鲁拉西酮对精神分裂症急性加重期患者的特异性抗敌意作用:对青少年和成人的汇总后分析结果。

IF 2.5 3区 医学 Q3 PHARMACOLOGY & PHARMACY
Leslie Citrome, Elena Álvarez-Barón, Irene Gabarda-Inat, Karthinathan Thangavelu, Michael Tocco
{"title":"鲁拉西酮对精神分裂症急性加重期患者的特异性抗敌意作用:对青少年和成人的汇总后分析结果。","authors":"Leslie Citrome, Elena Álvarez-Barón, Irene Gabarda-Inat, Karthinathan Thangavelu, Michael Tocco","doi":"10.1097/YIC.0000000000000563","DOIUrl":null,"url":null,"abstract":"<p><p>Symptoms of hostility in patients during acute exacerbations of schizophrenia have been associated with aggressive behavior. Data suggest that some second-generation antipsychotics have specific anti-hostility effects, independent of sedation and positive symptom improvement. Two post hoc analyses were performed to examine the efficacy of lurasidone for reducing hostility in patients with schizophrenia. One analysis pooled adults ( N  = 1168) from 5 placebo-controlled, 6-week trials of lurasidone (40-160 mg). Another analysis pooled younger patients (up to age 25 years, N  = 427) from the adult studies and a similarly designed trial of lurasidone (40 or 80 mg) in adolescent patients (13-17 years old). The outcome measure was mean change in the hostility item (P7) of the Positive and Negative Syndrome Scale (PANSS). To address pseudospecificity, results were adjusted for positive symptom change and sedation. In adults with a baseline PANSS hostility score ≥2, significant improvement in hostility was observed for all doses with a dose-related increase in effect size (Cohen's d): lurasidone 40 mg = 0.18, 80 mg = 0.24, 120 mg = 0.36, and 160 mg = 0.53. The same dose-response pattern was observed for the more severe hostility subgroups (P7: ≥3, ≥4), and in the early-onset population. Results suggest that lurasidone has specific, dose-related anti-hostility effects.</p>","PeriodicalId":13698,"journal":{"name":"International Clinical Psychopharmacology","volume":" ","pages":"214-223"},"PeriodicalIF":2.5000,"publicationDate":"2025-07-01","publicationTypes":"Journal Article","fieldsOfStudy":null,"isOpenAccess":false,"openAccessPdf":"https://www.ncbi.nlm.nih.gov/pmc/articles/PMC12122092/pdf/","citationCount":"0","resultStr":"{\"title\":\"The specific anti-hostility effect of lurasidone in patients with an acute exacerbation of schizophrenia: results of pooled post hoc analyses in adolescents and adults.\",\"authors\":\"Leslie Citrome, Elena Álvarez-Barón, Irene Gabarda-Inat, Karthinathan Thangavelu, Michael Tocco\",\"doi\":\"10.1097/YIC.0000000000000563\",\"DOIUrl\":null,\"url\":null,\"abstract\":\"<p><p>Symptoms of hostility in patients during acute exacerbations of schizophrenia have been associated with aggressive behavior. Data suggest that some second-generation antipsychotics have specific anti-hostility effects, independent of sedation and positive symptom improvement. Two post hoc analyses were performed to examine the efficacy of lurasidone for reducing hostility in patients with schizophrenia. One analysis pooled adults ( N  = 1168) from 5 placebo-controlled, 6-week trials of lurasidone (40-160 mg). Another analysis pooled younger patients (up to age 25 years, N  = 427) from the adult studies and a similarly designed trial of lurasidone (40 or 80 mg) in adolescent patients (13-17 years old). The outcome measure was mean change in the hostility item (P7) of the Positive and Negative Syndrome Scale (PANSS). To address pseudospecificity, results were adjusted for positive symptom change and sedation. In adults with a baseline PANSS hostility score ≥2, significant improvement in hostility was observed for all doses with a dose-related increase in effect size (Cohen's d): lurasidone 40 mg = 0.18, 80 mg = 0.24, 120 mg = 0.36, and 160 mg = 0.53. The same dose-response pattern was observed for the more severe hostility subgroups (P7: ≥3, ≥4), and in the early-onset population. Results suggest that lurasidone has specific, dose-related anti-hostility effects.</p>\",\"PeriodicalId\":13698,\"journal\":{\"name\":\"International Clinical Psychopharmacology\",\"volume\":\" \",\"pages\":\"214-223\"},\"PeriodicalIF\":2.5000,\"publicationDate\":\"2025-07-01\",\"publicationTypes\":\"Journal Article\",\"fieldsOfStudy\":null,\"isOpenAccess\":false,\"openAccessPdf\":\"https://www.ncbi.nlm.nih.gov/pmc/articles/PMC12122092/pdf/\",\"citationCount\":\"0\",\"resultStr\":null,\"platform\":\"Semanticscholar\",\"paperid\":null,\"PeriodicalName\":\"International Clinical Psychopharmacology\",\"FirstCategoryId\":\"3\",\"ListUrlMain\":\"https://doi.org/10.1097/YIC.0000000000000563\",\"RegionNum\":3,\"RegionCategory\":\"医学\",\"ArticlePicture\":[],\"TitleCN\":null,\"AbstractTextCN\":null,\"PMCID\":null,\"EPubDate\":\"2024/7/22 0:00:00\",\"PubModel\":\"Epub\",\"JCR\":\"Q3\",\"JCRName\":\"PHARMACOLOGY & PHARMACY\",\"Score\":null,\"Total\":0}","platform":"Semanticscholar","paperid":null,"PeriodicalName":"International Clinical Psychopharmacology","FirstCategoryId":"3","ListUrlMain":"https://doi.org/10.1097/YIC.0000000000000563","RegionNum":3,"RegionCategory":"医学","ArticlePicture":[],"TitleCN":null,"AbstractTextCN":null,"PMCID":null,"EPubDate":"2024/7/22 0:00:00","PubModel":"Epub","JCR":"Q3","JCRName":"PHARMACOLOGY & PHARMACY","Score":null,"Total":0}
引用次数: 0

摘要

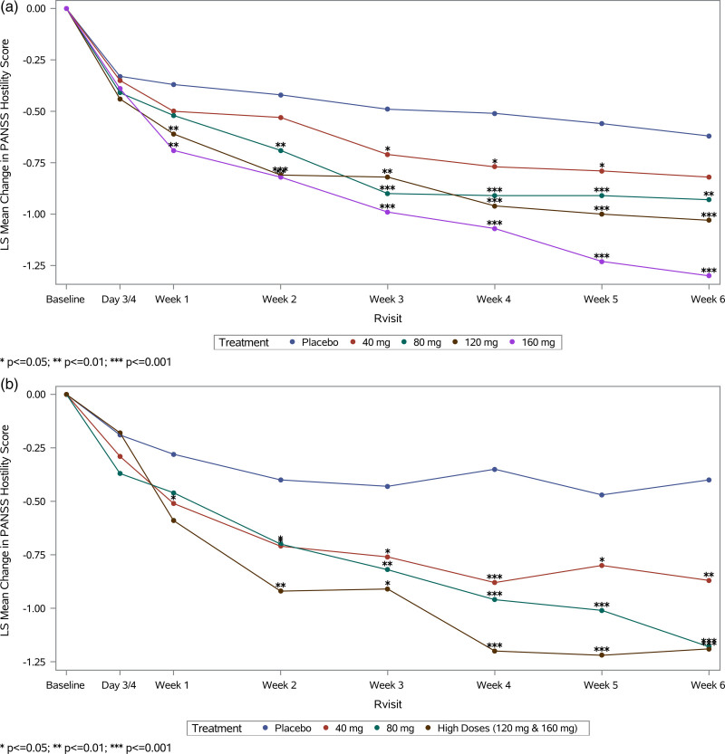
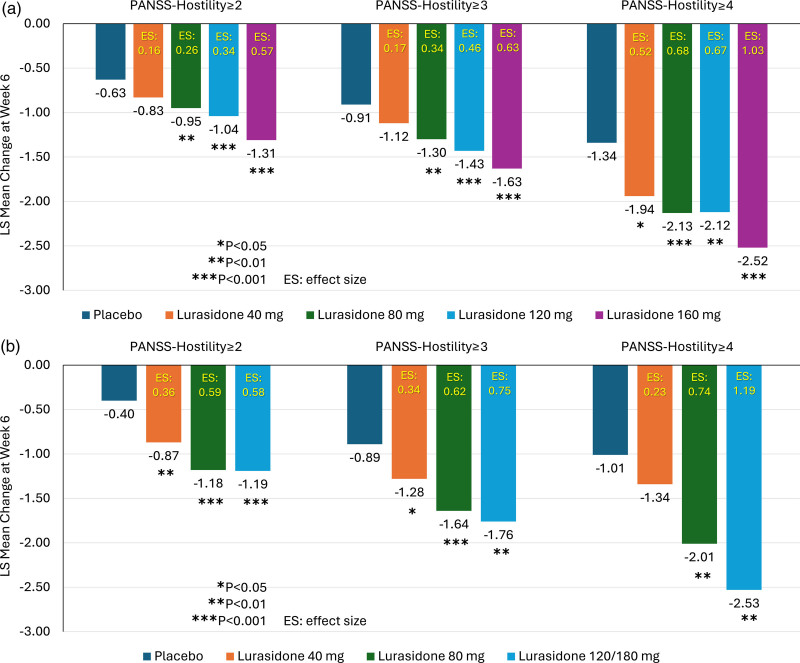
精神分裂症急性加重期患者的敌意症状与攻击行为有关。有数据表明,一些第二代抗精神病药物具有特定的抗敌意作用,与镇静和阳性症状改善无关。为了研究鲁拉西酮对减少精神分裂症患者敌意的疗效,我们进行了两项事后分析。其中一项分析汇总了5项安慰剂对照、为期6周的鲁拉西酮(40-160毫克)试验中的成人患者(N=1168)。另一项分析汇总了成人研究中的年轻患者(25岁以下,N = 427),以及一项针对青少年患者(13-17岁)的鲁拉西酮(40或80毫克)类似设计试验。研究结果的衡量标准是积极与消极综合征量表(PANSS)中敌意项目(P7)的平均变化。为了解决假性特异性问题,研究结果根据阳性症状变化和镇静作用进行了调整。在基线PANSS敌意评分≥2分的成人中,所有剂量都能显著改善敌意,且效应大小(Cohen's d)的增加与剂量相关:鲁拉西酮40毫克=0.18,80毫克=0.24,120毫克=0.36,160毫克=0.53。在更严重的敌意亚组(P7:≥3,≥4)和早发人群中也观察到了相同的剂量-反应模式。结果表明,鲁拉西酮具有特定的、与剂量相关的抗敌意作用。
本文章由计算机程序翻译,如有差异,请以英文原文为准。

The specific anti-hostility effect of lurasidone in patients with an acute exacerbation of schizophrenia: results of pooled post hoc analyses in adolescents and adults.

The specific anti-hostility effect of lurasidone in patients with an acute exacerbation of schizophrenia: results of pooled post hoc analyses in adolescents and adults.

The specific anti-hostility effect of lurasidone in patients with an acute exacerbation of schizophrenia: results of pooled post hoc analyses in adolescents and adults.

Symptoms of hostility in patients during acute exacerbations of schizophrenia have been associated with aggressive behavior. Data suggest that some second-generation antipsychotics have specific anti-hostility effects, independent of sedation and positive symptom improvement. Two post hoc analyses were performed to examine the efficacy of lurasidone for reducing hostility in patients with schizophrenia. One analysis pooled adults ( N  = 1168) from 5 placebo-controlled, 6-week trials of lurasidone (40-160 mg). Another analysis pooled younger patients (up to age 25 years, N  = 427) from the adult studies and a similarly designed trial of lurasidone (40 or 80 mg) in adolescent patients (13-17 years old). The outcome measure was mean change in the hostility item (P7) of the Positive and Negative Syndrome Scale (PANSS). To address pseudospecificity, results were adjusted for positive symptom change and sedation. In adults with a baseline PANSS hostility score ≥2, significant improvement in hostility was observed for all doses with a dose-related increase in effect size (Cohen's d): lurasidone 40 mg = 0.18, 80 mg = 0.24, 120 mg = 0.36, and 160 mg = 0.53. The same dose-response pattern was observed for the more severe hostility subgroups (P7: ≥3, ≥4), and in the early-onset population. Results suggest that lurasidone has specific, dose-related anti-hostility effects.

求助全文
通过发布文献求助,成功后即可免费获取论文全文。 去求助
来源期刊
CiteScore
4.40
自引率
23.10%
发文量
97
审稿时长
>12 weeks
期刊介绍: International Clinical Psychopharmacology provides an essential link between research and clinical practice throughout psychopharmacology. It reports on studies in human subjects, both healthy volunteers and patients, which relate the effects of drugs on psychological processes. A major objective of the journal is to publish fully refereed papers which throw light on the ways in which the study of psychotropic drugs can increase our understanding of psychopharmacology. To this end the journal publishes results of early Phase I and II studies, as well as those of controlled clinical trials of psychotropic drugs in Phase II and IV. Other topics covered include the epidemiology of psychotropic drug prescribing and drug taking, the sociology of psychotropic drugs including compliance, and research into the safety and adverse effects of these compounds.
×
引用
GB/T 7714-2015
复制
MLA
复制
APA
复制
导出至
BibTeX EndNote RefMan NoteFirst NoteExpress
×
提示
您的信息不完整,为了账户安全,请先补充。
现在去补充
×
提示
您因"违规操作"
具体请查看互助需知
我知道了
×
提示
确定
请完成安全验证×
copy
已复制链接
快去分享给好友吧!
我知道了
右上角分享
点击右上角分享
0
联系我们:info@booksci.cn Book学术提供免费学术资源搜索服务,方便国内外学者检索中英文文献。致力于提供最便捷和优质的服务体验。 Copyright © 2023 布克学术 All rights reserved.
京ICP备2023020795号-1
ghs 京公网安备 11010802042870号
Book学术文献互助
Book学术文献互助群
群 号:604180095
Book学术官方微信