俯卧位术中眼压升高。

IF 1.2 Q3 SURGERY
Spine Surgery and Related Research Pub Date : 2024-03-11 eCollection Date: 2024-07-27 DOI:10.22603/ssrr.2023-0263
Tamie Takenami, Kazutaka Tanaka, Tomoko Suzuki, Hiromi Hiruma, Tetsuya Ikeda, Kosuke Sugimura
{"title":"俯卧位术中眼压升高。","authors":"Tamie Takenami, Kazutaka Tanaka, Tomoko Suzuki, Hiromi Hiruma, Tetsuya Ikeda, Kosuke Sugimura","doi":"10.22603/ssrr.2023-0263","DOIUrl":null,"url":null,"abstract":"<p><strong>Introduction: </strong>This study aimed to measure the intraocular pressure (IOP) of patients undergoing open surgery in the supine position (control group) and spine surgery in the prone position (spine group) to clarify IOP range and change by posture, determine the risk factors for increased IOP in the prone position, and reduce visual complications after surgery in the prone position.</p><p><strong>Methods: </strong>A prospective cohort study was conducted in healthy adults (34-83 years of age) with an American Society of Anesthesiologists classification I/II. The spine group was examined for IOP, anterior chamber angle (ACA), and fundus findings the day prior to surgery. On the day of surgery, IOP measurements were taken at fixed time points: immediately after intubation; at 0.5, 1, and 2 h after intubation; at suture closure; and at the end of surgery in the control group. In the spine group, they were taken immediately after intubation; at 0.5, 1, and 2 h after prone position; at suture closure; and immediately and 5 min after returning to the supine position. The risk factors for increased IOP in the prone position were examined.</p><p><strong>Results: </strong>The control group showed no significant changes in IOP within the normal range (<20 mmHg) during surgery. In the spine group, IOP was higher at each time point than immediately after intubation. IOP increased sharply above the normal range within 1 h after changing from the supine to the prone position and continued to gradually increase until suture closure. IOP decreased 5 min after the patient returned to the supine position. ACA, body mass index, blood loss, time in the prone position, and operative time were not risk factors for increased IOP in the prone position.</p><p><strong>Conclusions: </strong>Patients were constantly exposed to above-normal IOP during prone spinal surgery. However, neither group reported visual impairment. No risk factors were identified for increased IOP in the prone position.</p>","PeriodicalId":22253,"journal":{"name":"Spine Surgery and Related Research","volume":"8 4","pages":"458-465"},"PeriodicalIF":1.2000,"publicationDate":"2024-03-11","publicationTypes":"Journal Article","fieldsOfStudy":null,"isOpenAccess":false,"openAccessPdf":"https://www.ncbi.nlm.nih.gov/pmc/articles/PMC11310534/pdf/","citationCount":"0","resultStr":"{\"title\":\"Increase in Intraoperative Intraocular Pressure in the Prone Position.\",\"authors\":\"Tamie Takenami, Kazutaka Tanaka, Tomoko Suzuki, Hiromi Hiruma, Tetsuya Ikeda, Kosuke Sugimura\",\"doi\":\"10.22603/ssrr.2023-0263\",\"DOIUrl\":null,\"url\":null,\"abstract\":\"<p><strong>Introduction: </strong>This study aimed to measure the intraocular pressure (IOP) of patients undergoing open surgery in the supine position (control group) and spine surgery in the prone position (spine group) to clarify IOP range and change by posture, determine the risk factors for increased IOP in the prone position, and reduce visual complications after surgery in the prone position.</p><p><strong>Methods: </strong>A prospective cohort study was conducted in healthy adults (34-83 years of age) with an American Society of Anesthesiologists classification I/II. The spine group was examined for IOP, anterior chamber angle (ACA), and fundus findings the day prior to surgery. On the day of surgery, IOP measurements were taken at fixed time points: immediately after intubation; at 0.5, 1, and 2 h after intubation; at suture closure; and at the end of surgery in the control group. In the spine group, they were taken immediately after intubation; at 0.5, 1, and 2 h after prone position; at suture closure; and immediately and 5 min after returning to the supine position. The risk factors for increased IOP in the prone position were examined.</p><p><strong>Results: </strong>The control group showed no significant changes in IOP within the normal range (<20 mmHg) during surgery. In the spine group, IOP was higher at each time point than immediately after intubation. IOP increased sharply above the normal range within 1 h after changing from the supine to the prone position and continued to gradually increase until suture closure. IOP decreased 5 min after the patient returned to the supine position. ACA, body mass index, blood loss, time in the prone position, and operative time were not risk factors for increased IOP in the prone position.</p><p><strong>Conclusions: </strong>Patients were constantly exposed to above-normal IOP during prone spinal surgery. However, neither group reported visual impairment. No risk factors were identified for increased IOP in the prone position.</p>\",\"PeriodicalId\":22253,\"journal\":{\"name\":\"Spine Surgery and Related Research\",\"volume\":\"8 4\",\"pages\":\"458-465\"},\"PeriodicalIF\":1.2000,\"publicationDate\":\"2024-03-11\",\"publicationTypes\":\"Journal Article\",\"fieldsOfStudy\":null,\"isOpenAccess\":false,\"openAccessPdf\":\"https://www.ncbi.nlm.nih.gov/pmc/articles/PMC11310534/pdf/\",\"citationCount\":\"0\",\"resultStr\":null,\"platform\":\"Semanticscholar\",\"paperid\":null,\"PeriodicalName\":\"Spine Surgery and Related Research\",\"FirstCategoryId\":\"1085\",\"ListUrlMain\":\"https://doi.org/10.22603/ssrr.2023-0263\",\"RegionNum\":0,\"RegionCategory\":null,\"ArticlePicture\":[],\"TitleCN\":null,\"AbstractTextCN\":null,\"PMCID\":null,\"EPubDate\":\"2024/7/27 0:00:00\",\"PubModel\":\"eCollection\",\"JCR\":\"Q3\",\"JCRName\":\"SURGERY\",\"Score\":null,\"Total\":0}","platform":"Semanticscholar","paperid":null,"PeriodicalName":"Spine Surgery and Related Research","FirstCategoryId":"1085","ListUrlMain":"https://doi.org/10.22603/ssrr.2023-0263","RegionNum":0,"RegionCategory":null,"ArticlePicture":[],"TitleCN":null,"AbstractTextCN":null,"PMCID":null,"EPubDate":"2024/7/27 0:00:00","PubModel":"eCollection","JCR":"Q3","JCRName":"SURGERY","Score":null,"Total":0}
引用次数: 0

摘要

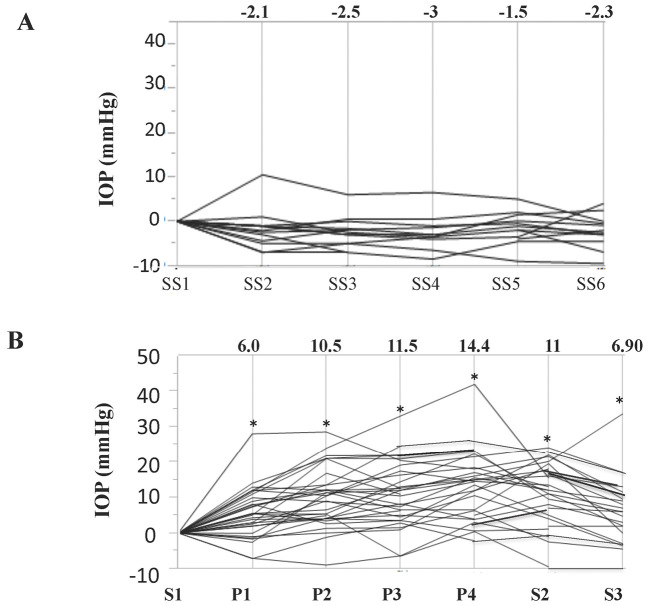
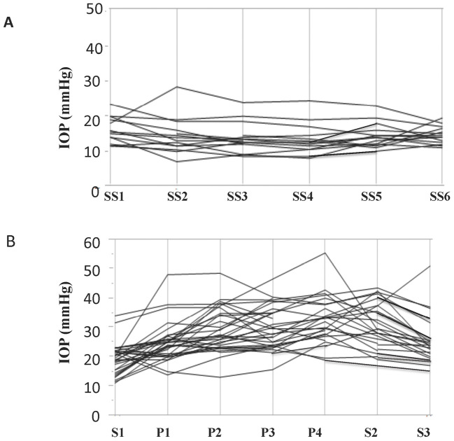
导言:本研究旨在测量仰卧位(对照组)和俯卧位(脊柱组)接受开放手术患者的眼压,以明确眼压范围和体位变化,确定俯卧位眼压升高的风险因素,减少俯卧位手术后的视觉并发症:对美国麻醉医师协会分级为 I/II 级的健康成人(34-83 岁)进行了一项前瞻性队列研究。脊柱组在手术前一天接受眼压、前房角(ACA)和眼底检查。手术当天,在固定的时间点测量眼压:插管后立即测量;插管后 0.5、1 和 2 小时测量;缝合时测量;对照组在手术结束时测量。在脊柱组,插管后立即测量;俯卧位后 0.5、1 和 2 小时测量;缝合时测量;返回仰卧位后立即和 5 分钟测量。研究了俯卧位时眼压升高的风险因素:结果:对照组的眼压在正常范围内无明显变化(结论:患者持续暴露于高于正常眼压的环境中:俯卧位脊柱手术期间,患者的眼压一直高于正常值。然而,两组患者均未报告视力受损。没有发现俯卧位时眼压升高的风险因素。
本文章由计算机程序翻译,如有差异,请以英文原文为准。

Increase in Intraoperative Intraocular Pressure in the Prone Position.

Increase in Intraoperative Intraocular Pressure in the Prone Position.

Increase in Intraoperative Intraocular Pressure in the Prone Position.

Increase in Intraoperative Intraocular Pressure in the Prone Position.

Introduction: This study aimed to measure the intraocular pressure (IOP) of patients undergoing open surgery in the supine position (control group) and spine surgery in the prone position (spine group) to clarify IOP range and change by posture, determine the risk factors for increased IOP in the prone position, and reduce visual complications after surgery in the prone position.

Methods: A prospective cohort study was conducted in healthy adults (34-83 years of age) with an American Society of Anesthesiologists classification I/II. The spine group was examined for IOP, anterior chamber angle (ACA), and fundus findings the day prior to surgery. On the day of surgery, IOP measurements were taken at fixed time points: immediately after intubation; at 0.5, 1, and 2 h after intubation; at suture closure; and at the end of surgery in the control group. In the spine group, they were taken immediately after intubation; at 0.5, 1, and 2 h after prone position; at suture closure; and immediately and 5 min after returning to the supine position. The risk factors for increased IOP in the prone position were examined.

Results: The control group showed no significant changes in IOP within the normal range (<20 mmHg) during surgery. In the spine group, IOP was higher at each time point than immediately after intubation. IOP increased sharply above the normal range within 1 h after changing from the supine to the prone position and continued to gradually increase until suture closure. IOP decreased 5 min after the patient returned to the supine position. ACA, body mass index, blood loss, time in the prone position, and operative time were not risk factors for increased IOP in the prone position.

Conclusions: Patients were constantly exposed to above-normal IOP during prone spinal surgery. However, neither group reported visual impairment. No risk factors were identified for increased IOP in the prone position.

求助全文
通过发布文献求助,成功后即可免费获取论文全文。 去求助
来源期刊
CiteScore
1.80
自引率
0.00%
发文量
71
审稿时长
15 weeks
×
引用
GB/T 7714-2015
复制
MLA
复制
APA
复制
导出至
BibTeX EndNote RefMan NoteFirst NoteExpress
×
提示
您的信息不完整,为了账户安全,请先补充。
现在去补充
×
提示
您因"违规操作"
具体请查看互助需知
我知道了
×
提示
确定
请完成安全验证×
copy
已复制链接
快去分享给好友吧!
我知道了
右上角分享
点击右上角分享
0
联系我们:info@booksci.cn Book学术提供免费学术资源搜索服务,方便国内外学者检索中英文文献。致力于提供最便捷和优质的服务体验。 Copyright © 2023 布克学术 All rights reserved.
京ICP备2023020795号-1
ghs 京公网安备 11010802042870号
Book学术文献互助
Book学术文献互助群
群 号:604180095
Book学术官方微信