ELP 协议:缓解抗 CD38 干扰的独创方法。

IF 2.3 3区 医学 Q2 HEMATOLOGY
Blood Transfusion Pub Date : 2025-05-01 Epub Date: 2024-06-26 DOI:10.2450/BloodTransfus.779
Erica Maiorana, Maria Bortolati, Steluta Croitoru, Gledis Llanaj, Cinzia Ongaro, Eva Polga, Melissa Salvo, Alessandra Sandini, Krizia Succoli, Tiziana Tortomasi, Giacomina Vicino, Francesco Fiorin
{"title":"ELP 协议:缓解抗 CD38 干扰的独创方法。","authors":"Erica Maiorana, Maria Bortolati, Steluta Croitoru, Gledis Llanaj, Cinzia Ongaro, Eva Polga, Melissa Salvo, Alessandra Sandini, Krizia Succoli, Tiziana Tortomasi, Giacomina Vicino, Francesco Fiorin","doi":"10.2450/BloodTransfus.779","DOIUrl":null,"url":null,"abstract":"<p><strong>Background: </strong>Transfusion medicine is facing new challenges from therapies which interfere with pre-transfusional tests, such as monoclonal antibodies targeting blood-cell antigens. Anti-CD38 monoclonal antibodies, widely used to treat multiple myeloma, cause panreactivity of indirect antiglobulin test; this can be resolved by treating cells with dithiothreitol to disrupt the CD38 disulphide bonds expressed on red blood cell surfaces. Interference mitigation strategy with dithiothreitol, however, has some drawbacks: it entails losing the traceability of results and the denaturation of blood group systems sensitive to reducing agents; it takes time to perform and quality controls are lost.</p><p><strong>Materials and methods: </strong>Panels were treated with 0.2 mol/L dithiothreitol and stored for 30 days with a commercial preservative solution. On day 30, we measured the hemolysis indices and ability to eliminate daratumumab and isatuximab interference in the treated cells using indirect antiglobulin test. We also tested the stability of erythrocyte antigenic structure by screening 42 samples with known antibodies; tests were repeated on day 1, 7, 15 and 30. All indirect antiglobulin testing was performed on gel card.</p><p><strong>Results: </strong>After 30 days from treatment, panels preserved in preservative solution showed hemolysis indices comparable to untreated panels: all cases of interference by anti-CD38 in pre-transfusional tests were successfully mitigated. All antibodies were detected after 30 days, except for KEL system antibodies, as expected, although there was a detectability of anti-Kell antibodies in high titer samples (the first detection in dithiothreitol-treated cells since 1983).</p><p><strong>Discussion: </strong>We propose the Extended Lifetime Protocol; a simple card-based method which is cheap and traceable, that combines the strengths of anti-CD38 mitigation strategies. It makes it possible to treat and store, at the same time, a sufficient volume of red blood cells, that can be used for the following 30 days, to avoid any delay in transfusional requests.</p>","PeriodicalId":49260,"journal":{"name":"Blood Transfusion","volume":" ","pages":"203-211"},"PeriodicalIF":2.3000,"publicationDate":"2025-05-01","publicationTypes":"Journal Article","fieldsOfStudy":null,"isOpenAccess":false,"openAccessPdf":"https://www.ncbi.nlm.nih.gov/pmc/articles/PMC12108082/pdf/","citationCount":"0","resultStr":"{\"title\":\"ELP protocol: an original approach for the mitigation of anti-CD38 interference.\",\"authors\":\"Erica Maiorana, Maria Bortolati, Steluta Croitoru, Gledis Llanaj, Cinzia Ongaro, Eva Polga, Melissa Salvo, Alessandra Sandini, Krizia Succoli, Tiziana Tortomasi, Giacomina Vicino, Francesco Fiorin\",\"doi\":\"10.2450/BloodTransfus.779\",\"DOIUrl\":null,\"url\":null,\"abstract\":\"<p><strong>Background: </strong>Transfusion medicine is facing new challenges from therapies which interfere with pre-transfusional tests, such as monoclonal antibodies targeting blood-cell antigens. Anti-CD38 monoclonal antibodies, widely used to treat multiple myeloma, cause panreactivity of indirect antiglobulin test; this can be resolved by treating cells with dithiothreitol to disrupt the CD38 disulphide bonds expressed on red blood cell surfaces. Interference mitigation strategy with dithiothreitol, however, has some drawbacks: it entails losing the traceability of results and the denaturation of blood group systems sensitive to reducing agents; it takes time to perform and quality controls are lost.</p><p><strong>Materials and methods: </strong>Panels were treated with 0.2 mol/L dithiothreitol and stored for 30 days with a commercial preservative solution. On day 30, we measured the hemolysis indices and ability to eliminate daratumumab and isatuximab interference in the treated cells using indirect antiglobulin test. We also tested the stability of erythrocyte antigenic structure by screening 42 samples with known antibodies; tests were repeated on day 1, 7, 15 and 30. All indirect antiglobulin testing was performed on gel card.</p><p><strong>Results: </strong>After 30 days from treatment, panels preserved in preservative solution showed hemolysis indices comparable to untreated panels: all cases of interference by anti-CD38 in pre-transfusional tests were successfully mitigated. All antibodies were detected after 30 days, except for KEL system antibodies, as expected, although there was a detectability of anti-Kell antibodies in high titer samples (the first detection in dithiothreitol-treated cells since 1983).</p><p><strong>Discussion: </strong>We propose the Extended Lifetime Protocol; a simple card-based method which is cheap and traceable, that combines the strengths of anti-CD38 mitigation strategies. It makes it possible to treat and store, at the same time, a sufficient volume of red blood cells, that can be used for the following 30 days, to avoid any delay in transfusional requests.</p>\",\"PeriodicalId\":49260,\"journal\":{\"name\":\"Blood Transfusion\",\"volume\":\" \",\"pages\":\"203-211\"},\"PeriodicalIF\":2.3000,\"publicationDate\":\"2025-05-01\",\"publicationTypes\":\"Journal Article\",\"fieldsOfStudy\":null,\"isOpenAccess\":false,\"openAccessPdf\":\"https://www.ncbi.nlm.nih.gov/pmc/articles/PMC12108082/pdf/\",\"citationCount\":\"0\",\"resultStr\":null,\"platform\":\"Semanticscholar\",\"paperid\":null,\"PeriodicalName\":\"Blood Transfusion\",\"FirstCategoryId\":\"3\",\"ListUrlMain\":\"https://doi.org/10.2450/BloodTransfus.779\",\"RegionNum\":3,\"RegionCategory\":\"医学\",\"ArticlePicture\":[],\"TitleCN\":null,\"AbstractTextCN\":null,\"PMCID\":null,\"EPubDate\":\"2024/6/26 0:00:00\",\"PubModel\":\"Epub\",\"JCR\":\"Q2\",\"JCRName\":\"HEMATOLOGY\",\"Score\":null,\"Total\":0}","platform":"Semanticscholar","paperid":null,"PeriodicalName":"Blood Transfusion","FirstCategoryId":"3","ListUrlMain":"https://doi.org/10.2450/BloodTransfus.779","RegionNum":3,"RegionCategory":"医学","ArticlePicture":[],"TitleCN":null,"AbstractTextCN":null,"PMCID":null,"EPubDate":"2024/6/26 0:00:00","PubModel":"Epub","JCR":"Q2","JCRName":"HEMATOLOGY","Score":null,"Total":0}
引用次数: 0

摘要

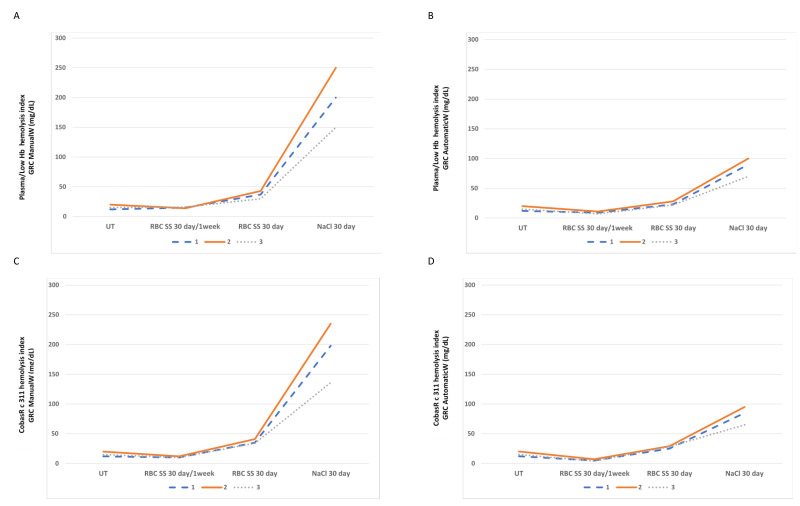
背景:输血医学正面临着来自干扰输血前检测的疗法(如针对血细胞抗原的单克隆抗体)的新挑战。广泛用于治疗多发性骨髓瘤的抗 CD38 单克隆抗体会导致间接抗球蛋白检测的泛反应性;用二硫苏糖醇处理细胞,破坏红细胞表面表达的 CD38 二硫键,可以解决这一问题。不过,用二硫苏糖醇减轻干扰的策略也有一些缺点:它会使结果失去可追溯性,并使对还原剂敏感的血型系统发生变性;它需要时间来完成,而且会失去质量控制:用 0.2 摩尔/升的二硫苏糖醇处理切片,并用商用防腐剂溶液保存 30 天。第 30 天时,我们使用间接抗球蛋白试验测量了溶血指数以及消除达拉曲单抗和伊沙妥昔单抗对处理细胞干扰的能力。我们还用已知抗体筛选了 42 份样本,以测试红细胞抗原结构的稳定性;测试在第 1、7、15 和 30 天重复进行。所有间接抗球蛋白检测均在凝胶卡上进行:处理 30 天后,在防腐剂溶液中保存的样本溶血指数与未处理的样本溶血指数相当:所有在输血前检测中受抗 CD38 干扰的情况都得到了成功缓解。尽管在高滴度样本中可以检测到抗 Kell 抗体(自 1983 年以来首次在经二硫苏糖醇处理的细胞中检测到),但所有抗体在 30 天后均可检测到,KEL 系统抗体除外:我们提出了 "延长寿命方案",这是一种基于卡片的简单方法,既便宜又可追溯,结合了抗 CD38 缓解策略的优势。它可以同时处理和储存足够数量的红细胞,供接下来的 30 天使用,从而避免输血请求的延误。
本文章由计算机程序翻译,如有差异,请以英文原文为准。

ELP protocol: an original approach for the mitigation of anti-CD38 interference.

ELP protocol: an original approach for the mitigation of anti-CD38 interference.

ELP protocol: an original approach for the mitigation of anti-CD38 interference.

Background: Transfusion medicine is facing new challenges from therapies which interfere with pre-transfusional tests, such as monoclonal antibodies targeting blood-cell antigens. Anti-CD38 monoclonal antibodies, widely used to treat multiple myeloma, cause panreactivity of indirect antiglobulin test; this can be resolved by treating cells with dithiothreitol to disrupt the CD38 disulphide bonds expressed on red blood cell surfaces. Interference mitigation strategy with dithiothreitol, however, has some drawbacks: it entails losing the traceability of results and the denaturation of blood group systems sensitive to reducing agents; it takes time to perform and quality controls are lost.

Materials and methods: Panels were treated with 0.2 mol/L dithiothreitol and stored for 30 days with a commercial preservative solution. On day 30, we measured the hemolysis indices and ability to eliminate daratumumab and isatuximab interference in the treated cells using indirect antiglobulin test. We also tested the stability of erythrocyte antigenic structure by screening 42 samples with known antibodies; tests were repeated on day 1, 7, 15 and 30. All indirect antiglobulin testing was performed on gel card.

Results: After 30 days from treatment, panels preserved in preservative solution showed hemolysis indices comparable to untreated panels: all cases of interference by anti-CD38 in pre-transfusional tests were successfully mitigated. All antibodies were detected after 30 days, except for KEL system antibodies, as expected, although there was a detectability of anti-Kell antibodies in high titer samples (the first detection in dithiothreitol-treated cells since 1983).

Discussion: We propose the Extended Lifetime Protocol; a simple card-based method which is cheap and traceable, that combines the strengths of anti-CD38 mitigation strategies. It makes it possible to treat and store, at the same time, a sufficient volume of red blood cells, that can be used for the following 30 days, to avoid any delay in transfusional requests.

求助全文
通过发布文献求助,成功后即可免费获取论文全文。 去求助
来源期刊
Blood Transfusion
Blood Transfusion HEMATOLOGY-
CiteScore
6.10
自引率
2.70%
发文量
91
审稿时长
2 months
期刊介绍: Blood Transfusion welcomes international submissions of Original Articles, Review Articles, Case Reports and Letters on all the fields related to Transfusion Medicine.
×
引用
GB/T 7714-2015
复制
MLA
复制
APA
复制
导出至
BibTeX EndNote RefMan NoteFirst NoteExpress
×
提示
您的信息不完整,为了账户安全,请先补充。
现在去补充
×
提示
您因"违规操作"
具体请查看互助需知
我知道了
×
提示
确定
请完成安全验证×
copy
已复制链接
快去分享给好友吧!
我知道了
右上角分享
点击右上角分享
0
联系我们:info@booksci.cn Book学术提供免费学术资源搜索服务,方便国内外学者检索中英文文献。致力于提供最便捷和优质的服务体验。 Copyright © 2023 布克学术 All rights reserved.
京ICP备2023020795号-1
ghs 京公网安备 11010802042870号
Book学术文献互助
Book学术文献互助群
群 号:604180095
Book学术官方微信