生殖因素及其与中老年妇女身体虚弱和综合虚弱的关系:一项大规模人群研究。

IF 11.1 Q1 OBSTETRICS & GYNECOLOGY
Human reproduction open Pub Date : 2024-06-14 eCollection Date: 2024-01-01 DOI:10.1093/hropen/hoae038
Wenting Hao, Qi Wang, Ruihong Yu, Shiva Raj Mishra, Salim S Virani, Nipun Shrestha, Chunying Fu, Dongshan Zhu
{"title":"生殖因素及其与中老年妇女身体虚弱和综合虚弱的关系:一项大规模人群研究。","authors":"Wenting Hao, Qi Wang, Ruihong Yu, Shiva Raj Mishra, Salim S Virani, Nipun Shrestha, Chunying Fu, Dongshan Zhu","doi":"10.1093/hropen/hoae038","DOIUrl":null,"url":null,"abstract":"<p><strong>Study question: </strong>Are women's reproductive factors associated with physical frailty and comprehensive frailty in middle-age and later life?</p><p><strong>Summary answer: </strong>Early menarche at <13 years, age at menopause <45 years, surgical menopause, experiencing miscarriage and a shorter reproductive period of <35 years were associated with increased odds of frailty, while having two or three children was related to decreased likelihood of frailty.</p><p><strong>What is known already: </strong>Evidence has shown that women are frailer than men in all age groups and across different populations, although women have longer lifespans. Female-specific reproductive factors may be related to risk of frailty in women.</p><p><strong>Study design size duration: </strong>A population-based cross-sectional study involved 189 898 women from the UK Biobank.</p><p><strong>Participants/materials setting methods: </strong>Frailty phenotype and frailty index were used to assess physical frailty and comprehensive frailty (assessed using 38 health indicators for physical and mental wellbeing), respectively. Multivariable logistic regression models were used to estimate odds ratios (ORs) and 95% CI between reproductive factors and likelihood of physical frailty and comprehensive frailty. Restricted cubic spline models were used to test the non-linear associations between them. In addition, we examined the combined effect of categorized age at menopause and menopause hormone therapy (MHT) on frailty.</p><p><strong>Main results and the role of chance: </strong>There was a J-shape relationship between age at menarche, reproductive period, and frailty; age at menarche <13 years and >16 years, and reproductive period <35 years or >40 years were all associated with increased odds of frailty. There was a negative linear relationship between menopausal age (either natural or surgical) and odds of frailty. Surgical menopause was associated with 30% higher odds of physical frailty (1.34, 1.27-1.43) and 30% higher odds of comprehensive frailty (1.30, 1.25-1.35). Having two or three children was linked to the lowest likelihood of physical frailty (0.48, 0.38-0.59) and comprehensive frailty (0.72, 0.64-0.81). Experiencing a miscarriage increased the odds of frailty. MHT use was linked to increased odds of physical frailty in women with normal age at natural menopause (after 45 years), while no elevated likelihood was observed in women with early natural menopause taking MHT.</p><p><strong>Limitations reasons for caution: </strong>The reproductive factors were self-reported and the data might be subject to recall bias. We lacked information on the types and initiation time of MHT, could not identify infertile women who later became pregnant, and the number of infertile women may be underestimated. Individuals participating in the UK Biobank are not representative of the general UK population, limiting the generalization of our findings.</p><p><strong>Wider implication of the findings: </strong>The reproductive factors experienced by women throughout their life course can potentially predict frailty in middle and old age. Identifying these reproductive factors as potential predictors of frailty can inform healthcare providers and policymakers about the importance of considering a woman's reproductive history when assessing their risk for frailty.</p><p><strong>Study funding/competing interests: </strong>This work was supported by the National Key Research and Development Program of China (2022YFC2703800), National Natural Science Foundation of China (82273702), Science Fund Program for Excellent Young Scholars of Shandong Province (Overseas) (2022HWYQ-030), Taishan Scholars Project Special Fund (No. tsqnz20221103), and the Qilu Young Scholar (Tier-1) Program (202099000066). All authors have no conflicts of interest to declare.</p><p><strong>Trial registration number: </strong>N/A.</p>","PeriodicalId":73264,"journal":{"name":"Human reproduction open","volume":"2024 3","pages":"hoae038"},"PeriodicalIF":11.1000,"publicationDate":"2024-06-14","publicationTypes":"Journal Article","fieldsOfStudy":null,"isOpenAccess":false,"openAccessPdf":"https://www.ncbi.nlm.nih.gov/pmc/articles/PMC11211215/pdf/","citationCount":"0","resultStr":"{\"title\":\"Reproductive factors and their association with physical and comprehensive frailty in middle-aged and older women: a large-scale population-based study.\",\"authors\":\"Wenting Hao, Qi Wang, Ruihong Yu, Shiva Raj Mishra, Salim S Virani, Nipun Shrestha, Chunying Fu, Dongshan Zhu\",\"doi\":\"10.1093/hropen/hoae038\",\"DOIUrl\":null,\"url\":null,\"abstract\":\"<p><strong>Study question: </strong>Are women's reproductive factors associated with physical frailty and comprehensive frailty in middle-age and later life?</p><p><strong>Summary answer: </strong>Early menarche at <13 years, age at menopause <45 years, surgical menopause, experiencing miscarriage and a shorter reproductive period of <35 years were associated with increased odds of frailty, while having two or three children was related to decreased likelihood of frailty.</p><p><strong>What is known already: </strong>Evidence has shown that women are frailer than men in all age groups and across different populations, although women have longer lifespans. Female-specific reproductive factors may be related to risk of frailty in women.</p><p><strong>Study design size duration: </strong>A population-based cross-sectional study involved 189 898 women from the UK Biobank.</p><p><strong>Participants/materials setting methods: </strong>Frailty phenotype and frailty index were used to assess physical frailty and comprehensive frailty (assessed using 38 health indicators for physical and mental wellbeing), respectively. Multivariable logistic regression models were used to estimate odds ratios (ORs) and 95% CI between reproductive factors and likelihood of physical frailty and comprehensive frailty. Restricted cubic spline models were used to test the non-linear associations between them. In addition, we examined the combined effect of categorized age at menopause and menopause hormone therapy (MHT) on frailty.</p><p><strong>Main results and the role of chance: </strong>There was a J-shape relationship between age at menarche, reproductive period, and frailty; age at menarche <13 years and >16 years, and reproductive period <35 years or >40 years were all associated with increased odds of frailty. There was a negative linear relationship between menopausal age (either natural or surgical) and odds of frailty. Surgical menopause was associated with 30% higher odds of physical frailty (1.34, 1.27-1.43) and 30% higher odds of comprehensive frailty (1.30, 1.25-1.35). Having two or three children was linked to the lowest likelihood of physical frailty (0.48, 0.38-0.59) and comprehensive frailty (0.72, 0.64-0.81). Experiencing a miscarriage increased the odds of frailty. MHT use was linked to increased odds of physical frailty in women with normal age at natural menopause (after 45 years), while no elevated likelihood was observed in women with early natural menopause taking MHT.</p><p><strong>Limitations reasons for caution: </strong>The reproductive factors were self-reported and the data might be subject to recall bias. We lacked information on the types and initiation time of MHT, could not identify infertile women who later became pregnant, and the number of infertile women may be underestimated. Individuals participating in the UK Biobank are not representative of the general UK population, limiting the generalization of our findings.</p><p><strong>Wider implication of the findings: </strong>The reproductive factors experienced by women throughout their life course can potentially predict frailty in middle and old age. Identifying these reproductive factors as potential predictors of frailty can inform healthcare providers and policymakers about the importance of considering a woman's reproductive history when assessing their risk for frailty.</p><p><strong>Study funding/competing interests: </strong>This work was supported by the National Key Research and Development Program of China (2022YFC2703800), National Natural Science Foundation of China (82273702), Science Fund Program for Excellent Young Scholars of Shandong Province (Overseas) (2022HWYQ-030), Taishan Scholars Project Special Fund (No. tsqnz20221103), and the Qilu Young Scholar (Tier-1) Program (202099000066). All authors have no conflicts of interest to declare.</p><p><strong>Trial registration number: </strong>N/A.</p>\",\"PeriodicalId\":73264,\"journal\":{\"name\":\"Human reproduction open\",\"volume\":\"2024 3\",\"pages\":\"hoae038\"},\"PeriodicalIF\":11.1000,\"publicationDate\":\"2024-06-14\",\"publicationTypes\":\"Journal Article\",\"fieldsOfStudy\":null,\"isOpenAccess\":false,\"openAccessPdf\":\"https://www.ncbi.nlm.nih.gov/pmc/articles/PMC11211215/pdf/\",\"citationCount\":\"0\",\"resultStr\":null,\"platform\":\"Semanticscholar\",\"paperid\":null,\"PeriodicalName\":\"Human reproduction open\",\"FirstCategoryId\":\"1085\",\"ListUrlMain\":\"https://doi.org/10.1093/hropen/hoae038\",\"RegionNum\":0,\"RegionCategory\":null,\"ArticlePicture\":[],\"TitleCN\":null,\"AbstractTextCN\":null,\"PMCID\":null,\"EPubDate\":\"2024/1/1 0:00:00\",\"PubModel\":\"eCollection\",\"JCR\":\"Q1\",\"JCRName\":\"OBSTETRICS & GYNECOLOGY\",\"Score\":null,\"Total\":0}","platform":"Semanticscholar","paperid":null,"PeriodicalName":"Human reproduction open","FirstCategoryId":"1085","ListUrlMain":"https://doi.org/10.1093/hropen/hoae038","RegionNum":0,"RegionCategory":null,"ArticlePicture":[],"TitleCN":null,"AbstractTextCN":null,"PMCID":null,"EPubDate":"2024/1/1 0:00:00","PubModel":"eCollection","JCR":"Q1","JCRName":"OBSTETRICS & GYNECOLOGY","Score":null,"Total":0}
引用次数: 0

摘要

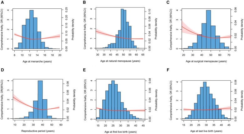
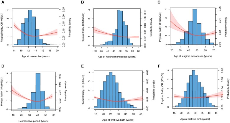
研究问题妇女的生殖因素是否与中年和晚年的身体虚弱和综合虚弱有关?月经初潮过早 已知情况:有证据表明,在所有年龄组和不同人群中,女性都比男性更虚弱,尽管女性的寿命更长。女性特有的生殖因素可能与女性体弱的风险有关:这是一项基于人群的横断面研究,涉及英国生物库中的 189 898 名女性:孱弱表型和孱弱指数分别用于评估身体孱弱和综合孱弱(使用38个身体和精神健康指标进行评估)。多变量逻辑回归模型用于估算生殖因素与身体虚弱和综合虚弱可能性之间的几率比(ORs)和 95% CI。限制立方样条模型用于检验它们之间的非线性关联。此外,我们还研究了绝经年龄分类和绝经激素治疗(MHT)对虚弱的综合影响:月经初潮年龄、生育期与虚弱之间呈 J 型关系;月经初潮年龄 16 岁、生育期 40 年均与虚弱几率增加有关。绝经年龄(自然绝经或手术绝经)与虚弱几率之间呈负线性关系。手术绝经导致身体虚弱的几率增加 30%(1.34,1.27-1.43),综合虚弱的几率增加 30%(1.30,1.25-1.35)。有两个或三个孩子与身体虚弱(0.48,0.38-0.59)和综合虚弱(0.72,0.64-0.81)的最低可能性有关。流产会增加身体虚弱的几率。在自然绝经年龄正常(45岁以后)的妇女中,使用MHT会增加身体虚弱的几率,而在自然绝经较早服用MHT的妇女中,没有观察到身体虚弱几率升高:生殖因素是自我报告的,数据可能存在回忆偏差。我们缺乏关于MHT的类型和开始时间的信息,无法识别后来怀孕的不孕妇女,不孕妇女的人数可能被低估。参与英国生物数据库的个体并不代表英国的总体人口,这限制了我们研究结果的普遍性:研究结果的广泛意义:女性在整个生命过程中所经历的生殖因素有可能预测中老年的体弱情况。将这些生殖因素确定为体弱的潜在预测因素,可以让医疗服务提供者和政策制定者了解在评估妇女的体弱风险时考虑其生殖史的重要性:本研究得到了国家重点研发计划(2022YFC2703800)、国家自然科学基金(82273702)、山东省优秀青年学者(海外)科学基金项目(2022HWYQ-030)、泰山学者项目专项基金(编号:tsqnz20221103)和齐鲁青年学者(第一层次)计划(202099000066)的资助。所有作者均无利益冲突:N/A.
本文章由计算机程序翻译,如有差异,请以英文原文为准。

Reproductive factors and their association with physical and comprehensive frailty in middle-aged and older women: a large-scale population-based study.

Reproductive factors and their association with physical and comprehensive frailty in middle-aged and older women: a large-scale population-based study.

Reproductive factors and their association with physical and comprehensive frailty in middle-aged and older women: a large-scale population-based study.

Reproductive factors and their association with physical and comprehensive frailty in middle-aged and older women: a large-scale population-based study.

Study question: Are women's reproductive factors associated with physical frailty and comprehensive frailty in middle-age and later life?

Summary answer: Early menarche at <13 years, age at menopause <45 years, surgical menopause, experiencing miscarriage and a shorter reproductive period of <35 years were associated with increased odds of frailty, while having two or three children was related to decreased likelihood of frailty.

What is known already: Evidence has shown that women are frailer than men in all age groups and across different populations, although women have longer lifespans. Female-specific reproductive factors may be related to risk of frailty in women.

Study design size duration: A population-based cross-sectional study involved 189 898 women from the UK Biobank.

Participants/materials setting methods: Frailty phenotype and frailty index were used to assess physical frailty and comprehensive frailty (assessed using 38 health indicators for physical and mental wellbeing), respectively. Multivariable logistic regression models were used to estimate odds ratios (ORs) and 95% CI between reproductive factors and likelihood of physical frailty and comprehensive frailty. Restricted cubic spline models were used to test the non-linear associations between them. In addition, we examined the combined effect of categorized age at menopause and menopause hormone therapy (MHT) on frailty.

Main results and the role of chance: There was a J-shape relationship between age at menarche, reproductive period, and frailty; age at menarche <13 years and >16 years, and reproductive period <35 years or >40 years were all associated with increased odds of frailty. There was a negative linear relationship between menopausal age (either natural or surgical) and odds of frailty. Surgical menopause was associated with 30% higher odds of physical frailty (1.34, 1.27-1.43) and 30% higher odds of comprehensive frailty (1.30, 1.25-1.35). Having two or three children was linked to the lowest likelihood of physical frailty (0.48, 0.38-0.59) and comprehensive frailty (0.72, 0.64-0.81). Experiencing a miscarriage increased the odds of frailty. MHT use was linked to increased odds of physical frailty in women with normal age at natural menopause (after 45 years), while no elevated likelihood was observed in women with early natural menopause taking MHT.

Limitations reasons for caution: The reproductive factors were self-reported and the data might be subject to recall bias. We lacked information on the types and initiation time of MHT, could not identify infertile women who later became pregnant, and the number of infertile women may be underestimated. Individuals participating in the UK Biobank are not representative of the general UK population, limiting the generalization of our findings.

Wider implication of the findings: The reproductive factors experienced by women throughout their life course can potentially predict frailty in middle and old age. Identifying these reproductive factors as potential predictors of frailty can inform healthcare providers and policymakers about the importance of considering a woman's reproductive history when assessing their risk for frailty.

Study funding/competing interests: This work was supported by the National Key Research and Development Program of China (2022YFC2703800), National Natural Science Foundation of China (82273702), Science Fund Program for Excellent Young Scholars of Shandong Province (Overseas) (2022HWYQ-030), Taishan Scholars Project Special Fund (No. tsqnz20221103), and the Qilu Young Scholar (Tier-1) Program (202099000066). All authors have no conflicts of interest to declare.

Trial registration number: N/A.

求助全文
通过发布文献求助,成功后即可免费获取论文全文。 去求助
来源期刊
CiteScore
15.50
自引率
0.00%
发文量
0
审稿时长
12 weeks
×
引用
GB/T 7714-2015
复制
MLA
复制
APA
复制
导出至
BibTeX EndNote RefMan NoteFirst NoteExpress
×
提示
您的信息不完整,为了账户安全,请先补充。
现在去补充
×
提示
您因"违规操作"
具体请查看互助需知
我知道了
×
提示
确定
请完成安全验证×
copy
已复制链接
快去分享给好友吧!
我知道了
右上角分享
点击右上角分享
0
联系我们:info@booksci.cn Book学术提供免费学术资源搜索服务,方便国内外学者检索中英文文献。致力于提供最便捷和优质的服务体验。 Copyright © 2023 布克学术 All rights reserved.
京ICP备2023020795号-1
ghs 京公网安备 11010802042870号
Book学术文献互助
Book学术文献互助群
群 号:604180095
Book学术官方微信