母乳喂养、开始步行和腹部肥胖是拉美和西班牙学童体能的决定因素:一项跨文化研究

IF 2.2
Karina E Andrade-Lara, José Carlos Cabrera Linares, Juan Antonio Párraga Montilla, Alexander Mayanquer-Lara, Manuel Lucena Zurita, Pedro Ángel Latorre Román
{"title":"母乳喂养、开始步行和腹部肥胖是拉美和西班牙学童体能的决定因素:一项跨文化研究","authors":"Karina E Andrade-Lara, José Carlos Cabrera Linares, Juan Antonio Párraga Montilla, Alexander Mayanquer-Lara, Manuel Lucena Zurita, Pedro Ángel Latorre Román","doi":"10.3390/epidemiologia5030022","DOIUrl":null,"url":null,"abstract":"<p><strong>Objective: </strong>To comp+are levels of physical fitness between Ecuador and Spain and identify whether breastfeeding period, walking onset, and abdominal obesity are determinants of physical performance in schoolchildren from Ecuador and Spain.</p><p><strong>Methods: </strong>a total of 352 schoolchildren (6-12 years old) from Ecuador (n = 176) and Spain (n = 176) joined in this study. Anthropometric measures, socio-demographic characteristics, and physical fitness were evaluated.</p><p><strong>Results: </strong>Spanish schoolchildren showed better performance in handgrip strength, standing long jump, and 25 m sprint (<i>p</i> = 0.021; <i>p</i> < 0.001; <i>p</i> < 0.001; <i>p</i> < 0.001, respectively). Furthermore, Spanish children showed better cardiorespiratory fitness (<i>p</i> < 0.001) and a higher VO2 max (<i>p</i> = 0.002) with regards to their peers. In addition, children from Ecuador and Spain showed an influence of breastfeeding period (<i>p</i> ranged from <0.001 to 0.043) and walking onset (<i>p</i> ranged from <0.001 to 0.032) on physical performance. Moreover, physical fitness components were protective factors of abdominal obesity in Ecuadorian and Spanish schoolchildren (<i>p</i> ranged from =0.001 to 0.049).</p><p><strong>Conclusions: </strong>Our findings revealed the influence of the infancy period and the onset of walking on children's physical performance, highlighting the importance of these factors in motor development during early childhood and also their influence in middle childhood and throughout adulthood.</p>","PeriodicalId":72944,"journal":{"name":"Epidemiolgia (Basel, Switzerland)","volume":"5 3","pages":"318-329"},"PeriodicalIF":2.2000,"publicationDate":"2024-06-26","publicationTypes":"Journal Article","fieldsOfStudy":null,"isOpenAccess":false,"openAccessPdf":"https://www.ncbi.nlm.nih.gov/pmc/articles/PMC11270378/pdf/","citationCount":"0","resultStr":"{\"title\":\"Breastfeeding, Walking Onset, and Abdominal Obesity Are Determinants of Physical Fitness among Latin American and Spanish Schoolchildren: A Cross-Cultural Study.\",\"authors\":\"Karina E Andrade-Lara, José Carlos Cabrera Linares, Juan Antonio Párraga Montilla, Alexander Mayanquer-Lara, Manuel Lucena Zurita, Pedro Ángel Latorre Román\",\"doi\":\"10.3390/epidemiologia5030022\",\"DOIUrl\":null,\"url\":null,\"abstract\":\"<p><strong>Objective: </strong>To comp+are levels of physical fitness between Ecuador and Spain and identify whether breastfeeding period, walking onset, and abdominal obesity are determinants of physical performance in schoolchildren from Ecuador and Spain.</p><p><strong>Methods: </strong>a total of 352 schoolchildren (6-12 years old) from Ecuador (n = 176) and Spain (n = 176) joined in this study. Anthropometric measures, socio-demographic characteristics, and physical fitness were evaluated.</p><p><strong>Results: </strong>Spanish schoolchildren showed better performance in handgrip strength, standing long jump, and 25 m sprint (<i>p</i> = 0.021; <i>p</i> < 0.001; <i>p</i> < 0.001; <i>p</i> < 0.001, respectively). Furthermore, Spanish children showed better cardiorespiratory fitness (<i>p</i> < 0.001) and a higher VO2 max (<i>p</i> = 0.002) with regards to their peers. In addition, children from Ecuador and Spain showed an influence of breastfeeding period (<i>p</i> ranged from <0.001 to 0.043) and walking onset (<i>p</i> ranged from <0.001 to 0.032) on physical performance. Moreover, physical fitness components were protective factors of abdominal obesity in Ecuadorian and Spanish schoolchildren (<i>p</i> ranged from =0.001 to 0.049).</p><p><strong>Conclusions: </strong>Our findings revealed the influence of the infancy period and the onset of walking on children's physical performance, highlighting the importance of these factors in motor development during early childhood and also their influence in middle childhood and throughout adulthood.</p>\",\"PeriodicalId\":72944,\"journal\":{\"name\":\"Epidemiolgia (Basel, Switzerland)\",\"volume\":\"5 3\",\"pages\":\"318-329\"},\"PeriodicalIF\":2.2000,\"publicationDate\":\"2024-06-26\",\"publicationTypes\":\"Journal Article\",\"fieldsOfStudy\":null,\"isOpenAccess\":false,\"openAccessPdf\":\"https://www.ncbi.nlm.nih.gov/pmc/articles/PMC11270378/pdf/\",\"citationCount\":\"0\",\"resultStr\":null,\"platform\":\"Semanticscholar\",\"paperid\":null,\"PeriodicalName\":\"Epidemiolgia (Basel, Switzerland)\",\"FirstCategoryId\":\"1085\",\"ListUrlMain\":\"https://doi.org/10.3390/epidemiologia5030022\",\"RegionNum\":0,\"RegionCategory\":null,\"ArticlePicture\":[],\"TitleCN\":null,\"AbstractTextCN\":null,\"PMCID\":null,\"EPubDate\":\"\",\"PubModel\":\"\",\"JCR\":\"\",\"JCRName\":\"\",\"Score\":null,\"Total\":0}","platform":"Semanticscholar","paperid":null,"PeriodicalName":"Epidemiolgia (Basel, Switzerland)","FirstCategoryId":"1085","ListUrlMain":"https://doi.org/10.3390/epidemiologia5030022","RegionNum":0,"RegionCategory":null,"ArticlePicture":[],"TitleCN":null,"AbstractTextCN":null,"PMCID":null,"EPubDate":"","PubModel":"","JCR":"","JCRName":"","Score":null,"Total":0}
引用次数: 0

摘要

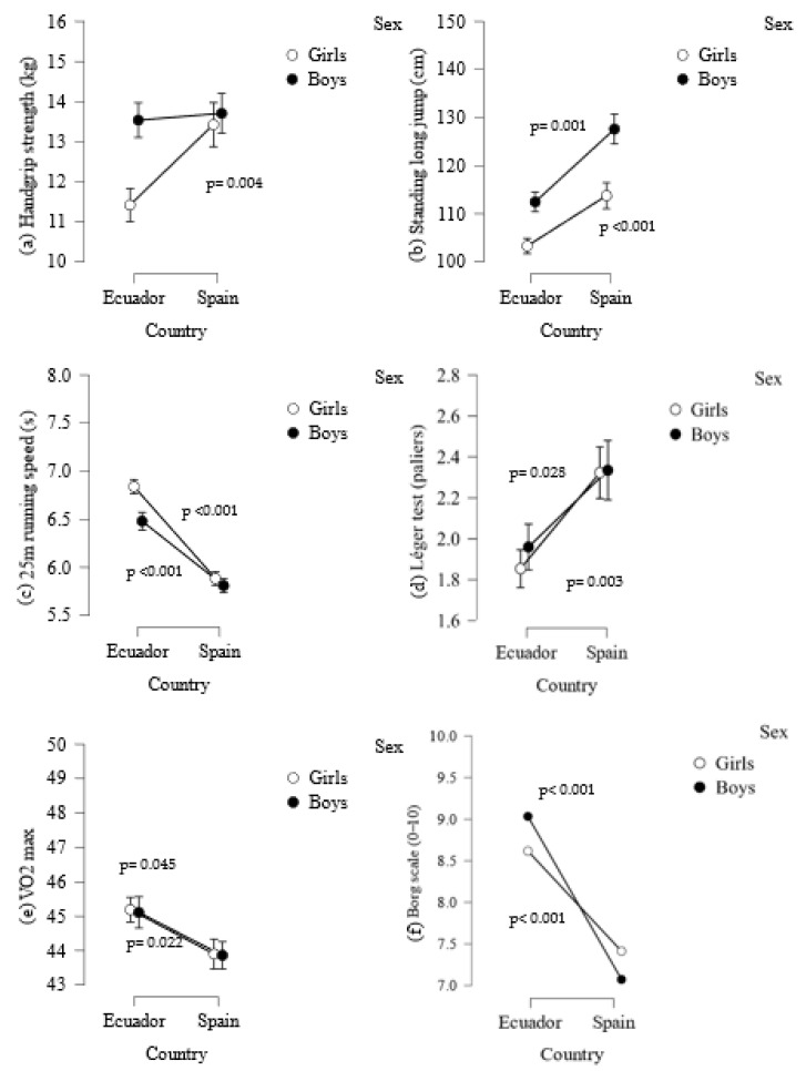
目的比较厄瓜多尔和西班牙学生的体能水平,并确定哺乳期、开始步行和腹部肥胖是否是厄瓜多尔和西班牙学生体能表现的决定因素。对人体测量、社会人口特征和体能进行了评估:结果:西班牙学童在握力、立定跳远和 25 米短跑方面表现更好(分别为 p = 0.021;p < 0.001;p < 0.001;p < 0.001)。此外,西班牙儿童的心肺功能(p < 0.001)和最大容氧量(p = 0.002)均优于同龄儿童。此外,厄瓜多尔和西班牙儿童还受到母乳喂养期的影响(p = 0.001 至 0.049):我们的研究结果表明,婴儿期和开始走路对儿童的体能表现有影响,突出了这些因素在幼儿期运动发展中的重要性,以及它们对中年期和整个成年期的影响。
本文章由计算机程序翻译,如有差异,请以英文原文为准。

Breastfeeding, Walking Onset, and Abdominal Obesity Are Determinants of Physical Fitness among Latin American and Spanish Schoolchildren: A Cross-Cultural Study.

Breastfeeding, Walking Onset, and Abdominal Obesity Are Determinants of Physical Fitness among Latin American and Spanish Schoolchildren: A Cross-Cultural Study.

Breastfeeding, Walking Onset, and Abdominal Obesity Are Determinants of Physical Fitness among Latin American and Spanish Schoolchildren: A Cross-Cultural Study.

Objective: To comp+are levels of physical fitness between Ecuador and Spain and identify whether breastfeeding period, walking onset, and abdominal obesity are determinants of physical performance in schoolchildren from Ecuador and Spain.

Methods: a total of 352 schoolchildren (6-12 years old) from Ecuador (n = 176) and Spain (n = 176) joined in this study. Anthropometric measures, socio-demographic characteristics, and physical fitness were evaluated.

Results: Spanish schoolchildren showed better performance in handgrip strength, standing long jump, and 25 m sprint (p = 0.021; p < 0.001; p < 0.001; p < 0.001, respectively). Furthermore, Spanish children showed better cardiorespiratory fitness (p < 0.001) and a higher VO2 max (p = 0.002) with regards to their peers. In addition, children from Ecuador and Spain showed an influence of breastfeeding period (p ranged from <0.001 to 0.043) and walking onset (p ranged from <0.001 to 0.032) on physical performance. Moreover, physical fitness components were protective factors of abdominal obesity in Ecuadorian and Spanish schoolchildren (p ranged from =0.001 to 0.049).

Conclusions: Our findings revealed the influence of the infancy period and the onset of walking on children's physical performance, highlighting the importance of these factors in motor development during early childhood and also their influence in middle childhood and throughout adulthood.

求助全文
通过发布文献求助,成功后即可免费获取论文全文。 去求助
来源期刊
CiteScore
3.60
自引率
0.00%
发文量
0
审稿时长
7 weeks
×
引用
GB/T 7714-2015
复制
MLA
复制
APA
复制
导出至
BibTeX EndNote RefMan NoteFirst NoteExpress
×
提示
您的信息不完整,为了账户安全,请先补充。
现在去补充
×
提示
您因"违规操作"
具体请查看互助需知
我知道了
×
提示
确定
请完成安全验证×
copy
已复制链接
快去分享给好友吧!
我知道了
右上角分享
点击右上角分享
0
联系我们:info@booksci.cn Book学术提供免费学术资源搜索服务,方便国内外学者检索中英文文献。致力于提供最便捷和优质的服务体验。 Copyright © 2023 布克学术 All rights reserved.
京ICP备2023020795号-1
ghs 京公网安备 11010802042870号
Book学术文献互助
Book学术文献互助群
群 号:604180095
Book学术官方微信