向往向往:英语单词首字母/p/的第二语言习得,历时10年。

IF 1.1 2区 文学 Q3 AUDIOLOGY & SPEECH-LANGUAGE PATHOLOGY
Language and Speech Pub Date : 2025-06-01 Epub Date: 2024-07-31 DOI:10.1177/00238309241264296
Murray J Munro, Tracey M Derwing, Kazuya Saito
{"title":"向往向往:英语单词首字母/p/的第二语言习得,历时10年。","authors":"Murray J Munro, Tracey M Derwing, Kazuya Saito","doi":"10.1177/00238309241264296","DOIUrl":null,"url":null,"abstract":"<p><p>This short report describes a longitudinal examination of the acquisition of English-aspirated stops by an initial cohort of 24 adult Slavic-language (Russian, Ukrainian, and Croatian) speakers. All had arrived in Canada with low oral English proficiency, and all were enrolled in the same language instruction program at the outset. Initial bilabial stops in CVCs were recorded at eight testing times: six during the first year of the study, again at year 7, and finally at year 10. Intelligibility was evaluated through a blind listening assessment of the stop productions from the first seven testing times. Voice onset times (VOT) were measured for /p/ from all eight times. Mean /p/ intelligibility improved-mainly during a proposed Window of Maximal Opportunity for L2 speech acquisition-but remained below 100%, even after 7 years. For some speakers, early /p/ productions were minimally aspirated, with VOT increasing over time but remaining intermediate between L1 English and L1 Slavic-Language values at 10 years. However, inter-speaker variability was dramatic, with some speakers showing full intelligibility throughout the study and others showing many unintelligible productions at all times. Individual learning trajectories tended to be non-linear and often non-cumulative. Overall, these findings point to a developmental process that varies considerably from one learner to another. It also demonstrates the serious drawbacks of relying on group means to characterize the process of L2 segmental learning.</p>","PeriodicalId":51255,"journal":{"name":"Language and Speech","volume":" ","pages":"247-261"},"PeriodicalIF":1.1000,"publicationDate":"2025-06-01","publicationTypes":"Journal Article","fieldsOfStudy":null,"isOpenAccess":false,"openAccessPdf":"https://www.ncbi.nlm.nih.gov/pmc/articles/PMC12106929/pdf/","citationCount":"0","resultStr":"{\"title\":\"Aspiring to Aspirate: L2 Acquisition of English Word-Initial /p/ Over 10 Years.\",\"authors\":\"Murray J Munro, Tracey M Derwing, Kazuya Saito\",\"doi\":\"10.1177/00238309241264296\",\"DOIUrl\":null,\"url\":null,\"abstract\":\"<p><p>This short report describes a longitudinal examination of the acquisition of English-aspirated stops by an initial cohort of 24 adult Slavic-language (Russian, Ukrainian, and Croatian) speakers. All had arrived in Canada with low oral English proficiency, and all were enrolled in the same language instruction program at the outset. Initial bilabial stops in CVCs were recorded at eight testing times: six during the first year of the study, again at year 7, and finally at year 10. Intelligibility was evaluated through a blind listening assessment of the stop productions from the first seven testing times. Voice onset times (VOT) were measured for /p/ from all eight times. Mean /p/ intelligibility improved-mainly during a proposed Window of Maximal Opportunity for L2 speech acquisition-but remained below 100%, even after 7 years. For some speakers, early /p/ productions were minimally aspirated, with VOT increasing over time but remaining intermediate between L1 English and L1 Slavic-Language values at 10 years. However, inter-speaker variability was dramatic, with some speakers showing full intelligibility throughout the study and others showing many unintelligible productions at all times. Individual learning trajectories tended to be non-linear and often non-cumulative. Overall, these findings point to a developmental process that varies considerably from one learner to another. It also demonstrates the serious drawbacks of relying on group means to characterize the process of L2 segmental learning.</p>\",\"PeriodicalId\":51255,\"journal\":{\"name\":\"Language and Speech\",\"volume\":\" \",\"pages\":\"247-261\"},\"PeriodicalIF\":1.1000,\"publicationDate\":\"2025-06-01\",\"publicationTypes\":\"Journal Article\",\"fieldsOfStudy\":null,\"isOpenAccess\":false,\"openAccessPdf\":\"https://www.ncbi.nlm.nih.gov/pmc/articles/PMC12106929/pdf/\",\"citationCount\":\"0\",\"resultStr\":null,\"platform\":\"Semanticscholar\",\"paperid\":null,\"PeriodicalName\":\"Language and Speech\",\"FirstCategoryId\":\"98\",\"ListUrlMain\":\"https://doi.org/10.1177/00238309241264296\",\"RegionNum\":2,\"RegionCategory\":\"文学\",\"ArticlePicture\":[],\"TitleCN\":null,\"AbstractTextCN\":null,\"PMCID\":null,\"EPubDate\":\"2024/7/31 0:00:00\",\"PubModel\":\"Epub\",\"JCR\":\"Q3\",\"JCRName\":\"AUDIOLOGY & SPEECH-LANGUAGE PATHOLOGY\",\"Score\":null,\"Total\":0}","platform":"Semanticscholar","paperid":null,"PeriodicalName":"Language and Speech","FirstCategoryId":"98","ListUrlMain":"https://doi.org/10.1177/00238309241264296","RegionNum":2,"RegionCategory":"文学","ArticlePicture":[],"TitleCN":null,"AbstractTextCN":null,"PMCID":null,"EPubDate":"2024/7/31 0:00:00","PubModel":"Epub","JCR":"Q3","JCRName":"AUDIOLOGY & SPEECH-LANGUAGE PATHOLOGY","Score":null,"Total":0}
引用次数: 0

摘要

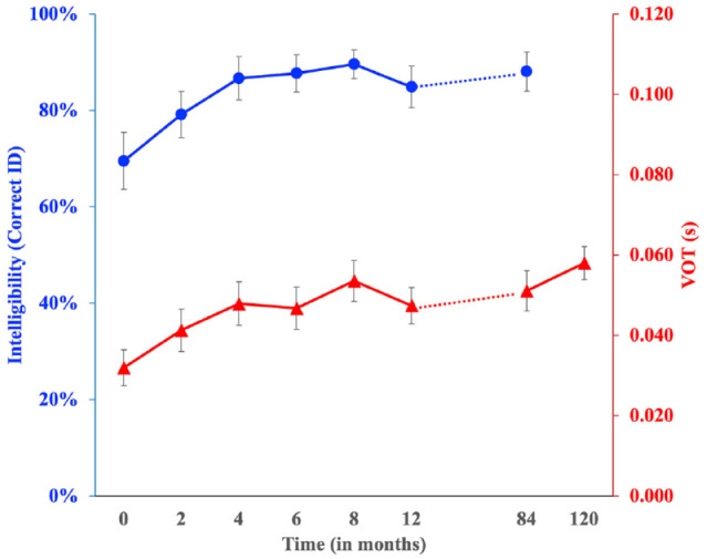
这篇简短的报告描述了对 24 位讲斯拉夫语(俄语、乌克兰语和克罗地亚语)的成人进行的一项纵向研究。他们都是在英语口语水平较低的情况下抵达加拿大的,而且一开始都参加了同一个语言教学项目。在八次测试中记录了 CVC 中的双唇停顿:六次在研究的第一年,一次在第七年,最后一次在第十年。通过对前 7 次测试中的停顿音进行盲听评估,对可理解性进行评价。在所有八次测试中,都对/p/的发声时间(VOT)进行了测量。平均/p/可懂度有所提高,主要是在建议的第二语言语音学习最大机会窗口期,但即使在 7 年后,仍低于 100%。对于一些说话者来说,早期的/p/发音是最小吸气的,随着时间的推移,VOT 会增加,但在 10 年后仍介于 L1 英语和 L1 斯拉夫语之间。然而,说话者之间的差异也很大,有些说话者在整个研究过程中都能完全听懂,而有些说话者则在任何时候都表现出许多无法听懂的发音。个人的学习轨迹往往是非线性的,而且往往是非累积性的。总之,这些研究结果表明,不同学习者的发展过程存在很大差异。这也表明,依赖群体手段来描述 L2 语段学习过程存在严重缺陷。
本文章由计算机程序翻译,如有差异,请以英文原文为准。

Aspiring to Aspirate: L2 Acquisition of English Word-Initial /p/ Over 10 Years.

Aspiring to Aspirate: L2 Acquisition of English Word-Initial /p/ Over 10 Years.

Aspiring to Aspirate: L2 Acquisition of English Word-Initial /p/ Over 10 Years.

Aspiring to Aspirate: L2 Acquisition of English Word-Initial /p/ Over 10 Years.

This short report describes a longitudinal examination of the acquisition of English-aspirated stops by an initial cohort of 24 adult Slavic-language (Russian, Ukrainian, and Croatian) speakers. All had arrived in Canada with low oral English proficiency, and all were enrolled in the same language instruction program at the outset. Initial bilabial stops in CVCs were recorded at eight testing times: six during the first year of the study, again at year 7, and finally at year 10. Intelligibility was evaluated through a blind listening assessment of the stop productions from the first seven testing times. Voice onset times (VOT) were measured for /p/ from all eight times. Mean /p/ intelligibility improved-mainly during a proposed Window of Maximal Opportunity for L2 speech acquisition-but remained below 100%, even after 7 years. For some speakers, early /p/ productions were minimally aspirated, with VOT increasing over time but remaining intermediate between L1 English and L1 Slavic-Language values at 10 years. However, inter-speaker variability was dramatic, with some speakers showing full intelligibility throughout the study and others showing many unintelligible productions at all times. Individual learning trajectories tended to be non-linear and often non-cumulative. Overall, these findings point to a developmental process that varies considerably from one learner to another. It also demonstrates the serious drawbacks of relying on group means to characterize the process of L2 segmental learning.

求助全文
通过发布文献求助,成功后即可免费获取论文全文。 去求助
来源期刊
Language and Speech
Language and Speech AUDIOLOGY & SPEECH-LANGUAGE PATHOLOGY-
CiteScore
4.00
自引率
5.60%
发文量
39
审稿时长
>12 weeks
期刊介绍: Language and Speech is a peer-reviewed journal which provides an international forum for communication among researchers in the disciplines that contribute to our understanding of the production, perception, processing, learning, use, and disorders of speech and language. The journal accepts reports of original research in all these areas.
×
引用
GB/T 7714-2015
复制
MLA
复制
APA
复制
导出至
BibTeX EndNote RefMan NoteFirst NoteExpress
×
提示
您的信息不完整,为了账户安全,请先补充。
现在去补充
×
提示
您因"违规操作"
具体请查看互助需知
我知道了
×
提示
确定
请完成安全验证×
copy
已复制链接
快去分享给好友吧!
我知道了
右上角分享
点击右上角分享
0
联系我们:info@booksci.cn Book学术提供免费学术资源搜索服务,方便国内外学者检索中英文文献。致力于提供最便捷和优质的服务体验。 Copyright © 2023 布克学术 All rights reserved.
京ICP备2023020795号-1
ghs 京公网安备 11010802042870号
Book学术文献互助
Book学术文献互助群
群 号:604180095
Book学术官方微信