前交叉韧带重建运动员恢复运动后膝关节和髋关节协调性和临床表现的残余缺陷。

IF 4.4 Q2 Medicine
Komsak Sinsurin, Pongthanayos Kiratisin, Dimas Sondang Irawan, Roongtiwa Vachalathiti, Jim Richards
{"title":"前交叉韧带重建运动员恢复运动后膝关节和髋关节协调性和临床表现的残余缺陷。","authors":"Komsak Sinsurin, Pongthanayos Kiratisin, Dimas Sondang Irawan, Roongtiwa Vachalathiti, Jim Richards","doi":"10.1186/s43019-024-00213-w","DOIUrl":null,"url":null,"abstract":"<p><strong>Background: </strong>Biomechanical changes and neuromuscular adaptations have been suggested as risk factors of secondary injury in individuals after anterior cruciate ligament reconstruction (ACLr). To achieve a better understanding of preventive mechanisms, movement quality is an important factor of consideration. Few studies have explored time-series analysis during landing alongside clinical performance in injured and non-injured individuals. The purpose of the study was to investigate the biomechanical risks of recurrent injury by comparing clinical and jump-landing performance assessments between athletes with ACLr and healthy controls.</p><p><strong>Method: </strong>This study was observational study. Sixteen athletes with and without ACLr voluntarily participated in clinical and laboratory measurements. Single-leg hop distance, isokinetic tests, landing error score, and limb symmetry index (LSI) were included in clinical report. Lower limb movements were recorded to measure joint biomechanics during multi-directional landings in motion analysis laboratory. Hip-knee angle and angular velocity were explored using discrete time-point analysis, and a two-way mixed analysis of variance (2 × 4, group × jump-landing direction) was used for statistical analysis. Time series and hip-knee coordination analyses were performed using statistical parametric mapping and descriptive techniques.</p><p><strong>Results: </strong>Significantly lower single-leg hop distance was noted in ACLr group (158.10 cm) compared to control group (178.38 cm). Although the hip and knee moments showed significant differences between four directions (p < 0.01), no group effect was observed (p > 0.05). Statistical parametric mapping showed significant differences (p ≤ 0.05) between groups for hip abduction and coordinate plot of hip and knee joints. Athletes with ACLr demonstrated a higher velocity of hip adduction. Time-series analysis revealed differences in coordination between groups for frontal hip and knee motion.</p><p><strong>Conclusions: </strong>Athletes with ACLr landed with poor hip adduction control and stiffer knee on the involved side. Multi-directions landing should be considered over the entire time series, which may facilitate improved movement quality and return to sports in athletes with ACLr.</p>","PeriodicalId":36317,"journal":{"name":"Knee Surgery and Related Research","volume":"36 1","pages":"22"},"PeriodicalIF":4.4000,"publicationDate":"2024-06-17","publicationTypes":"Journal Article","fieldsOfStudy":null,"isOpenAccess":false,"openAccessPdf":"https://www.ncbi.nlm.nih.gov/pmc/articles/PMC11184681/pdf/","citationCount":"0","resultStr":"{\"title\":\"Residual deficits of knee and hip joint coordination and clinical performance after return to sports in athletes with anterior cruciate ligament reconstruction.\",\"authors\":\"Komsak Sinsurin, Pongthanayos Kiratisin, Dimas Sondang Irawan, Roongtiwa Vachalathiti, Jim Richards\",\"doi\":\"10.1186/s43019-024-00213-w\",\"DOIUrl\":null,\"url\":null,\"abstract\":\"<p><strong>Background: </strong>Biomechanical changes and neuromuscular adaptations have been suggested as risk factors of secondary injury in individuals after anterior cruciate ligament reconstruction (ACLr). To achieve a better understanding of preventive mechanisms, movement quality is an important factor of consideration. Few studies have explored time-series analysis during landing alongside clinical performance in injured and non-injured individuals. The purpose of the study was to investigate the biomechanical risks of recurrent injury by comparing clinical and jump-landing performance assessments between athletes with ACLr and healthy controls.</p><p><strong>Method: </strong>This study was observational study. Sixteen athletes with and without ACLr voluntarily participated in clinical and laboratory measurements. Single-leg hop distance, isokinetic tests, landing error score, and limb symmetry index (LSI) were included in clinical report. Lower limb movements were recorded to measure joint biomechanics during multi-directional landings in motion analysis laboratory. Hip-knee angle and angular velocity were explored using discrete time-point analysis, and a two-way mixed analysis of variance (2 × 4, group × jump-landing direction) was used for statistical analysis. Time series and hip-knee coordination analyses were performed using statistical parametric mapping and descriptive techniques.</p><p><strong>Results: </strong>Significantly lower single-leg hop distance was noted in ACLr group (158.10 cm) compared to control group (178.38 cm). Although the hip and knee moments showed significant differences between four directions (p < 0.01), no group effect was observed (p > 0.05). Statistical parametric mapping showed significant differences (p ≤ 0.05) between groups for hip abduction and coordinate plot of hip and knee joints. Athletes with ACLr demonstrated a higher velocity of hip adduction. Time-series analysis revealed differences in coordination between groups for frontal hip and knee motion.</p><p><strong>Conclusions: </strong>Athletes with ACLr landed with poor hip adduction control and stiffer knee on the involved side. Multi-directions landing should be considered over the entire time series, which may facilitate improved movement quality and return to sports in athletes with ACLr.</p>\",\"PeriodicalId\":36317,\"journal\":{\"name\":\"Knee Surgery and Related Research\",\"volume\":\"36 1\",\"pages\":\"22\"},\"PeriodicalIF\":4.4000,\"publicationDate\":\"2024-06-17\",\"publicationTypes\":\"Journal Article\",\"fieldsOfStudy\":null,\"isOpenAccess\":false,\"openAccessPdf\":\"https://www.ncbi.nlm.nih.gov/pmc/articles/PMC11184681/pdf/\",\"citationCount\":\"0\",\"resultStr\":null,\"platform\":\"Semanticscholar\",\"paperid\":null,\"PeriodicalName\":\"Knee Surgery and Related Research\",\"FirstCategoryId\":\"1085\",\"ListUrlMain\":\"https://doi.org/10.1186/s43019-024-00213-w\",\"RegionNum\":0,\"RegionCategory\":null,\"ArticlePicture\":[],\"TitleCN\":null,\"AbstractTextCN\":null,\"PMCID\":null,\"EPubDate\":\"\",\"PubModel\":\"\",\"JCR\":\"Q2\",\"JCRName\":\"Medicine\",\"Score\":null,\"Total\":0}","platform":"Semanticscholar","paperid":null,"PeriodicalName":"Knee Surgery and Related Research","FirstCategoryId":"1085","ListUrlMain":"https://doi.org/10.1186/s43019-024-00213-w","RegionNum":0,"RegionCategory":null,"ArticlePicture":[],"TitleCN":null,"AbstractTextCN":null,"PMCID":null,"EPubDate":"","PubModel":"","JCR":"Q2","JCRName":"Medicine","Score":null,"Total":0}
引用次数: 0

摘要

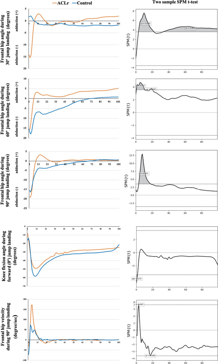
背景:生物力学变化和神经肌肉适应性被认为是前十字韧带重建(ACLr)后造成二次损伤的风险因素。为了更好地了解预防机制,运动质量是一个重要的考虑因素。很少有研究对受伤和未受伤者着地时的时间序列分析以及临床表现进行探讨。本研究的目的是通过比较前交叉韧带损伤运动员和健康对照组的临床和跳跃着地表现评估,研究复发性损伤的生物力学风险:本研究为观察性研究。16名患有和未患有前交叉韧带损伤的运动员自愿参加了临床和实验室测量。临床报告包括单腿跳跃距离、等动测试、着地误差评分和肢体对称性指数(LSI)。运动分析实验室记录了多方向着地时的下肢运动,以测量关节生物力学。采用离散时间点分析法探讨髋膝角度和角速度,并采用双向混合方差分析法(2 × 4,组别 × 起跳落地方向)进行统计分析。使用统计参数映射和描述性技术对时间序列和髋膝协调性进行了分析:结果:与对照组(178.38 厘米)相比,ACLr 组的单腿跳跃距离(158.10 厘米)明显较低。尽管髋关节和膝关节力矩在四个方向上有显著差异(P 0.05),但统计参数图显示,前交叉韧带损伤组的单腿跳跃距离显著低于对照组(178.38 厘米)。统计参数图显示,髋关节外展以及髋关节和膝关节坐标图在组间存在显著差异(P ≤ 0.05)。患有前交叉韧带撕裂症的运动员髋关节内收的速度较快。时间序列分析表明,各组之间在髋关节和膝关节正面运动的协调性方面存在差异:结论:患有前交叉韧带损伤的运动员着地时髋关节内收控制能力较差,受累侧膝关节较僵硬。在整个时间序列中应考虑多方向着地,这可能有助于改善前交叉韧带损伤运动员的运动质量和恢复运动能力。
本文章由计算机程序翻译,如有差异,请以英文原文为准。

Residual deficits of knee and hip joint coordination and clinical performance after return to sports in athletes with anterior cruciate ligament reconstruction.

Residual deficits of knee and hip joint coordination and clinical performance after return to sports in athletes with anterior cruciate ligament reconstruction.

Residual deficits of knee and hip joint coordination and clinical performance after return to sports in athletes with anterior cruciate ligament reconstruction.

Residual deficits of knee and hip joint coordination and clinical performance after return to sports in athletes with anterior cruciate ligament reconstruction.

Background: Biomechanical changes and neuromuscular adaptations have been suggested as risk factors of secondary injury in individuals after anterior cruciate ligament reconstruction (ACLr). To achieve a better understanding of preventive mechanisms, movement quality is an important factor of consideration. Few studies have explored time-series analysis during landing alongside clinical performance in injured and non-injured individuals. The purpose of the study was to investigate the biomechanical risks of recurrent injury by comparing clinical and jump-landing performance assessments between athletes with ACLr and healthy controls.

Method: This study was observational study. Sixteen athletes with and without ACLr voluntarily participated in clinical and laboratory measurements. Single-leg hop distance, isokinetic tests, landing error score, and limb symmetry index (LSI) were included in clinical report. Lower limb movements were recorded to measure joint biomechanics during multi-directional landings in motion analysis laboratory. Hip-knee angle and angular velocity were explored using discrete time-point analysis, and a two-way mixed analysis of variance (2 × 4, group × jump-landing direction) was used for statistical analysis. Time series and hip-knee coordination analyses were performed using statistical parametric mapping and descriptive techniques.

Results: Significantly lower single-leg hop distance was noted in ACLr group (158.10 cm) compared to control group (178.38 cm). Although the hip and knee moments showed significant differences between four directions (p < 0.01), no group effect was observed (p > 0.05). Statistical parametric mapping showed significant differences (p ≤ 0.05) between groups for hip abduction and coordinate plot of hip and knee joints. Athletes with ACLr demonstrated a higher velocity of hip adduction. Time-series analysis revealed differences in coordination between groups for frontal hip and knee motion.

Conclusions: Athletes with ACLr landed with poor hip adduction control and stiffer knee on the involved side. Multi-directions landing should be considered over the entire time series, which may facilitate improved movement quality and return to sports in athletes with ACLr.

求助全文
通过发布文献求助,成功后即可免费获取论文全文。 去求助
来源期刊
CiteScore
6.50
自引率
0.00%
发文量
42
审稿时长
19 weeks
×
引用
GB/T 7714-2015
复制
MLA
复制
APA
复制
导出至
BibTeX EndNote RefMan NoteFirst NoteExpress
×
提示
您的信息不完整,为了账户安全,请先补充。
现在去补充
×
提示
您因"违规操作"
具体请查看互助需知
我知道了
×
提示
确定
请完成安全验证×
copy
已复制链接
快去分享给好友吧!
我知道了
右上角分享
点击右上角分享
0
联系我们:info@booksci.cn Book学术提供免费学术资源搜索服务,方便国内外学者检索中英文文献。致力于提供最便捷和优质的服务体验。 Copyright © 2023 布克学术 All rights reserved.
京ICP备2023020795号-1
ghs 京公网安备 11010802042870号
Book学术文献互助
Book学术文献互助群
群 号:604180095
Book学术官方微信