N- 烷基靛红-3-亚氨基芳香胺衍生物的分子对接和合成及其抗利什曼病和细胞毒活性。

IF 2.1 Q3 CHEMISTRY, MEDICINAL
Farshid Hassanzadeh, Seyed Hossein Hejazi, Elham Jafari, Atefeh Mohammadi Fard, Hojjat Sadeghi-Aliabadi
{"title":"N- 烷基靛红-3-亚氨基芳香胺衍生物的分子对接和合成及其抗利什曼病和细胞毒活性。","authors":"Farshid Hassanzadeh, Seyed Hossein Hejazi, Elham Jafari, Atefeh Mohammadi Fard, Hojjat Sadeghi-Aliabadi","doi":"10.4103/RPS.RPS_244_22","DOIUrl":null,"url":null,"abstract":"<p><strong>Background and purpose: </strong>Isatin derivatives have excited attention due to their biological attractions, especially, anticancer properties. Isatin analogs such as semaxanib and sunitinib were exposed to tyrosine kinase inhibitory properties. N-substituted isatins were reported to show cytotoxic activity. On the other, the extension of impressive and cost-effective agents against leishmaniasis is necessary in third-world countries. The capability of isatin derivatives to create novel anticancer and anti-leishmanial compounds has been identified in medicinal chemistry research. The current study aimed to synthesize N-alkyl-isatin-3-imino aromatic amine compounds and evaluate their biological effects.</p><p><strong>Experimental approach: </strong>Synthesis started with the formation of 2-chloro-N-phenylacetamide derivatives by the reaction of aniline derivatives with chloroacetyl chloride. N-alkylation of isatin was performed in the presence of K2CO3 in N, N-dimethylformamide. Final products were prepared via the condensation of N-alkyl isatin derivatives with aromatic amines. Cell viability was checked out by using the MTT assay against cancer cells. Final compounds were screened for anti-leishmanial activity. The molecules were docked in the active sites of the epidermal growth factor receptor tyrosine kinase to define the possible interactions.</p><p><strong>Findings/results: </strong>Compounds 5c and 4d with IC<sub>50</sub> value of 50 μΜ showed cytotoxic activity on the MCF-7 cell line. Compound 5b presented anti-leishmanial activity against promastigote form after 48 h (IC<sub>50</sub>:59 μΜ) and 72 h (IC<sub>50</sub>: 41 μΜ) incubations. The highest docking score was -7.33 kcal/mol for compound 4d.</p><p><strong>Conclusions and implications: </strong>The nature of substitution in the N1 region of isatin seems to be able to influence the cytotoxic activity. Based on the obtained results of docking and cytotoxic tests, compound 4d seems to be a good compound for further investigations.</p>","PeriodicalId":21075,"journal":{"name":"Research in Pharmaceutical Sciences","volume":"19 2","pages":"238-250"},"PeriodicalIF":2.1000,"publicationDate":"2024-04-01","publicationTypes":"Journal Article","fieldsOfStudy":null,"isOpenAccess":false,"openAccessPdf":"https://www.ncbi.nlm.nih.gov/pmc/articles/PMC11257207/pdf/","citationCount":"0","resultStr":"{\"title\":\"Molecular docking and synthesis of N-alkyl-isatin-3-imino aromatic amine derivatives and their antileishmanial and cytotoxic activities.\",\"authors\":\"Farshid Hassanzadeh, Seyed Hossein Hejazi, Elham Jafari, Atefeh Mohammadi Fard, Hojjat Sadeghi-Aliabadi\",\"doi\":\"10.4103/RPS.RPS_244_22\",\"DOIUrl\":null,\"url\":null,\"abstract\":\"<p><strong>Background and purpose: </strong>Isatin derivatives have excited attention due to their biological attractions, especially, anticancer properties. Isatin analogs such as semaxanib and sunitinib were exposed to tyrosine kinase inhibitory properties. N-substituted isatins were reported to show cytotoxic activity. On the other, the extension of impressive and cost-effective agents against leishmaniasis is necessary in third-world countries. The capability of isatin derivatives to create novel anticancer and anti-leishmanial compounds has been identified in medicinal chemistry research. The current study aimed to synthesize N-alkyl-isatin-3-imino aromatic amine compounds and evaluate their biological effects.</p><p><strong>Experimental approach: </strong>Synthesis started with the formation of 2-chloro-N-phenylacetamide derivatives by the reaction of aniline derivatives with chloroacetyl chloride. N-alkylation of isatin was performed in the presence of K2CO3 in N, N-dimethylformamide. Final products were prepared via the condensation of N-alkyl isatin derivatives with aromatic amines. Cell viability was checked out by using the MTT assay against cancer cells. Final compounds were screened for anti-leishmanial activity. The molecules were docked in the active sites of the epidermal growth factor receptor tyrosine kinase to define the possible interactions.</p><p><strong>Findings/results: </strong>Compounds 5c and 4d with IC<sub>50</sub> value of 50 μΜ showed cytotoxic activity on the MCF-7 cell line. Compound 5b presented anti-leishmanial activity against promastigote form after 48 h (IC<sub>50</sub>:59 μΜ) and 72 h (IC<sub>50</sub>: 41 μΜ) incubations. The highest docking score was -7.33 kcal/mol for compound 4d.</p><p><strong>Conclusions and implications: </strong>The nature of substitution in the N1 region of isatin seems to be able to influence the cytotoxic activity. Based on the obtained results of docking and cytotoxic tests, compound 4d seems to be a good compound for further investigations.</p>\",\"PeriodicalId\":21075,\"journal\":{\"name\":\"Research in Pharmaceutical Sciences\",\"volume\":\"19 2\",\"pages\":\"238-250\"},\"PeriodicalIF\":2.1000,\"publicationDate\":\"2024-04-01\",\"publicationTypes\":\"Journal Article\",\"fieldsOfStudy\":null,\"isOpenAccess\":false,\"openAccessPdf\":\"https://www.ncbi.nlm.nih.gov/pmc/articles/PMC11257207/pdf/\",\"citationCount\":\"0\",\"resultStr\":null,\"platform\":\"Semanticscholar\",\"paperid\":null,\"PeriodicalName\":\"Research in Pharmaceutical Sciences\",\"FirstCategoryId\":\"1085\",\"ListUrlMain\":\"https://doi.org/10.4103/RPS.RPS_244_22\",\"RegionNum\":0,\"RegionCategory\":null,\"ArticlePicture\":[],\"TitleCN\":null,\"AbstractTextCN\":null,\"PMCID\":null,\"EPubDate\":\"\",\"PubModel\":\"\",\"JCR\":\"Q3\",\"JCRName\":\"CHEMISTRY, MEDICINAL\",\"Score\":null,\"Total\":0}","platform":"Semanticscholar","paperid":null,"PeriodicalName":"Research in Pharmaceutical Sciences","FirstCategoryId":"1085","ListUrlMain":"https://doi.org/10.4103/RPS.RPS_244_22","RegionNum":0,"RegionCategory":null,"ArticlePicture":[],"TitleCN":null,"AbstractTextCN":null,"PMCID":null,"EPubDate":"","PubModel":"","JCR":"Q3","JCRName":"CHEMISTRY, MEDICINAL","Score":null,"Total":0}
引用次数: 0

摘要

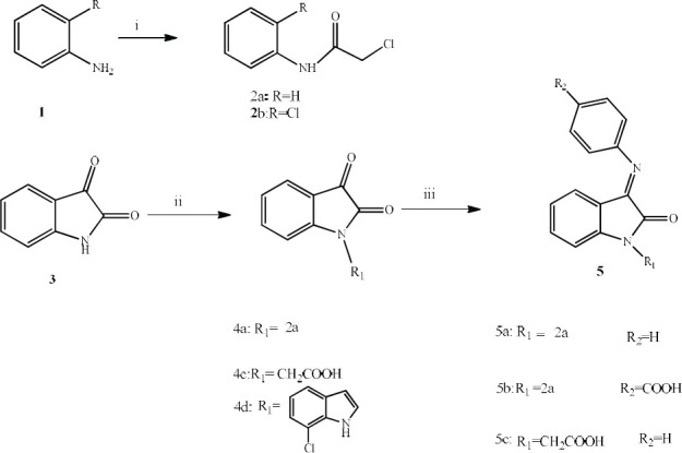
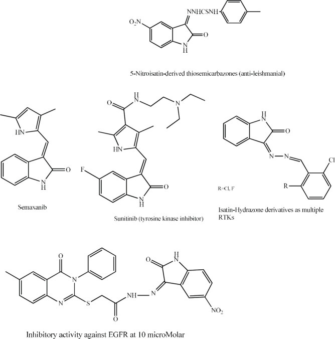
背景和目的:伊沙替尼衍生物因其生物吸引力,尤其是抗癌特性而备受关注。semaxanib和sunitinib等异汀类似物具有酪氨酸激酶抑制特性。据报道,N-取代的伊沙替尼具有细胞毒性活性。另一方面,在第三世界国家有必要推广令人印象深刻且具有成本效益的利什曼病药物。药物化学研究发现,异汀衍生物具有创造新型抗癌和抗利什曼病化合物的能力。本研究旨在合成 N-烷基-isatin-3-亚氨基芳香胺化合物,并评估其生物效应:合成首先由苯胺衍生物与氯乙酰氯反应生成 2-氯-N-苯基乙酰胺衍生物。在 N,N-二甲基甲酰胺中,在 K2CO3 的存在下进行异汀的 N-烷基化反应。通过 N-烷基靛红衍生物与芳香胺的缩合制备出最终产品。采用 MTT 法检测癌细胞的活力。对最终化合物进行了抗利什曼病活性筛选。分子与表皮生长因子受体酪氨酸激酶的活性位点对接,以确定可能的相互作用:化合物 5c 和 4d 的 IC50 值为 50 μΜ,对 MCF-7 细胞系具有细胞毒性活性。化合物 5b 在孵育 48 小时(IC50:59 μΜ)和 72 小时(IC50:41 μΜ)后,对原虫具有抗利什曼病活性。化合物 4d 的最高对接得分为 -7.33 kcal/mol:isatin的N1区域的取代性质似乎能够影响其细胞毒性活性。根据所获得的对接和细胞毒性测试结果,化合物 4d 似乎是一个值得进一步研究的好化合物。
本文章由计算机程序翻译,如有差异,请以英文原文为准。

Molecular docking and synthesis of N-alkyl-isatin-3-imino aromatic amine derivatives and their antileishmanial and cytotoxic activities.

Molecular docking and synthesis of N-alkyl-isatin-3-imino aromatic amine derivatives and their antileishmanial and cytotoxic activities.

Molecular docking and synthesis of N-alkyl-isatin-3-imino aromatic amine derivatives and their antileishmanial and cytotoxic activities.

Molecular docking and synthesis of N-alkyl-isatin-3-imino aromatic amine derivatives and their antileishmanial and cytotoxic activities.

Background and purpose: Isatin derivatives have excited attention due to their biological attractions, especially, anticancer properties. Isatin analogs such as semaxanib and sunitinib were exposed to tyrosine kinase inhibitory properties. N-substituted isatins were reported to show cytotoxic activity. On the other, the extension of impressive and cost-effective agents against leishmaniasis is necessary in third-world countries. The capability of isatin derivatives to create novel anticancer and anti-leishmanial compounds has been identified in medicinal chemistry research. The current study aimed to synthesize N-alkyl-isatin-3-imino aromatic amine compounds and evaluate their biological effects.

Experimental approach: Synthesis started with the formation of 2-chloro-N-phenylacetamide derivatives by the reaction of aniline derivatives with chloroacetyl chloride. N-alkylation of isatin was performed in the presence of K2CO3 in N, N-dimethylformamide. Final products were prepared via the condensation of N-alkyl isatin derivatives with aromatic amines. Cell viability was checked out by using the MTT assay against cancer cells. Final compounds were screened for anti-leishmanial activity. The molecules were docked in the active sites of the epidermal growth factor receptor tyrosine kinase to define the possible interactions.

Findings/results: Compounds 5c and 4d with IC50 value of 50 μΜ showed cytotoxic activity on the MCF-7 cell line. Compound 5b presented anti-leishmanial activity against promastigote form after 48 h (IC50:59 μΜ) and 72 h (IC50: 41 μΜ) incubations. The highest docking score was -7.33 kcal/mol for compound 4d.

Conclusions and implications: The nature of substitution in the N1 region of isatin seems to be able to influence the cytotoxic activity. Based on the obtained results of docking and cytotoxic tests, compound 4d seems to be a good compound for further investigations.

求助全文
通过发布文献求助,成功后即可免费获取论文全文。 去求助
来源期刊
Research in Pharmaceutical Sciences
Research in Pharmaceutical Sciences CHEMISTRY, MEDICINAL-
CiteScore
3.60
自引率
19.00%
发文量
50
审稿时长
34 weeks
期刊介绍: Research in Pharmaceutical Sciences (RPS) is included in Thomson Reuters ESCI Web of Science (searchable at WoS master journal list), indexed with PubMed and PubMed Central and abstracted in the Elsevier Bibliographic Databases. Databases include Scopus, EMBASE, EMCare, EMBiology and Elsevier BIOBASE. It is also indexed in several specialized databases including Scientific Information Database (SID), Google Scholar, Iran Medex, Magiran, Index Copernicus (IC) and Islamic World Science Citation Center (ISC).
×
引用
GB/T 7714-2015
复制
MLA
复制
APA
复制
导出至
BibTeX EndNote RefMan NoteFirst NoteExpress
×
提示
您的信息不完整,为了账户安全,请先补充。
现在去补充
×
提示
您因"违规操作"
具体请查看互助需知
我知道了
×
提示
确定
请完成安全验证×
copy
已复制链接
快去分享给好友吧!
我知道了
右上角分享
点击右上角分享
0
联系我们:info@booksci.cn Book学术提供免费学术资源搜索服务,方便国内外学者检索中英文文献。致力于提供最便捷和优质的服务体验。 Copyright © 2023 布克学术 All rights reserved.
京ICP备2023020795号-1
ghs 京公网安备 11010802042870号
Book学术文献互助
Book学术文献互助群
群 号:604180095
Book学术官方微信