持续性脑震荡后症状包括幼儿的神经听觉处理。

Q3 Medicine
Concussion Pub Date : 2024-06-28 eCollection Date: 2024-03-01 DOI:10.2217/cnc-2023-0013
Silvia Bonacina, Jennifer Krizman, Jacob Farley, Trent Nicol, Cynthia R LaBella, Nina Kraus
{"title":"持续性脑震荡后症状包括幼儿的神经听觉处理。","authors":"Silvia Bonacina, Jennifer Krizman, Jacob Farley, Trent Nicol, Cynthia R LaBella, Nina Kraus","doi":"10.2217/cnc-2023-0013","DOIUrl":null,"url":null,"abstract":"<p><strong>Aim: </strong>Difficulty understanding speech following concussion is likely caused by auditory processing impairments. We hypothesized that concussion disrupts pitch and phonetic processing of a sound, cues in understanding a talker.</p><p><strong>Patients & methods/results: </strong>We obtained frequency following responses to a syllable from 120 concussed and 120 control. Encoding of the fundamental frequency (F0), a pitch cue and the first formant (F1), a phonetic cue, was poorer in concussed children. The F0 reduction was greater in the children assessed within 2 weeks of their injuries.</p><p><strong>Conclusion: </strong>Concussions affect auditory processing. Results strengthen evidence of reduced F0 encoding in children with concussion and call for longitudinal study aimed at monitoring the recovery course with respect to the auditory system.</p>","PeriodicalId":37006,"journal":{"name":"Concussion","volume":"9 1","pages":"CNC114"},"PeriodicalIF":0.0000,"publicationDate":"2024-06-28","publicationTypes":"Journal Article","fieldsOfStudy":null,"isOpenAccess":false,"openAccessPdf":"https://www.ncbi.nlm.nih.gov/pmc/articles/PMC11270634/pdf/","citationCount":"0","resultStr":"{\"title\":\"Persistent post-concussion symptoms include neural auditory processing in young children.\",\"authors\":\"Silvia Bonacina, Jennifer Krizman, Jacob Farley, Trent Nicol, Cynthia R LaBella, Nina Kraus\",\"doi\":\"10.2217/cnc-2023-0013\",\"DOIUrl\":null,\"url\":null,\"abstract\":\"<p><strong>Aim: </strong>Difficulty understanding speech following concussion is likely caused by auditory processing impairments. We hypothesized that concussion disrupts pitch and phonetic processing of a sound, cues in understanding a talker.</p><p><strong>Patients & methods/results: </strong>We obtained frequency following responses to a syllable from 120 concussed and 120 control. Encoding of the fundamental frequency (F0), a pitch cue and the first formant (F1), a phonetic cue, was poorer in concussed children. The F0 reduction was greater in the children assessed within 2 weeks of their injuries.</p><p><strong>Conclusion: </strong>Concussions affect auditory processing. Results strengthen evidence of reduced F0 encoding in children with concussion and call for longitudinal study aimed at monitoring the recovery course with respect to the auditory system.</p>\",\"PeriodicalId\":37006,\"journal\":{\"name\":\"Concussion\",\"volume\":\"9 1\",\"pages\":\"CNC114\"},\"PeriodicalIF\":0.0000,\"publicationDate\":\"2024-06-28\",\"publicationTypes\":\"Journal Article\",\"fieldsOfStudy\":null,\"isOpenAccess\":false,\"openAccessPdf\":\"https://www.ncbi.nlm.nih.gov/pmc/articles/PMC11270634/pdf/\",\"citationCount\":\"0\",\"resultStr\":null,\"platform\":\"Semanticscholar\",\"paperid\":null,\"PeriodicalName\":\"Concussion\",\"FirstCategoryId\":\"1085\",\"ListUrlMain\":\"https://doi.org/10.2217/cnc-2023-0013\",\"RegionNum\":0,\"RegionCategory\":null,\"ArticlePicture\":[],\"TitleCN\":null,\"AbstractTextCN\":null,\"PMCID\":null,\"EPubDate\":\"2024/3/1 0:00:00\",\"PubModel\":\"eCollection\",\"JCR\":\"Q3\",\"JCRName\":\"Medicine\",\"Score\":null,\"Total\":0}","platform":"Semanticscholar","paperid":null,"PeriodicalName":"Concussion","FirstCategoryId":"1085","ListUrlMain":"https://doi.org/10.2217/cnc-2023-0013","RegionNum":0,"RegionCategory":null,"ArticlePicture":[],"TitleCN":null,"AbstractTextCN":null,"PMCID":null,"EPubDate":"2024/3/1 0:00:00","PubModel":"eCollection","JCR":"Q3","JCRName":"Medicine","Score":null,"Total":0}
引用次数: 0

摘要

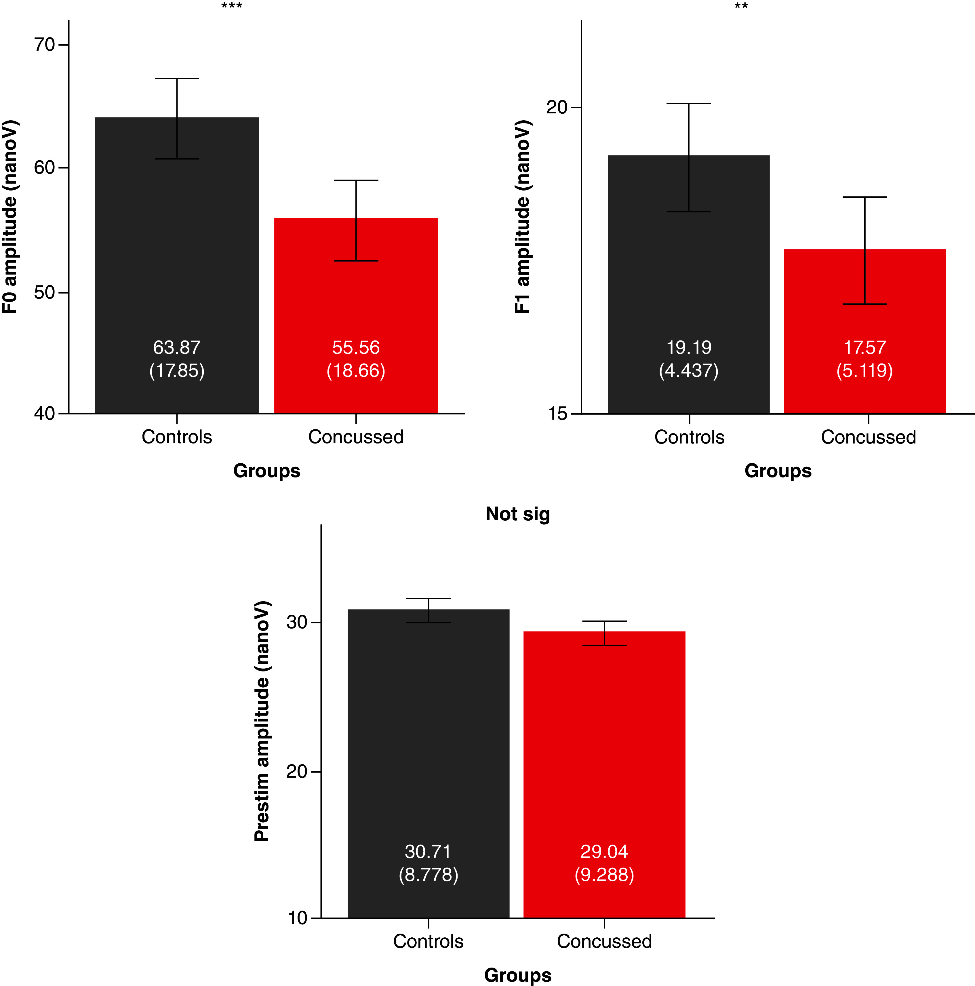
目的:脑震荡后难以理解言语的原因可能是听觉处理障碍。我们假设脑震荡会破坏声音的音高和语音处理,而这正是理解说话者的线索:我们采集了 120 名脑震荡患者和 120 名对照组患者对一个音节的频率响应。脑震荡患儿对作为音高线索的基频(F0)和作为语音线索的第一共振(F1)的编码能力较差。在受伤后两周内接受评估的儿童中,F0的下降幅度更大:结论:脑震荡会影响听觉处理。研究结果加强了脑震荡儿童F0编码能力下降的证据,并要求进行纵向研究,以监测听觉系统的恢复过程。
本文章由计算机程序翻译,如有差异,请以英文原文为准。

Persistent post-concussion symptoms include neural auditory processing in young children.

Persistent post-concussion symptoms include neural auditory processing in young children.

Persistent post-concussion symptoms include neural auditory processing in young children.

Persistent post-concussion symptoms include neural auditory processing in young children.

Aim: Difficulty understanding speech following concussion is likely caused by auditory processing impairments. We hypothesized that concussion disrupts pitch and phonetic processing of a sound, cues in understanding a talker.

Patients & methods/results: We obtained frequency following responses to a syllable from 120 concussed and 120 control. Encoding of the fundamental frequency (F0), a pitch cue and the first formant (F1), a phonetic cue, was poorer in concussed children. The F0 reduction was greater in the children assessed within 2 weeks of their injuries.

Conclusion: Concussions affect auditory processing. Results strengthen evidence of reduced F0 encoding in children with concussion and call for longitudinal study aimed at monitoring the recovery course with respect to the auditory system.

求助全文
通过发布文献求助,成功后即可免费获取论文全文。 去求助
来源期刊
Concussion
Concussion Medicine-Neurology (clinical)
CiteScore
2.70
自引率
0.00%
发文量
2
审稿时长
12 weeks
×
引用
GB/T 7714-2015
复制
MLA
复制
APA
复制
导出至
BibTeX EndNote RefMan NoteFirst NoteExpress
×
提示
您的信息不完整,为了账户安全,请先补充。
现在去补充
×
提示
您因"违规操作"
具体请查看互助需知
我知道了
×
提示
确定
请完成安全验证×
copy
已复制链接
快去分享给好友吧!
我知道了
右上角分享
点击右上角分享
0
联系我们:info@booksci.cn Book学术提供免费学术资源搜索服务,方便国内外学者检索中英文文献。致力于提供最便捷和优质的服务体验。 Copyright © 2023 布克学术 All rights reserved.
京ICP备2023020795号-1
ghs 京公网安备 11010802042870号
Book学术文献互助
Book学术文献互助群
群 号:604180095
Book学术官方微信