华盛顿特区非裔美国人 2 型糖尿病的相关因素和协变因素。

Jyothirmai J Simhadri, Christopher A Loffredo, Tanmoy Mondal, Zarish Noreen, Thomas Nnanabu, Ruth Quartey, Charles Howell, Brent Korba, Gail Nunlee-Bland, Somiranjan Ghosh
{"title":"华盛顿特区非裔美国人 2 型糖尿病的相关因素和协变因素。","authors":"Jyothirmai J Simhadri, Christopher A Loffredo, Tanmoy Mondal, Zarish Noreen, Thomas Nnanabu, Ruth Quartey, Charles Howell, Brent Korba, Gail Nunlee-Bland, Somiranjan Ghosh","doi":"10.4236/ojepi.2022.124035","DOIUrl":null,"url":null,"abstract":"<p><p>In the United States, type 2 diabetes mellitus (T2DM) disproportionately affects the African American (AA) community, which has not been systematically included in molecular studies of underlying mechanisms. As part of a gene expression study, we recruited cases with T2DM and matched, unaffected controls at an urban hospital in Washington, DC, with a majority AA population. Here we describe the profile of socio-demographic, behavioral, and health-related associations of the study population. Self-reported data were collected from cases with T2DM (N=77) and age- and gender-matched controls (N=80), ages 45-65 years. Logistic regression was used to calculate odds ratios (OR) and 95% confidence intervals (CI). As expected, obesity, hypertension, and cardiovascular disease were more prevalent in cases than controls. Tobacco smoking and working alongside other tobacco smokers were also associated with T2DM. After adjusting for covariates, current tobacco smoking remained statistically associated with the disease (OR per half pack of cigarettes 1.43, 95% CI 1.04-1.95; <i>p</i>-value 0.027). HbA1c levels were elevated in T2DM cases who smoked more than a pack of cigarettes daily. These associations highlight the comorbid burdens of T2DM in an AA urban community setting and identify tobacco control as an unmet need for future prevention and control efforts.</p>","PeriodicalId":71174,"journal":{"name":"流行病学期刊(英文)","volume":"12 4","pages":"431-448"},"PeriodicalIF":0.0000,"publicationDate":"2022-11-01","publicationTypes":"Journal Article","fieldsOfStudy":null,"isOpenAccess":false,"openAccessPdf":"https://www.ncbi.nlm.nih.gov/pmc/articles/PMC11296657/pdf/","citationCount":"0","resultStr":"{\"title\":\"Correlates and Covariates of Type 2 Diabetes in an African American Population in the Washington DC Area.\",\"authors\":\"Jyothirmai J Simhadri, Christopher A Loffredo, Tanmoy Mondal, Zarish Noreen, Thomas Nnanabu, Ruth Quartey, Charles Howell, Brent Korba, Gail Nunlee-Bland, Somiranjan Ghosh\",\"doi\":\"10.4236/ojepi.2022.124035\",\"DOIUrl\":null,\"url\":null,\"abstract\":\"<p><p>In the United States, type 2 diabetes mellitus (T2DM) disproportionately affects the African American (AA) community, which has not been systematically included in molecular studies of underlying mechanisms. As part of a gene expression study, we recruited cases with T2DM and matched, unaffected controls at an urban hospital in Washington, DC, with a majority AA population. Here we describe the profile of socio-demographic, behavioral, and health-related associations of the study population. Self-reported data were collected from cases with T2DM (N=77) and age- and gender-matched controls (N=80), ages 45-65 years. Logistic regression was used to calculate odds ratios (OR) and 95% confidence intervals (CI). As expected, obesity, hypertension, and cardiovascular disease were more prevalent in cases than controls. Tobacco smoking and working alongside other tobacco smokers were also associated with T2DM. After adjusting for covariates, current tobacco smoking remained statistically associated with the disease (OR per half pack of cigarettes 1.43, 95% CI 1.04-1.95; <i>p</i>-value 0.027). HbA1c levels were elevated in T2DM cases who smoked more than a pack of cigarettes daily. These associations highlight the comorbid burdens of T2DM in an AA urban community setting and identify tobacco control as an unmet need for future prevention and control efforts.</p>\",\"PeriodicalId\":71174,\"journal\":{\"name\":\"流行病学期刊(英文)\",\"volume\":\"12 4\",\"pages\":\"431-448\"},\"PeriodicalIF\":0.0000,\"publicationDate\":\"2022-11-01\",\"publicationTypes\":\"Journal Article\",\"fieldsOfStudy\":null,\"isOpenAccess\":false,\"openAccessPdf\":\"https://www.ncbi.nlm.nih.gov/pmc/articles/PMC11296657/pdf/\",\"citationCount\":\"0\",\"resultStr\":null,\"platform\":\"Semanticscholar\",\"paperid\":null,\"PeriodicalName\":\"流行病学期刊(英文)\",\"FirstCategoryId\":\"3\",\"ListUrlMain\":\"https://doi.org/10.4236/ojepi.2022.124035\",\"RegionNum\":0,\"RegionCategory\":null,\"ArticlePicture\":[],\"TitleCN\":null,\"AbstractTextCN\":null,\"PMCID\":null,\"EPubDate\":\"\",\"PubModel\":\"\",\"JCR\":\"\",\"JCRName\":\"\",\"Score\":null,\"Total\":0}","platform":"Semanticscholar","paperid":null,"PeriodicalName":"流行病学期刊(英文)","FirstCategoryId":"3","ListUrlMain":"https://doi.org/10.4236/ojepi.2022.124035","RegionNum":0,"RegionCategory":null,"ArticlePicture":[],"TitleCN":null,"AbstractTextCN":null,"PMCID":null,"EPubDate":"","PubModel":"","JCR":"","JCRName":"","Score":null,"Total":0}
引用次数: 0

摘要

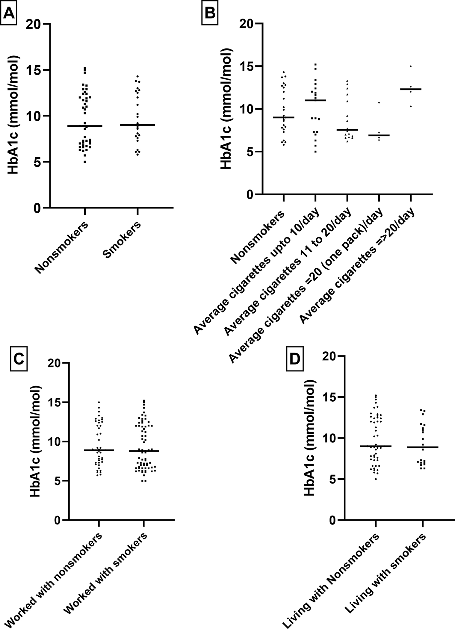
在美国,2 型糖尿病(T2DM)对非裔美国人(AA)群体的影响尤为严重,而对其潜在机制的分子研究尚未系统地将非裔美国人纳入其中。作为基因表达研究的一部分,我们在华盛顿特区一家非裔美国人占多数的城市医院招募了 T2DM 病例和未受影响的匹配对照。在此,我们描述了研究人群的社会人口学、行为学和健康相关关联的概况。我们收集了患有 T2DM 的病例(77 人)和年龄与性别匹配的对照组(80 人)的自我报告数据,他们的年龄都在 45-65 岁之间。采用逻辑回归法计算几率比(OR)和 95% 的置信区间(CI)。不出所料,肥胖、高血压和心血管疾病在病例中的发病率高于对照组。吸烟和与其他吸烟者一起工作也与 T2DM 有关。在对协变量进行调整后,目前吸烟与该疾病仍有统计学关联(每半包烟的OR值为1.43,95% CI为1.04-1.95;P值为0.027)。每天吸烟超过一包的 T2DM 患者的 HbA1c 水平升高。这些关联凸显了 T2DM 在 AA 城市社区环境中的并发症负担,并指出烟草控制是未来预防和控制工作中尚未满足的需求。
本文章由计算机程序翻译,如有差异,请以英文原文为准。

Correlates and Covariates of Type 2 Diabetes in an African American Population in the Washington DC Area.

Correlates and Covariates of Type 2 Diabetes in an African American Population in the Washington DC Area.

Correlates and Covariates of Type 2 Diabetes in an African American Population in the Washington DC Area.

Correlates and Covariates of Type 2 Diabetes in an African American Population in the Washington DC Area.

In the United States, type 2 diabetes mellitus (T2DM) disproportionately affects the African American (AA) community, which has not been systematically included in molecular studies of underlying mechanisms. As part of a gene expression study, we recruited cases with T2DM and matched, unaffected controls at an urban hospital in Washington, DC, with a majority AA population. Here we describe the profile of socio-demographic, behavioral, and health-related associations of the study population. Self-reported data were collected from cases with T2DM (N=77) and age- and gender-matched controls (N=80), ages 45-65 years. Logistic regression was used to calculate odds ratios (OR) and 95% confidence intervals (CI). As expected, obesity, hypertension, and cardiovascular disease were more prevalent in cases than controls. Tobacco smoking and working alongside other tobacco smokers were also associated with T2DM. After adjusting for covariates, current tobacco smoking remained statistically associated with the disease (OR per half pack of cigarettes 1.43, 95% CI 1.04-1.95; p-value 0.027). HbA1c levels were elevated in T2DM cases who smoked more than a pack of cigarettes daily. These associations highlight the comorbid burdens of T2DM in an AA urban community setting and identify tobacco control as an unmet need for future prevention and control efforts.

求助全文
通过发布文献求助,成功后即可免费获取论文全文。 去求助
来源期刊
自引率
0.00%
发文量
214
×
引用
GB/T 7714-2015
复制
MLA
复制
APA
复制
导出至
BibTeX EndNote RefMan NoteFirst NoteExpress
×
提示
您的信息不完整,为了账户安全,请先补充。
现在去补充
×
提示
您因"违规操作"
具体请查看互助需知
我知道了
×
提示
确定
请完成安全验证×
copy
已复制链接
快去分享给好友吧!
我知道了
右上角分享
点击右上角分享
0
联系我们:info@booksci.cn Book学术提供免费学术资源搜索服务,方便国内外学者检索中英文文献。致力于提供最便捷和优质的服务体验。 Copyright © 2023 布克学术 All rights reserved.
京ICP备2023020795号-1
ghs 京公网安备 11010802042870号
Book学术文献互助
Book学术文献互助群
群 号:604180095
Book学术官方微信