直接口服抗凝药对脾静脉血栓患者的影响:系统回顾与元分析》。

IF 2 4区 医学 Q2 HEMATOLOGY
Yun Wan, Linjuan Guo, Meimei Xiong
{"title":"直接口服抗凝药对脾静脉血栓患者的影响:系统回顾与元分析》。","authors":"Yun Wan, Linjuan Guo, Meimei Xiong","doi":"10.1177/10760296241274750","DOIUrl":null,"url":null,"abstract":"<p><strong>Background: </strong>Since several studies have examined the use of direct oral anticoagulants (DOACs) in treating patients with splanchnic vein thrombosis (SVT), we conducted a meta-analyses to assess the safety and efficacy of DOACs compared to vitamin K antagonists (VKAs) in this population.</p><p><strong>Methods: </strong>We conducted a comprehensive search using the PubMed, Embase, and Cochrane Library databases until June 2024. We used odds ratios (ORs) and 95% confidence intervals (CIs) as the effect measures to compare DOACs with VKAs.</p><p><strong>Results: </strong>A total of 9 observational studies were included. The pooled analysis revealed that a trend towards higher complete recanalization rates with DOACs (71.4%) compared to VKAs (55.3%), though not statistically significant (OR 1.95; 95%CI 0.70 to 5.44). For SVT extension, a significant effect was observed favoring DOACs (OR 0.12; 95%CI 0.03 to 0.54). No significant differences were found in other efficacy outcomes or safety outcomes, except for major bleeding, which was significantly lower with DOACs (OR 0.27; 95%CI 0.13 to 0.56).</p><p><strong>Conclusion: </strong>DOACs are superior to VKAs in SVT extension and major bleeding, suggesting that DOACs may be a favorable treatment option in the treatment of SVT.</p>","PeriodicalId":10335,"journal":{"name":"Clinical and Applied Thrombosis/Hemostasis","volume":"30 ","pages":"10760296241274750"},"PeriodicalIF":2.0000,"publicationDate":"2024-01-01","publicationTypes":"Journal Article","fieldsOfStudy":null,"isOpenAccess":false,"openAccessPdf":"https://www.ncbi.nlm.nih.gov/pmc/articles/PMC11322924/pdf/","citationCount":"0","resultStr":"{\"title\":\"Effect of Direct Oral Anticoagulants in Patients with Splanchnic Vein Thrombosis: A Systematic Reviews and Meta-Analysis.\",\"authors\":\"Yun Wan, Linjuan Guo, Meimei Xiong\",\"doi\":\"10.1177/10760296241274750\",\"DOIUrl\":null,\"url\":null,\"abstract\":\"<p><strong>Background: </strong>Since several studies have examined the use of direct oral anticoagulants (DOACs) in treating patients with splanchnic vein thrombosis (SVT), we conducted a meta-analyses to assess the safety and efficacy of DOACs compared to vitamin K antagonists (VKAs) in this population.</p><p><strong>Methods: </strong>We conducted a comprehensive search using the PubMed, Embase, and Cochrane Library databases until June 2024. We used odds ratios (ORs) and 95% confidence intervals (CIs) as the effect measures to compare DOACs with VKAs.</p><p><strong>Results: </strong>A total of 9 observational studies were included. The pooled analysis revealed that a trend towards higher complete recanalization rates with DOACs (71.4%) compared to VKAs (55.3%), though not statistically significant (OR 1.95; 95%CI 0.70 to 5.44). For SVT extension, a significant effect was observed favoring DOACs (OR 0.12; 95%CI 0.03 to 0.54). No significant differences were found in other efficacy outcomes or safety outcomes, except for major bleeding, which was significantly lower with DOACs (OR 0.27; 95%CI 0.13 to 0.56).</p><p><strong>Conclusion: </strong>DOACs are superior to VKAs in SVT extension and major bleeding, suggesting that DOACs may be a favorable treatment option in the treatment of SVT.</p>\",\"PeriodicalId\":10335,\"journal\":{\"name\":\"Clinical and Applied Thrombosis/Hemostasis\",\"volume\":\"30 \",\"pages\":\"10760296241274750\"},\"PeriodicalIF\":2.0000,\"publicationDate\":\"2024-01-01\",\"publicationTypes\":\"Journal Article\",\"fieldsOfStudy\":null,\"isOpenAccess\":false,\"openAccessPdf\":\"https://www.ncbi.nlm.nih.gov/pmc/articles/PMC11322924/pdf/\",\"citationCount\":\"0\",\"resultStr\":null,\"platform\":\"Semanticscholar\",\"paperid\":null,\"PeriodicalName\":\"Clinical and Applied Thrombosis/Hemostasis\",\"FirstCategoryId\":\"3\",\"ListUrlMain\":\"https://doi.org/10.1177/10760296241274750\",\"RegionNum\":4,\"RegionCategory\":\"医学\",\"ArticlePicture\":[],\"TitleCN\":null,\"AbstractTextCN\":null,\"PMCID\":null,\"EPubDate\":\"\",\"PubModel\":\"\",\"JCR\":\"Q2\",\"JCRName\":\"HEMATOLOGY\",\"Score\":null,\"Total\":0}","platform":"Semanticscholar","paperid":null,"PeriodicalName":"Clinical and Applied Thrombosis/Hemostasis","FirstCategoryId":"3","ListUrlMain":"https://doi.org/10.1177/10760296241274750","RegionNum":4,"RegionCategory":"医学","ArticlePicture":[],"TitleCN":null,"AbstractTextCN":null,"PMCID":null,"EPubDate":"","PubModel":"","JCR":"Q2","JCRName":"HEMATOLOGY","Score":null,"Total":0}
引用次数: 0

摘要

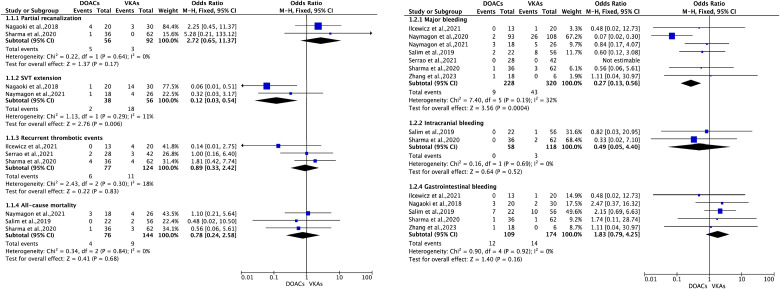
背景:由于已有多项研究探讨了直接口服抗凝剂(DOACs)在治疗脾静脉血栓(SVT)患者中的应用,因此我们进行了一项荟萃分析,以评估DOACs与维生素K拮抗剂(VKAs)相比在该人群中的安全性和有效性:我们使用 PubMed、Embase 和 Cochrane Library 数据库进行了全面检索,检索期至 2024 年 6 月。我们使用几率比(ORs)和 95% 置信区间(CIs)作为效果测量指标来比较 DOACs 和 VKAs:结果:共纳入 9 项观察性研究。汇总分析显示,DOACs(71.4%)与 VKAs(55.3%)相比,有完全再通率更高的趋势,但无统计学意义(OR 1.95;95%CI 0.70 至 5.44)。在 SVT 延长方面,观察到 DOACs 有明显优势(OR 0.12;95%CI 0.03 至 0.54)。除大出血外,其他疗效或安全性结果均无明显差异,而DOACs的大出血率明显较低(OR 0.27;95%CI 0.13至0.56):结论:在 SVT 延长和大出血方面,DOACs 优于 VKAs,这表明 DOACs 可能是治疗 SVT 的有利选择。
本文章由计算机程序翻译,如有差异,请以英文原文为准。

Effect of Direct Oral Anticoagulants in Patients with Splanchnic Vein Thrombosis: A Systematic Reviews and Meta-Analysis.

Effect of Direct Oral Anticoagulants in Patients with Splanchnic Vein Thrombosis: A Systematic Reviews and Meta-Analysis.

Effect of Direct Oral Anticoagulants in Patients with Splanchnic Vein Thrombosis: A Systematic Reviews and Meta-Analysis.

Effect of Direct Oral Anticoagulants in Patients with Splanchnic Vein Thrombosis: A Systematic Reviews and Meta-Analysis.

Background: Since several studies have examined the use of direct oral anticoagulants (DOACs) in treating patients with splanchnic vein thrombosis (SVT), we conducted a meta-analyses to assess the safety and efficacy of DOACs compared to vitamin K antagonists (VKAs) in this population.

Methods: We conducted a comprehensive search using the PubMed, Embase, and Cochrane Library databases until June 2024. We used odds ratios (ORs) and 95% confidence intervals (CIs) as the effect measures to compare DOACs with VKAs.

Results: A total of 9 observational studies were included. The pooled analysis revealed that a trend towards higher complete recanalization rates with DOACs (71.4%) compared to VKAs (55.3%), though not statistically significant (OR 1.95; 95%CI 0.70 to 5.44). For SVT extension, a significant effect was observed favoring DOACs (OR 0.12; 95%CI 0.03 to 0.54). No significant differences were found in other efficacy outcomes or safety outcomes, except for major bleeding, which was significantly lower with DOACs (OR 0.27; 95%CI 0.13 to 0.56).

Conclusion: DOACs are superior to VKAs in SVT extension and major bleeding, suggesting that DOACs may be a favorable treatment option in the treatment of SVT.

求助全文
通过发布文献求助,成功后即可免费获取论文全文。 去求助
来源期刊
CiteScore
4.40
自引率
3.40%
发文量
150
审稿时长
2 months
期刊介绍: CATH is a peer-reviewed bi-monthly journal that addresses the practical clinical and laboratory issues involved in managing bleeding and clotting disorders, especially those related to thrombosis, hemostasis, and vascular disorders. CATH covers clinical trials, studies on etiology, pathophysiology, diagnosis and treatment of thrombohemorrhagic disorders.
×
引用
GB/T 7714-2015
复制
MLA
复制
APA
复制
导出至
BibTeX EndNote RefMan NoteFirst NoteExpress
×
提示
您的信息不完整,为了账户安全,请先补充。
现在去补充
×
提示
您因"违规操作"
具体请查看互助需知
我知道了
×
提示
确定
请完成安全验证×
copy
已复制链接
快去分享给好友吧!
我知道了
右上角分享
点击右上角分享
0
联系我们:info@booksci.cn Book学术提供免费学术资源搜索服务,方便国内外学者检索中英文文献。致力于提供最便捷和优质的服务体验。 Copyright © 2023 布克学术 All rights reserved.
京ICP备2023020795号-1
ghs 京公网安备 11010802042870号
Book学术文献互助
Book学术文献互助群
群 号:604180095
Book学术官方微信