从Pistacia chinensis 中分离的 3',4',7,8-四羟基-3-甲氧基黄酮的体内镇痛、抗炎、镇静和肌肉松弛活性及对接研究。

IF 2.5 Q3 PHARMACOLOGY & PHARMACY
Drug Target Insights Pub Date : 2024-06-18 eCollection Date: 2024-01-01 DOI:10.33393/dti.2024.2745
Abdur Rauf, Umer Rashid, Najla Al Masoud, Zuneera Akram, Anees Saeed, Naveed Muhammad, Taghrid S Alomar, Saima Naz, Marcello Iriti
{"title":"从Pistacia chinensis 中分离的 3',4',7,8-四羟基-3-甲氧基黄酮的体内镇痛、抗炎、镇静和肌肉松弛活性及对接研究。","authors":"Abdur Rauf, Umer Rashid, Najla Al Masoud, Zuneera Akram, Anees Saeed, Naveed Muhammad, Taghrid S Alomar, Saima Naz, Marcello Iriti","doi":"10.33393/dti.2024.2745","DOIUrl":null,"url":null,"abstract":"<p><strong>Background: </strong><i>Pistacia chinensis</i> is extensively employed in traditional medicine. This study aimed to isolate and evaluate the therapeutic effects of 3'4'78-tetrahydroxy-3-methoxyflavone from <i>P. chinensis</i> crude extract.</p><p><strong>Materials and methods: </strong>The study utilized column chromatography for isolation. The plant extract and its isolated compound were assessed for in vivo analgesic (hot plate model), anti-inflammatory (carrageenan-induced paw edema), sedative (open field model), and muscle relaxing properties (inclined plane and traction test).</p><p><strong>Results: </strong>In the thermal-induced analgesic model, a significant analgesic effect was observed for the extract (25, 50, and 100 mg/kg) and the isolated compound (2.5, 5, 10, and 15 mg/kg) at higher doses. The extract (100 mg/kg) significantly prolonged latency time (21.98 seconds) after 120 minutes of administration. The isolated compound elevated the latency time (20.03 seconds) after 30 minutes, remaining significant up to 120 minutes with a latency time of 24.11 seconds. The anti-inflammatory effect showed a reduction in inflammatory reactions by 50.23% (extract) and 67.09% (compound) after the fifth hour of treatment. Both samples demonstrated significant sedative effects, with the extract hindering movement by 54.11 lines crossed compared to the negative control (180.99 lines). The isolated compound reduced the number of lines crossed to 15.23±SEM compared to the negative control. Both samples were also significant muscle relaxants. Docking studies indicated that the compound's therapeutic effect is due to inhibiting COX and nociceptive pathways.</p><p><strong>Conclusion: </strong>The isolated compound from <i>Pistacia chinensis</i> exhibits significant analgesic, anti-inflammatory, sedative, and muscle relaxing properties, with potential therapeutic applications by inhibiting COX and nociceptive pathways.</p>","PeriodicalId":11326,"journal":{"name":"Drug Target Insights","volume":"18 ","pages":"47-53"},"PeriodicalIF":2.5000,"publicationDate":"2024-06-18","publicationTypes":"Journal Article","fieldsOfStudy":null,"isOpenAccess":false,"openAccessPdf":"https://www.ncbi.nlm.nih.gov/pmc/articles/PMC11188735/pdf/","citationCount":"0","resultStr":"{\"title\":\"In vivo analgesic, anti-inflammatory, sedative, muscle relaxant activities, and docking studies of 3',4',7,8-tetrahydroxy-3-methoxyflavone isolated from <i>Pistacia chinensis</i>.\",\"authors\":\"Abdur Rauf, Umer Rashid, Najla Al Masoud, Zuneera Akram, Anees Saeed, Naveed Muhammad, Taghrid S Alomar, Saima Naz, Marcello Iriti\",\"doi\":\"10.33393/dti.2024.2745\",\"DOIUrl\":null,\"url\":null,\"abstract\":\"<p><strong>Background: </strong><i>Pistacia chinensis</i> is extensively employed in traditional medicine. This study aimed to isolate and evaluate the therapeutic effects of 3'4'78-tetrahydroxy-3-methoxyflavone from <i>P. chinensis</i> crude extract.</p><p><strong>Materials and methods: </strong>The study utilized column chromatography for isolation. The plant extract and its isolated compound were assessed for in vivo analgesic (hot plate model), anti-inflammatory (carrageenan-induced paw edema), sedative (open field model), and muscle relaxing properties (inclined plane and traction test).</p><p><strong>Results: </strong>In the thermal-induced analgesic model, a significant analgesic effect was observed for the extract (25, 50, and 100 mg/kg) and the isolated compound (2.5, 5, 10, and 15 mg/kg) at higher doses. The extract (100 mg/kg) significantly prolonged latency time (21.98 seconds) after 120 minutes of administration. The isolated compound elevated the latency time (20.03 seconds) after 30 minutes, remaining significant up to 120 minutes with a latency time of 24.11 seconds. The anti-inflammatory effect showed a reduction in inflammatory reactions by 50.23% (extract) and 67.09% (compound) after the fifth hour of treatment. Both samples demonstrated significant sedative effects, with the extract hindering movement by 54.11 lines crossed compared to the negative control (180.99 lines). The isolated compound reduced the number of lines crossed to 15.23±SEM compared to the negative control. Both samples were also significant muscle relaxants. Docking studies indicated that the compound's therapeutic effect is due to inhibiting COX and nociceptive pathways.</p><p><strong>Conclusion: </strong>The isolated compound from <i>Pistacia chinensis</i> exhibits significant analgesic, anti-inflammatory, sedative, and muscle relaxing properties, with potential therapeutic applications by inhibiting COX and nociceptive pathways.</p>\",\"PeriodicalId\":11326,\"journal\":{\"name\":\"Drug Target Insights\",\"volume\":\"18 \",\"pages\":\"47-53\"},\"PeriodicalIF\":2.5000,\"publicationDate\":\"2024-06-18\",\"publicationTypes\":\"Journal Article\",\"fieldsOfStudy\":null,\"isOpenAccess\":false,\"openAccessPdf\":\"https://www.ncbi.nlm.nih.gov/pmc/articles/PMC11188735/pdf/\",\"citationCount\":\"0\",\"resultStr\":null,\"platform\":\"Semanticscholar\",\"paperid\":null,\"PeriodicalName\":\"Drug Target Insights\",\"FirstCategoryId\":\"1085\",\"ListUrlMain\":\"https://doi.org/10.33393/dti.2024.2745\",\"RegionNum\":0,\"RegionCategory\":null,\"ArticlePicture\":[],\"TitleCN\":null,\"AbstractTextCN\":null,\"PMCID\":null,\"EPubDate\":\"2024/1/1 0:00:00\",\"PubModel\":\"eCollection\",\"JCR\":\"Q3\",\"JCRName\":\"PHARMACOLOGY & PHARMACY\",\"Score\":null,\"Total\":0}","platform":"Semanticscholar","paperid":null,"PeriodicalName":"Drug Target Insights","FirstCategoryId":"1085","ListUrlMain":"https://doi.org/10.33393/dti.2024.2745","RegionNum":0,"RegionCategory":null,"ArticlePicture":[],"TitleCN":null,"AbstractTextCN":null,"PMCID":null,"EPubDate":"2024/1/1 0:00:00","PubModel":"eCollection","JCR":"Q3","JCRName":"PHARMACOLOGY & PHARMACY","Score":null,"Total":0}
引用次数: 0

摘要

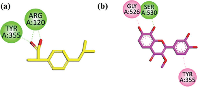
背景:Pistacia chinensis被广泛应用于传统医学中。本研究旨在从楷属粗提取物中分离并评估 3'4'78- 四羟基-3-甲氧基黄酮的治疗效果:研究采用柱层析法进行分离。材料和方法:研究采用柱层析法分离了植物提取物及其分离化合物,并对其体内镇痛(热板模型)、抗炎(角叉菜胶诱导的爪水肿)、镇静(开放场地模型)和肌肉松弛特性(斜面和牵引试验)进行了评估:在热诱导镇痛模型中,提取物(25、50 和 100 毫克/千克)和分离化合物(2.5、5、10 和 15 毫克/千克)在较高剂量下具有显著的镇痛效果。给药 120 分钟后,提取物(100 毫克/千克)明显延长了潜伏时间(21.98 秒)。分离出的化合物在 30 分钟后延长了潜伏时间(20.03 秒),在 120 分钟后仍有明显延长,潜伏时间为 24.11 秒。抗炎效果显示,治疗第五小时后,炎症反应减少了 50.23%(提取物)和 67.09%(化合物)。两种样品都表现出明显的镇静效果,与阴性对照组(180.99 条)相比,提取物阻碍运动的条数减少了 54.11 条。与阴性对照组(180.99 条横线)相比,分离化合物将横线数减少到 15.23±SEM。两种样品也都具有明显的肌肉松弛作用。Docking 研究表明,该化合物的治疗效果是由于抑制了 COX 和痛觉通路:从Pistacia chinensis 中分离出的化合物具有明显的镇痛、抗炎、镇静和肌肉松弛特性,通过抑制 COX 和痛觉通路具有潜在的治疗应用价值。
本文章由计算机程序翻译,如有差异,请以英文原文为准。

In vivo analgesic, anti-inflammatory, sedative, muscle relaxant activities, and docking studies of 3',4',7,8-tetrahydroxy-3-methoxyflavone isolated from <i>Pistacia chinensis</i>.

In vivo analgesic, anti-inflammatory, sedative, muscle relaxant activities, and docking studies of 3',4',7,8-tetrahydroxy-3-methoxyflavone isolated from <i>Pistacia chinensis</i>.

In vivo analgesic, anti-inflammatory, sedative, muscle relaxant activities, and docking studies of 3',4',7,8-tetrahydroxy-3-methoxyflavone isolated from <i>Pistacia chinensis</i>.

In vivo analgesic, anti-inflammatory, sedative, muscle relaxant activities, and docking studies of 3',4',7,8-tetrahydroxy-3-methoxyflavone isolated from Pistacia chinensis.

Background: Pistacia chinensis is extensively employed in traditional medicine. This study aimed to isolate and evaluate the therapeutic effects of 3'4'78-tetrahydroxy-3-methoxyflavone from P. chinensis crude extract.

Materials and methods: The study utilized column chromatography for isolation. The plant extract and its isolated compound were assessed for in vivo analgesic (hot plate model), anti-inflammatory (carrageenan-induced paw edema), sedative (open field model), and muscle relaxing properties (inclined plane and traction test).

Results: In the thermal-induced analgesic model, a significant analgesic effect was observed for the extract (25, 50, and 100 mg/kg) and the isolated compound (2.5, 5, 10, and 15 mg/kg) at higher doses. The extract (100 mg/kg) significantly prolonged latency time (21.98 seconds) after 120 minutes of administration. The isolated compound elevated the latency time (20.03 seconds) after 30 minutes, remaining significant up to 120 minutes with a latency time of 24.11 seconds. The anti-inflammatory effect showed a reduction in inflammatory reactions by 50.23% (extract) and 67.09% (compound) after the fifth hour of treatment. Both samples demonstrated significant sedative effects, with the extract hindering movement by 54.11 lines crossed compared to the negative control (180.99 lines). The isolated compound reduced the number of lines crossed to 15.23±SEM compared to the negative control. Both samples were also significant muscle relaxants. Docking studies indicated that the compound's therapeutic effect is due to inhibiting COX and nociceptive pathways.

Conclusion: The isolated compound from Pistacia chinensis exhibits significant analgesic, anti-inflammatory, sedative, and muscle relaxing properties, with potential therapeutic applications by inhibiting COX and nociceptive pathways.

求助全文
通过发布文献求助,成功后即可免费获取论文全文。 去求助
来源期刊
Drug Target Insights
Drug Target Insights PHARMACOLOGY & PHARMACY-
CiteScore
2.70
自引率
0.00%
发文量
5
审稿时长
8 weeks
×
引用
GB/T 7714-2015
复制
MLA
复制
APA
复制
导出至
BibTeX EndNote RefMan NoteFirst NoteExpress
×
提示
您的信息不完整,为了账户安全,请先补充。
现在去补充
×
提示
您因"违规操作"
具体请查看互助需知
我知道了
×
提示
确定
请完成安全验证×
copy
已复制链接
快去分享给好友吧!
我知道了
右上角分享
点击右上角分享
0
联系我们:info@booksci.cn Book学术提供免费学术资源搜索服务,方便国内外学者检索中英文文献。致力于提供最便捷和优质的服务体验。 Copyright © 2023 布克学术 All rights reserved.
京ICP备2023020795号-1
ghs 京公网安备 11010802042870号
Book学术文献互助
Book学术文献互助群
群 号:604180095
Book学术官方微信