs, and reporting intentions in high school students.</p>","PeriodicalId":12974,"journal":{"name":"Health Education & Behavior","volume":" ","pages":"17-27"},"PeriodicalIF":2.1000,"publicationDate":"2025-02-01","publicationTypes":"Journal Article","fieldsOfStudy":null,"isOpenAccess":false,"openAccessPdf":"https://www.ncbi.nlm.nih.gov/pmc/articles/PMC11771082/pdf/","citationCount":"0","resultStr":"{\"title\":\"Concussion Awareness Training Tool for Youth: Impact on Concussion Knowledge, Beliefs, and Reporting Intentions.\",\"authors\":\"Heather A Shepherd, Jean-Michel Galarneau, Matthew Neill, Shazya Karmali, Kate Turcotte, Rylen A Williamson, Stephanie Cowle, Alison Macpherson, Nick Reed, Kathryn J Schneider, Kathy L Belton, Isabelle Gagnon, Amanda M Black, Carolyn A Emery, Shelina Babul\",\"doi\":\"10.1177/10901981241263577\",\"DOIUrl\":null,\"url\":null,\"abstract\":\"<p><strong>Background: </strong>Concussion education is recommended to increase concussion knowledge, beliefs, and reporting intentions. The Concussion Awareness Training Tool for Youth (CATT-Youth) is a 40-minute e-Learning module developed for high school-aged youth.</p><p><strong>Aim: </strong>The aim of the study was to evaluate changes in concussion knowledge, beliefs, and reporting intentions in high school youth from Calgary, Canada, following completion of the CATT-Youth.</p><p><strong>Methods: </strong>This study used a modified stepped-wedge trial design. High school classes were randomly assigned to an intervention (Ix) or delayed intervention (DIx) group. Ix group participants completed a pre-CATT survey immediately followed by the CATT-Youth, then a post-CATT survey 2 to 6 weeks later. DIx group participants completed two pre-CATT surveys 2 to 6 weeks apart, with the CATT-Youth completed immediately following the second pre-CATT, then a post-CATT survey 2 to 6 weeks later. The pre-/post-CATT survey encompassed 11 subtests evaluating concussion knowledge, beliefs, and reporting intentions. Independent mixed linear regression models were conducted to examine changes in scores for each subtest.</p><p><strong>Results: </strong>Participants included 454 high school students: five Ix schools (16 classes, <i>n</i> = 323) and two DIx schools (six classes, <i>n</i> = 131). The CATT-Youth significantly increased general concussion knowledge, Ix δ = 0.546/8 (95% confidence interval [CI] = [0.243, 0.849]), DIx δ = 0.728/8 (95% CI = [0.389, 1.106]), and beliefs about capabilities, Ix δ = 2.462/28 (95% CI = [1.086, 3.838]), DIx δ = 3.219/28 (95% CI = [1.594, 4.844]) for both groups. For some subtests, improvements were noted in the DIx group only.</p><p><strong>Conclusion: </strong>The CATT-Youth module improved concussion knowledge and beliefs about capabilities for students in both groups. Future studies should explore the utility of the CATT-Youth in changing knowledge, beliefs, and reporting intentions in high school students.</p>\",\"PeriodicalId\":12974,\"journal\":{\"name\":\"Health Education & Behavior\",\"volume\":\" \",\"pages\":\"17-27\"},\"PeriodicalIF\":2.1000,\"publicationDate\":\"2025-02-01\",\"publicationTypes\":\"Journal Article\",\"fieldsOfStudy\":null,\"isOpenAccess\":false,\"openAccessPdf\":\"https://www.ncbi.nlm.nih.gov/pmc/articles/PMC11771082/pdf/\",\"citationCount\":\"0\",\"resultStr\":null,\"platform\":\"Semanticscholar\",\"paperid\":null,\"PeriodicalName\":\"Health Education & Behavior\",\"FirstCategoryId\":\"3\",\"ListUrlMain\":\"https://doi.org/10.1177/10901981241263577\",\"RegionNum\":3,\"RegionCategory\":\"医学\",\"ArticlePicture\":[],\"TitleCN\":null,\"AbstractTextCN\":null,\"PMCID\":null,\"EPubDate\":\"2024/8/13 0:00:00\",\"PubModel\":\"Epub\",\"JCR\":\"Q2\",\"JCRName\":\"PUBLIC, ENVIRONMENTAL & OCCUPATIONAL HEALTH\",\"Score\":null,\"Total\":0}","platform":"Semanticscholar","paperid":null,"PeriodicalName":"Health Education & Behavior","FirstCategoryId":"3","ListUrlMain":"https://doi.org/10.1177/10901981241263577","RegionNum":3,"RegionCategory":"医学","ArticlePicture":[],"TitleCN":null,"AbstractTextCN":null,"PMCID":null,"EPubDate":"2024/8/13 0:00:00","PubModel":"Epub","JCR":"Q2","JCRName":"PUBLIC, ENVIRONMENTAL & OCCUPATIONAL HEALTH","Score":null,"Total":0}
引用次数: 0

摘要

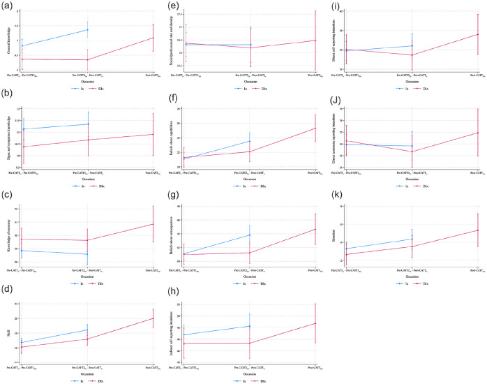
背景:建议开展脑震荡教育,以提高对脑震荡的认识、信念和报告意愿。青少年脑震荡意识培训工具(CATT-Youth)是专为高中年龄青少年开发的40分钟电子学习模块。研究目的:本研究旨在评估加拿大卡尔加里高中青少年在完成CATT-Youth后在脑震荡知识、信念和报告意愿方面的变化:本研究采用改良的阶梯式试验设计。高中班级被随机分配到干预组(Ix)或延迟干预组(DIx)。Ix组的参与者在完成CATT前调查后立即进行CATT-Youth调查,然后在2至6周后进行CATT后调查。DIx 组的参与者在 2 到 6 周内完成两次前 CATT 调查,在第二次前 CATT 之后立即完成 CATT-Youth,然后在 2 到 6 周后完成后 CATT 调查。前/后CATT调查包括11个子测试,分别评估脑震荡知识、信念和报告意愿。我们采用独立混合线性回归模型来研究每个子测试得分的变化:参与者包括 454 名高中生:5 所 Ix 学校(16 个班,n = 323)和 2 所 DIx 学校(6 个班,n = 131)。CATT-Youth显著增加了脑震荡常识,Ix δ = 0.546/8 (95% 置信区间 [CI] = [0.243, 0.849]),DIx δ = 0.728/8 (95% CI = [0.在能力信念方面,两组的 Ix δ = 2.462/28 (95% CI = [1.086, 3.838]),DIx δ = 3.219/28 (95% CI = [1.594, 4.844])。结论:结论:CATT-Youth 模块提高了两组学生的脑震荡知识和能力信念。未来的研究应探索 CATT-Youth在改变高中生的知识、信念和报告意向方面的效用。
本文章由计算机程序翻译,如有差异,请以英文原文为准。

Concussion Awareness Training Tool for Youth: Impact on Concussion Knowledge, Beliefs, and Reporting Intentions.

Concussion Awareness Training Tool for Youth: Impact on Concussion Knowledge, Beliefs, and Reporting Intentions.

Concussion Awareness Training Tool for Youth: Impact on Concussion Knowledge, Beliefs, and Reporting Intentions.

Concussion Awareness Training Tool for Youth: Impact on Concussion Knowledge, Beliefs, and Reporting Intentions.

Background: Concussion education is recommended to increase concussion knowledge, beliefs, and reporting intentions. The Concussion Awareness Training Tool for Youth (CATT-Youth) is a 40-minute e-Learning module developed for high school-aged youth.

Aim: The aim of the study was to evaluate changes in concussion knowledge, beliefs, and reporting intentions in high school youth from Calgary, Canada, following completion of the CATT-Youth.

Methods: This study used a modified stepped-wedge trial design. High school classes were randomly assigned to an intervention (Ix) or delayed intervention (DIx) group. Ix group participants completed a pre-CATT survey immediately followed by the CATT-Youth, then a post-CATT survey 2 to 6 weeks later. DIx group participants completed two pre-CATT surveys 2 to 6 weeks apart, with the CATT-Youth completed immediately following the second pre-CATT, then a post-CATT survey 2 to 6 weeks later. The pre-/post-CATT survey encompassed 11 subtests evaluating concussion knowledge, beliefs, and reporting intentions. Independent mixed linear regression models were conducted to examine changes in scores for each subtest.

Results: Participants included 454 high school students: five Ix schools (16 classes, n = 323) and two DIx schools (six classes, n = 131). The CATT-Youth significantly increased general concussion knowledge, Ix δ = 0.546/8 (95% confidence interval [CI] = [0.243, 0.849]), DIx δ = 0.728/8 (95% CI = [0.389, 1.106]), and beliefs about capabilities, Ix δ = 2.462/28 (95% CI = [1.086, 3.838]), DIx δ = 3.219/28 (95% CI = [1.594, 4.844]) for both groups. For some subtests, improvements were noted in the DIx group only.

Conclusion: The CATT-Youth module improved concussion knowledge and beliefs about capabilities for students in both groups. Future studies should explore the utility of the CATT-Youth in changing knowledge, beliefs, and reporting intentions in high school students.

求助全文
通过发布文献求助,成功后即可免费获取论文全文。 去求助
来源期刊
Health Education & Behavior
Health Education & Behavior PUBLIC, ENVIRONMENTAL & OCCUPATIONAL HEALTH-
CiteScore
8.60
自引率
2.40%
发文量
75
期刊介绍: Health Education & Behavior is the official publication of the Society for Public Health Education (SOPHE). The journal publishes authoritative and practical information on critical health issues for a broad range of professionals interested in understanding factors associated with health behavior and health status, and strategies to improve social and behavioral health. The journal is interested in articles directed toward researchers and/or practitioners in health behavior and health education. Empirical research, case study, program evaluation, literature reviews, and articles discussing theories are regularly published.
×
引用
GB/T 7714-2015
复制
MLA
复制
APA
复制
导出至
BibTeX EndNote RefMan NoteFirst NoteExpress
×
提示
您的信息不完整,为了账户安全,请先补充。
现在去补充
×
提示
您因"违规操作"
具体请查看互助需知
我知道了
×
提示
确定
请完成安全验证×
copy
已复制链接
快去分享给好友吧!
我知道了
右上角分享
点击右上角分享
0
联系我们:info@booksci.cn Book学术提供免费学术资源搜索服务,方便国内外学者检索中英文文献。致力于提供最便捷和优质的服务体验。 Copyright © 2023 布克学术 All rights reserved.
京ICP备2023020795号-1
ghs 京公网安备 11010802042870号
Book学术文献互助
Book学术文献互助群
群 号:604180095
Book学术官方微信