用于心脏手术风险预测的机器学习模型的性能漂移:回顾性分析

JMIRx med Pub Date : 2024-06-12 DOI:10.2196/45973
Tim Dong, Shubhra Sinha, Ben Zhai, Daniel Fudulu, Jeremy Chan, Pradeep Narayan, Andy Judge, Massimo Caputo, Arnaldo Dimagli, Umberto Benedetto, Gianni D Angelini
{"title":"用于心脏手术风险预测的机器学习模型的性能漂移:回顾性分析","authors":"Tim Dong, Shubhra Sinha, Ben Zhai, Daniel Fudulu, Jeremy Chan, Pradeep Narayan, Andy Judge, Massimo Caputo, Arnaldo Dimagli, Umberto Benedetto, Gianni D Angelini","doi":"10.2196/45973","DOIUrl":null,"url":null,"abstract":"<p><strong>Background: </strong>The Society of Thoracic Surgeons and European System for Cardiac Operative Risk Evaluation (EuroSCORE) II risk scores are the most commonly used risk prediction models for in-hospital mortality after adult cardiac surgery. However, they are prone to miscalibration over time and poor generalization across data sets; thus, their use remains controversial. Despite increased interest, a gap in understanding the effect of data set drift on the performance of machine learning (ML) over time remains a barrier to its wider use in clinical practice. Data set drift occurs when an ML system underperforms because of a mismatch between the data it was developed from and the data on which it is deployed.</p><p><strong>Objective: </strong>In this study, we analyzed the extent of performance drift using models built on a large UK cardiac surgery database. The objectives were to (1) rank and assess the extent of performance drift in cardiac surgery risk ML models over time and (2) investigate any potential influence of data set drift and variable importance drift on performance drift.</p><p><strong>Methods: </strong>We conducted a retrospective analysis of prospectively, routinely gathered data on adult patients undergoing cardiac surgery in the United Kingdom between 2012 and 2019. We temporally split the data 70:30 into a training and validation set and a holdout set. Five novel ML mortality prediction models were developed and assessed, along with EuroSCORE II, for relationships between and within variable importance drift, performance drift, and actual data set drift. Performance was assessed using a consensus metric.</p><p><strong>Results: </strong>A total of 227,087 adults underwent cardiac surgery during the study period, with a mortality rate of 2.76% (n=6258). There was strong evidence of a decrease in overall performance across all models (P<.0001). Extreme gradient boosting (clinical effectiveness metric [CEM] 0.728, 95% CI 0.728-0.729) and random forest (CEM 0.727, 95% CI 0.727-0.728) were the overall best-performing models, both temporally and nontemporally. EuroSCORE II performed the worst across all comparisons. Sharp changes in variable importance and data set drift from October to December 2017, from June to July 2018, and from December 2018 to February 2019 mirrored the effects of performance decrease across models.</p><p><strong>Conclusions: </strong>All models show a decrease in at least 3 of the 5 individual metrics. CEM and variable importance drift detection demonstrate the limitation of logistic regression methods used for cardiac surgery risk prediction and the effects of data set drift. Future work will be required to determine the interplay between ML models and whether ensemble models could improve on their respective performance advantages.</p>","PeriodicalId":73558,"journal":{"name":"JMIRx med","volume":"5 ","pages":"e45973"},"PeriodicalIF":0.0000,"publicationDate":"2024-06-12","publicationTypes":"Journal Article","fieldsOfStudy":null,"isOpenAccess":false,"openAccessPdf":"https://www.ncbi.nlm.nih.gov/pmc/articles/PMC11217160/pdf/","citationCount":"0","resultStr":"{\"title\":\"Performance Drift in Machine Learning Models for Cardiac Surgery Risk Prediction: Retrospective Analysis.\",\"authors\":\"Tim Dong, Shubhra Sinha, Ben Zhai, Daniel Fudulu, Jeremy Chan, Pradeep Narayan, Andy Judge, Massimo Caputo, Arnaldo Dimagli, Umberto Benedetto, Gianni D Angelini\",\"doi\":\"10.2196/45973\",\"DOIUrl\":null,\"url\":null,\"abstract\":\"<p><strong>Background: </strong>The Society of Thoracic Surgeons and European System for Cardiac Operative Risk Evaluation (EuroSCORE) II risk scores are the most commonly used risk prediction models for in-hospital mortality after adult cardiac surgery. However, they are prone to miscalibration over time and poor generalization across data sets; thus, their use remains controversial. Despite increased interest, a gap in understanding the effect of data set drift on the performance of machine learning (ML) over time remains a barrier to its wider use in clinical practice. Data set drift occurs when an ML system underperforms because of a mismatch between the data it was developed from and the data on which it is deployed.</p><p><strong>Objective: </strong>In this study, we analyzed the extent of performance drift using models built on a large UK cardiac surgery database. The objectives were to (1) rank and assess the extent of performance drift in cardiac surgery risk ML models over time and (2) investigate any potential influence of data set drift and variable importance drift on performance drift.</p><p><strong>Methods: </strong>We conducted a retrospective analysis of prospectively, routinely gathered data on adult patients undergoing cardiac surgery in the United Kingdom between 2012 and 2019. We temporally split the data 70:30 into a training and validation set and a holdout set. Five novel ML mortality prediction models were developed and assessed, along with EuroSCORE II, for relationships between and within variable importance drift, performance drift, and actual data set drift. Performance was assessed using a consensus metric.</p><p><strong>Results: </strong>A total of 227,087 adults underwent cardiac surgery during the study period, with a mortality rate of 2.76% (n=6258). There was strong evidence of a decrease in overall performance across all models (P<.0001). Extreme gradient boosting (clinical effectiveness metric [CEM] 0.728, 95% CI 0.728-0.729) and random forest (CEM 0.727, 95% CI 0.727-0.728) were the overall best-performing models, both temporally and nontemporally. EuroSCORE II performed the worst across all comparisons. Sharp changes in variable importance and data set drift from October to December 2017, from June to July 2018, and from December 2018 to February 2019 mirrored the effects of performance decrease across models.</p><p><strong>Conclusions: </strong>All models show a decrease in at least 3 of the 5 individual metrics. CEM and variable importance drift detection demonstrate the limitation of logistic regression methods used for cardiac surgery risk prediction and the effects of data set drift. Future work will be required to determine the interplay between ML models and whether ensemble models could improve on their respective performance advantages.</p>\",\"PeriodicalId\":73558,\"journal\":{\"name\":\"JMIRx med\",\"volume\":\"5 \",\"pages\":\"e45973\"},\"PeriodicalIF\":0.0000,\"publicationDate\":\"2024-06-12\",\"publicationTypes\":\"Journal Article\",\"fieldsOfStudy\":null,\"isOpenAccess\":false,\"openAccessPdf\":\"https://www.ncbi.nlm.nih.gov/pmc/articles/PMC11217160/pdf/\",\"citationCount\":\"0\",\"resultStr\":null,\"platform\":\"Semanticscholar\",\"paperid\":null,\"PeriodicalName\":\"JMIRx med\",\"FirstCategoryId\":\"1085\",\"ListUrlMain\":\"https://doi.org/10.2196/45973\",\"RegionNum\":0,\"RegionCategory\":null,\"ArticlePicture\":[],\"TitleCN\":null,\"AbstractTextCN\":null,\"PMCID\":null,\"EPubDate\":\"\",\"PubModel\":\"\",\"JCR\":\"\",\"JCRName\":\"\",\"Score\":null,\"Total\":0}","platform":"Semanticscholar","paperid":null,"PeriodicalName":"JMIRx med","FirstCategoryId":"1085","ListUrlMain":"https://doi.org/10.2196/45973","RegionNum":0,"RegionCategory":null,"ArticlePicture":[],"TitleCN":null,"AbstractTextCN":null,"PMCID":null,"EPubDate":"","PubModel":"","JCR":"","JCRName":"","Score":null,"Total":0}
引用次数: 0

摘要

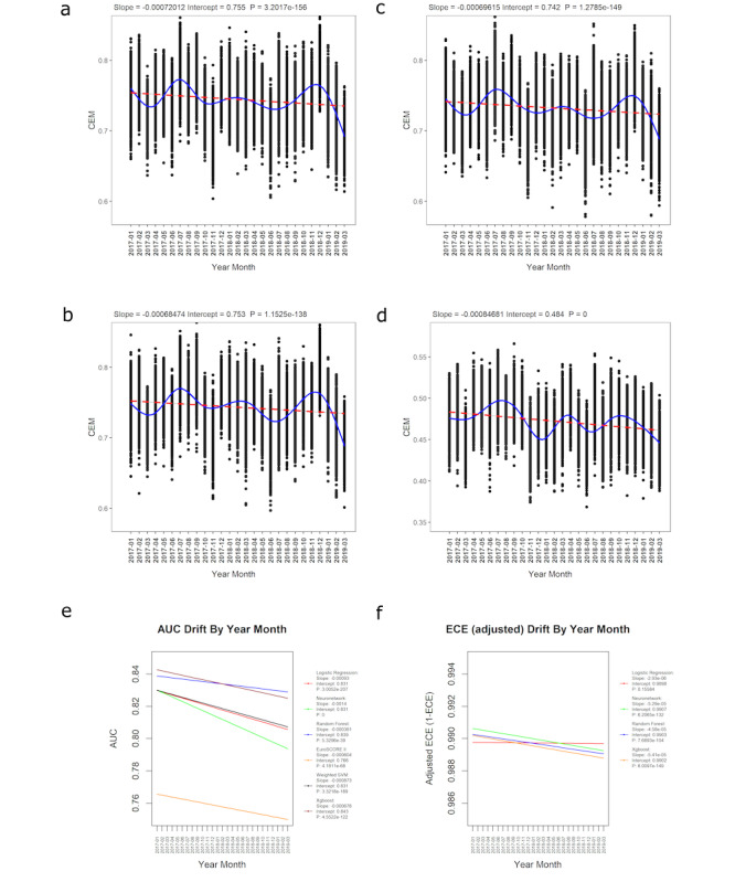
背景:胸外科医师协会和欧洲心脏手术风险评估系统(EuroSCORE)II 风险评分是成人心脏手术后院内死亡率最常用的风险预测模型。然而,随着时间的推移,这些模型容易出现误校准,而且在不同数据集之间的通用性较差;因此,这些模型的使用仍存在争议。尽管人们对机器学习(ML)的兴趣与日俱增,但对数据集漂移随时间推移对机器学习(ML)性能的影响的认识仍存在差距,这仍是阻碍其在临床实践中广泛应用的一个障碍。当机器学习系统的开发数据与部署数据不匹配时,就会出现数据集漂移:在这项研究中,我们使用建立在英国大型心脏手术数据库上的模型分析了性能漂移的程度。目的是:(1) 对心脏手术风险 ML 模型的性能漂移程度进行排序和评估;(2) 研究数据集漂移和变量重要性漂移对性能漂移的潜在影响:我们对 2012 年至 2019 年期间在英国接受心脏手术的成年患者的前瞻性常规数据进行了回顾性分析。我们在时间上将数据按 70:30 的比例分成训练集、验证集和保留集。我们开发了五种新的ML死亡率预测模型,并与EuroSCORE II一起评估了变量重要性漂移、性能漂移和实际数据集漂移之间和内部的关系。结果:在研究期间,共有 227087 名成人接受了心脏手术,死亡率为 2.76%(n=6258)。有确凿证据表明,所有模型的总体性能都有所下降(PC结论:所有模型都显示,死亡率至少有所下降:所有模型在 5 个单项指标中至少有 3 个指标出现下降。CEM和变量重要性漂移检测表明了用于心脏手术风险预测的逻辑回归方法的局限性以及数据集漂移的影响。未来的工作需要确定 ML 模型之间的相互作用,以及集合模型是否能提高各自的性能优势。
本文章由计算机程序翻译,如有差异,请以英文原文为准。

Performance Drift in Machine Learning Models for Cardiac Surgery Risk Prediction: Retrospective Analysis.

Performance Drift in Machine Learning Models for Cardiac Surgery Risk Prediction: Retrospective Analysis.

Performance Drift in Machine Learning Models for Cardiac Surgery Risk Prediction: Retrospective Analysis.

Performance Drift in Machine Learning Models for Cardiac Surgery Risk Prediction: Retrospective Analysis.

Background: The Society of Thoracic Surgeons and European System for Cardiac Operative Risk Evaluation (EuroSCORE) II risk scores are the most commonly used risk prediction models for in-hospital mortality after adult cardiac surgery. However, they are prone to miscalibration over time and poor generalization across data sets; thus, their use remains controversial. Despite increased interest, a gap in understanding the effect of data set drift on the performance of machine learning (ML) over time remains a barrier to its wider use in clinical practice. Data set drift occurs when an ML system underperforms because of a mismatch between the data it was developed from and the data on which it is deployed.

Objective: In this study, we analyzed the extent of performance drift using models built on a large UK cardiac surgery database. The objectives were to (1) rank and assess the extent of performance drift in cardiac surgery risk ML models over time and (2) investigate any potential influence of data set drift and variable importance drift on performance drift.

Methods: We conducted a retrospective analysis of prospectively, routinely gathered data on adult patients undergoing cardiac surgery in the United Kingdom between 2012 and 2019. We temporally split the data 70:30 into a training and validation set and a holdout set. Five novel ML mortality prediction models were developed and assessed, along with EuroSCORE II, for relationships between and within variable importance drift, performance drift, and actual data set drift. Performance was assessed using a consensus metric.

Results: A total of 227,087 adults underwent cardiac surgery during the study period, with a mortality rate of 2.76% (n=6258). There was strong evidence of a decrease in overall performance across all models (P<.0001). Extreme gradient boosting (clinical effectiveness metric [CEM] 0.728, 95% CI 0.728-0.729) and random forest (CEM 0.727, 95% CI 0.727-0.728) were the overall best-performing models, both temporally and nontemporally. EuroSCORE II performed the worst across all comparisons. Sharp changes in variable importance and data set drift from October to December 2017, from June to July 2018, and from December 2018 to February 2019 mirrored the effects of performance decrease across models.

Conclusions: All models show a decrease in at least 3 of the 5 individual metrics. CEM and variable importance drift detection demonstrate the limitation of logistic regression methods used for cardiac surgery risk prediction and the effects of data set drift. Future work will be required to determine the interplay between ML models and whether ensemble models could improve on their respective performance advantages.

求助全文
通过发布文献求助,成功后即可免费获取论文全文。 去求助
来源期刊
自引率
0.00%
发文量
0
×
引用
GB/T 7714-2015
复制
MLA
复制
APA
复制
导出至
BibTeX EndNote RefMan NoteFirst NoteExpress
×
提示
您的信息不完整,为了账户安全,请先补充。
现在去补充
×
提示
您因"违规操作"
具体请查看互助需知
我知道了
×
提示
确定
请完成安全验证×
copy
已复制链接
快去分享给好友吧!
我知道了
右上角分享
点击右上角分享
0
联系我们:info@booksci.cn Book学术提供免费学术资源搜索服务,方便国内外学者检索中英文文献。致力于提供最便捷和优质的服务体验。 Copyright © 2023 布克学术 All rights reserved.
京ICP备2023020795号-1
ghs 京公网安备 11010802042870号
Book学术文献互助
Book学术文献互助群
群 号:604180095
Book学术官方微信