可兴奋心脏组织螺旋波动力学的硅学热控制。

IF 2.7 Q3 BIOPHYSICS
Biophysical reports Pub Date : 2024-09-11 Epub Date: 2024-07-02 DOI:10.1016/j.bpr.2024.100170
Rupamanjari Majumder
{"title":"可兴奋心脏组织螺旋波动力学的硅学热控制。","authors":"Rupamanjari Majumder","doi":"10.1016/j.bpr.2024.100170","DOIUrl":null,"url":null,"abstract":"<p><p>Self-organizing spiral waves of excitation occur in many complex excitable systems. In the heart, for example, they are associated with the occurrence of fatal cardiac arrhythmias such as tachycardia and fibrillation, which can lead to sudden cardiac death. The control of these waves is therefore necessary for the treatment of the disease. In this letter, I present an innovative approach to control cardiac arrhythmias using low (nonfreezing) temperatures. This approach differs from all previous established techniques in that it involves no drugs, no genetic modification, no injection of foreign bodies, no application of voltage shocks (high or low, single or pulsed), and no curative damage to the heart. It relies on regional cooling of cardiac tissue to create a transient inhomogeneity in the electrophysiological properties. This inhomogeneity can then be manipulated to control the dynamics of the reentrant waves. This approach is, to my knowledge, the most sustainable theoretical proposal for the treatment of cardiac arrhythmias in the clinic.</p>","PeriodicalId":72402,"journal":{"name":"Biophysical reports","volume":" ","pages":"100170"},"PeriodicalIF":2.7000,"publicationDate":"2024-09-11","publicationTypes":"Journal Article","fieldsOfStudy":null,"isOpenAccess":false,"openAccessPdf":"https://www.ncbi.nlm.nih.gov/pmc/articles/PMC11304022/pdf/","citationCount":"0","resultStr":"{\"title\":\"In silico thermal control of spiral wave dynamics in excitable cardiac tissue.\",\"authors\":\"Rupamanjari Majumder\",\"doi\":\"10.1016/j.bpr.2024.100170\",\"DOIUrl\":null,\"url\":null,\"abstract\":\"<p><p>Self-organizing spiral waves of excitation occur in many complex excitable systems. In the heart, for example, they are associated with the occurrence of fatal cardiac arrhythmias such as tachycardia and fibrillation, which can lead to sudden cardiac death. The control of these waves is therefore necessary for the treatment of the disease. In this letter, I present an innovative approach to control cardiac arrhythmias using low (nonfreezing) temperatures. This approach differs from all previous established techniques in that it involves no drugs, no genetic modification, no injection of foreign bodies, no application of voltage shocks (high or low, single or pulsed), and no curative damage to the heart. It relies on regional cooling of cardiac tissue to create a transient inhomogeneity in the electrophysiological properties. This inhomogeneity can then be manipulated to control the dynamics of the reentrant waves. This approach is, to my knowledge, the most sustainable theoretical proposal for the treatment of cardiac arrhythmias in the clinic.</p>\",\"PeriodicalId\":72402,\"journal\":{\"name\":\"Biophysical reports\",\"volume\":\" \",\"pages\":\"100170\"},\"PeriodicalIF\":2.7000,\"publicationDate\":\"2024-09-11\",\"publicationTypes\":\"Journal Article\",\"fieldsOfStudy\":null,\"isOpenAccess\":false,\"openAccessPdf\":\"https://www.ncbi.nlm.nih.gov/pmc/articles/PMC11304022/pdf/\",\"citationCount\":\"0\",\"resultStr\":null,\"platform\":\"Semanticscholar\",\"paperid\":null,\"PeriodicalName\":\"Biophysical reports\",\"FirstCategoryId\":\"1085\",\"ListUrlMain\":\"https://doi.org/10.1016/j.bpr.2024.100170\",\"RegionNum\":0,\"RegionCategory\":null,\"ArticlePicture\":[],\"TitleCN\":null,\"AbstractTextCN\":null,\"PMCID\":null,\"EPubDate\":\"2024/7/2 0:00:00\",\"PubModel\":\"Epub\",\"JCR\":\"Q3\",\"JCRName\":\"BIOPHYSICS\",\"Score\":null,\"Total\":0}","platform":"Semanticscholar","paperid":null,"PeriodicalName":"Biophysical reports","FirstCategoryId":"1085","ListUrlMain":"https://doi.org/10.1016/j.bpr.2024.100170","RegionNum":0,"RegionCategory":null,"ArticlePicture":[],"TitleCN":null,"AbstractTextCN":null,"PMCID":null,"EPubDate":"2024/7/2 0:00:00","PubModel":"Epub","JCR":"Q3","JCRName":"BIOPHYSICS","Score":null,"Total":0}
引用次数: 0

摘要

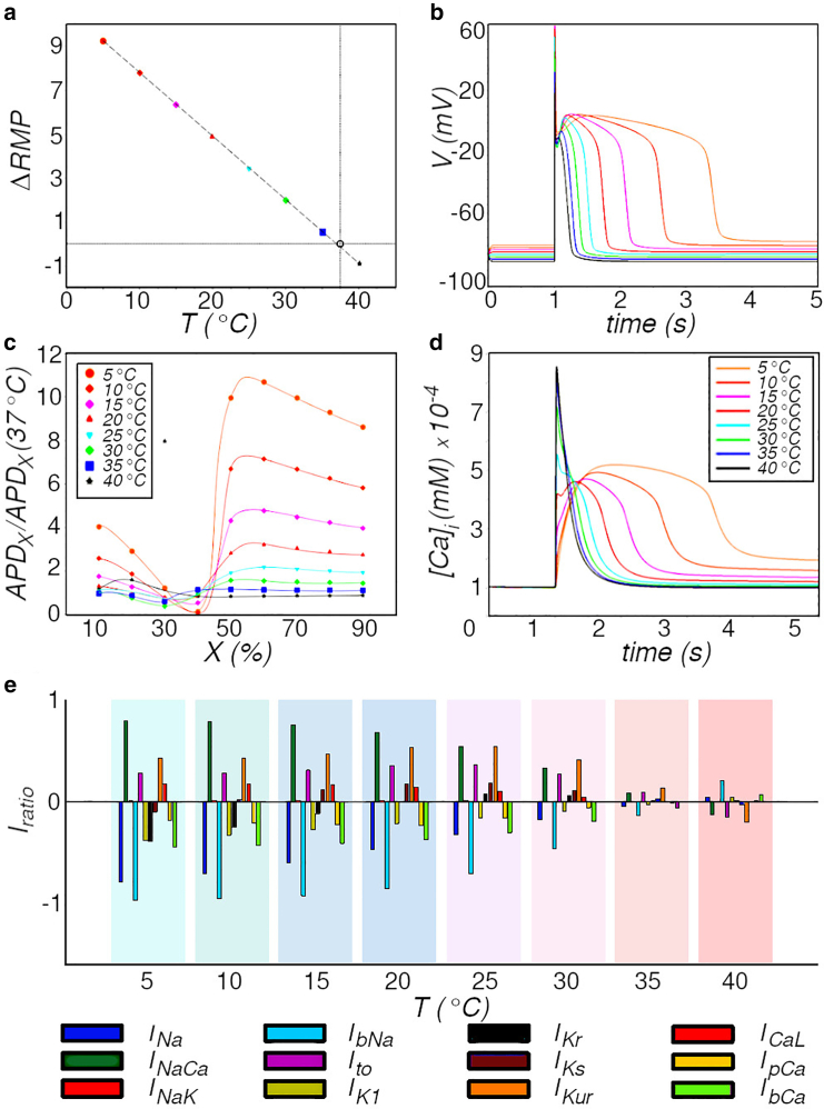
在许多复杂的可兴奋系统中,都会出现自组织螺旋兴奋波。例如,在心脏中,它们与心动过速和心颤等致命性心律失常的发生有关,这些心律失常可导致心脏性猝死。因此,控制这些波对于治疗疾病非常必要。在这封信中,我介绍了一种利用低温(非冰冻)控制心律失常的创新方法。这种方法与以往所有成熟技术的不同之处在于,它不涉及药物、基因改造、异物注射、电压冲击(高或低、单次或脉冲)以及对心脏的治疗性损伤。它依靠对心脏组织的区域性冷却来产生电生理特性的短暂不均匀性。然后,可以操纵这种不均匀性来控制再入波的动态。据我所知,这种方法是临床治疗心律失常的最可持续的理论建议。
本文章由计算机程序翻译,如有差异,请以英文原文为准。

In silico thermal control of spiral wave dynamics in excitable cardiac tissue.

In silico thermal control of spiral wave dynamics in excitable cardiac tissue.

In silico thermal control of spiral wave dynamics in excitable cardiac tissue.

In silico thermal control of spiral wave dynamics in excitable cardiac tissue.

Self-organizing spiral waves of excitation occur in many complex excitable systems. In the heart, for example, they are associated with the occurrence of fatal cardiac arrhythmias such as tachycardia and fibrillation, which can lead to sudden cardiac death. The control of these waves is therefore necessary for the treatment of the disease. In this letter, I present an innovative approach to control cardiac arrhythmias using low (nonfreezing) temperatures. This approach differs from all previous established techniques in that it involves no drugs, no genetic modification, no injection of foreign bodies, no application of voltage shocks (high or low, single or pulsed), and no curative damage to the heart. It relies on regional cooling of cardiac tissue to create a transient inhomogeneity in the electrophysiological properties. This inhomogeneity can then be manipulated to control the dynamics of the reentrant waves. This approach is, to my knowledge, the most sustainable theoretical proposal for the treatment of cardiac arrhythmias in the clinic.

求助全文
通过发布文献求助,成功后即可免费获取论文全文。 去求助
来源期刊
Biophysical reports
Biophysical reports Biophysics
CiteScore
2.40
自引率
0.00%
发文量
0
审稿时长
75 days
×
引用
GB/T 7714-2015
复制
MLA
复制
APA
复制
导出至
BibTeX EndNote RefMan NoteFirst NoteExpress
×
提示
您的信息不完整,为了账户安全,请先补充。
现在去补充
×
提示
您因"违规操作"
具体请查看互助需知
我知道了
×
提示
确定
请完成安全验证×
copy
已复制链接
快去分享给好友吧!
我知道了
右上角分享
点击右上角分享
0
联系我们:info@booksci.cn Book学术提供免费学术资源搜索服务,方便国内外学者检索中英文文献。致力于提供最便捷和优质的服务体验。 Copyright © 2023 布克学术 All rights reserved.
京ICP备2023020795号-1
ghs 京公网安备 11010802042870号
Book学术文献互助
Book学术文献互助群
群 号:604180095
Book学术官方微信