谁去看全科医生?一项基于芬兰城市登记的研究。

IF 1.9 4区 医学 Q4 PUBLIC, ENVIRONMENTAL & OCCUPATIONAL HEALTH
Mika T Lehto, Timo Kauppila, Hannu Kautiainen, Ossi Rahkonen, Merja K Laine, Kaisu Pitkälä
{"title":"谁去看全科医生?一项基于芬兰城市登记的研究。","authors":"Mika T Lehto, Timo Kauppila, Hannu Kautiainen, Ossi Rahkonen, Merja K Laine, Kaisu Pitkälä","doi":"10.1080/22423982.2024.2366034","DOIUrl":null,"url":null,"abstract":"<p><p>This is a register-based study that examines the distribution of diagnoses made by general practitioners (GPs) in the public primary health care of the city of Vantaa, Finland. Data were gathered from the electronic health record (EHR) system and consisted of every record entered into the EHR system between 1 January 2016 and 31 December 2018. Both absolute numbers and relative proportions of the 10<sup>th</sup> edition of International Classification of Diseases (ICD-10) diagnosis recordings were reported and calculated. Among GP visits, the 88 most common diagnoses covered 75% of all diagnoses. The most common diagnoses were related to the musculoskeletal (3.8%, ICD code M54) and respiratory systems (6.0%, ICD-10 code J06). Primary health care GP services were mostly used by children (age <5 years) and older adults (>65 years). Health examinations - mostly children's and maternity clinics appointments/visits - covered 20% of the GP office visits. Women between the ages 15-79 years had relatively more GP visits compared to men. The 88 most commonly recorded diagnoses covered the majority of the GP visits. Health examinations for the healthy were an important part of GPs' work. In an urban Finnish city, GP services were predominantly used by children and older adults.</p>","PeriodicalId":13930,"journal":{"name":"International Journal of Circumpolar Health","volume":"83 1","pages":"2366034"},"PeriodicalIF":1.9000,"publicationDate":"2024-12-01","publicationTypes":"Journal Article","fieldsOfStudy":null,"isOpenAccess":false,"openAccessPdf":"https://www.ncbi.nlm.nih.gov/pmc/articles/PMC11177702/pdf/","citationCount":"0","resultStr":"{\"title\":\"Who visits primary health care general practitioners and why? A register-based study in a Finnish city.\",\"authors\":\"Mika T Lehto, Timo Kauppila, Hannu Kautiainen, Ossi Rahkonen, Merja K Laine, Kaisu Pitkälä\",\"doi\":\"10.1080/22423982.2024.2366034\",\"DOIUrl\":null,\"url\":null,\"abstract\":\"<p><p>This is a register-based study that examines the distribution of diagnoses made by general practitioners (GPs) in the public primary health care of the city of Vantaa, Finland. Data were gathered from the electronic health record (EHR) system and consisted of every record entered into the EHR system between 1 January 2016 and 31 December 2018. Both absolute numbers and relative proportions of the 10<sup>th</sup> edition of International Classification of Diseases (ICD-10) diagnosis recordings were reported and calculated. Among GP visits, the 88 most common diagnoses covered 75% of all diagnoses. The most common diagnoses were related to the musculoskeletal (3.8%, ICD code M54) and respiratory systems (6.0%, ICD-10 code J06). Primary health care GP services were mostly used by children (age <5 years) and older adults (>65 years). Health examinations - mostly children's and maternity clinics appointments/visits - covered 20% of the GP office visits. Women between the ages 15-79 years had relatively more GP visits compared to men. The 88 most commonly recorded diagnoses covered the majority of the GP visits. Health examinations for the healthy were an important part of GPs' work. In an urban Finnish city, GP services were predominantly used by children and older adults.</p>\",\"PeriodicalId\":13930,\"journal\":{\"name\":\"International Journal of Circumpolar Health\",\"volume\":\"83 1\",\"pages\":\"2366034\"},\"PeriodicalIF\":1.9000,\"publicationDate\":\"2024-12-01\",\"publicationTypes\":\"Journal Article\",\"fieldsOfStudy\":null,\"isOpenAccess\":false,\"openAccessPdf\":\"https://www.ncbi.nlm.nih.gov/pmc/articles/PMC11177702/pdf/\",\"citationCount\":\"0\",\"resultStr\":null,\"platform\":\"Semanticscholar\",\"paperid\":null,\"PeriodicalName\":\"International Journal of Circumpolar Health\",\"FirstCategoryId\":\"3\",\"ListUrlMain\":\"https://doi.org/10.1080/22423982.2024.2366034\",\"RegionNum\":4,\"RegionCategory\":\"医学\",\"ArticlePicture\":[],\"TitleCN\":null,\"AbstractTextCN\":null,\"PMCID\":null,\"EPubDate\":\"2024/6/13 0:00:00\",\"PubModel\":\"Epub\",\"JCR\":\"Q4\",\"JCRName\":\"PUBLIC, ENVIRONMENTAL & OCCUPATIONAL HEALTH\",\"Score\":null,\"Total\":0}","platform":"Semanticscholar","paperid":null,"PeriodicalName":"International Journal of Circumpolar Health","FirstCategoryId":"3","ListUrlMain":"https://doi.org/10.1080/22423982.2024.2366034","RegionNum":4,"RegionCategory":"医学","ArticlePicture":[],"TitleCN":null,"AbstractTextCN":null,"PMCID":null,"EPubDate":"2024/6/13 0:00:00","PubModel":"Epub","JCR":"Q4","JCRName":"PUBLIC, ENVIRONMENTAL & OCCUPATIONAL HEALTH","Score":null,"Total":0}
引用次数: 0

摘要

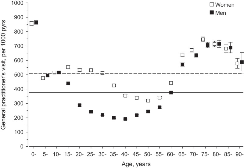
这是一项以登记簿为基础的研究,旨在考察芬兰万塔市公共初级卫生保健机构中全科医生(GPs)所做诊断的分布情况。数据来自电子健康记录(EHR)系统,包括2016年1月1日至2018年12月31日期间输入电子健康记录系统的每一条记录。报告和计算了第十版国际疾病分类(ICD-10)诊断记录的绝对数量和相对比例。在全科医生就诊中,最常见的 88 项诊断占所有诊断的 75%。最常见的诊断与肌肉骨骼系统(3.8%,ICD 代码 M54)和呼吸系统(6.0%,ICD-10 代码 J06)有关。使用全科医生初级保健服务的主要是儿童(65 岁)。健康检查--主要是儿童和产科诊所的预约/就诊--占全科医生门诊量的 20%。与男性相比,15-79 岁的女性到全科医生处就诊的次数相对较多。88 种最常见的诊断占全科医生门诊的大多数。健康体检是全科医生工作的重要组成部分。在芬兰的一个城市,使用全科医生服务的主要是儿童和老年人。
本文章由计算机程序翻译,如有差异,请以英文原文为准。

Who visits primary health care general practitioners and why? A register-based study in a Finnish city.

Who visits primary health care general practitioners and why? A register-based study in a Finnish city.

Who visits primary health care general practitioners and why? A register-based study in a Finnish city.

Who visits primary health care general practitioners and why? A register-based study in a Finnish city.

This is a register-based study that examines the distribution of diagnoses made by general practitioners (GPs) in the public primary health care of the city of Vantaa, Finland. Data were gathered from the electronic health record (EHR) system and consisted of every record entered into the EHR system between 1 January 2016 and 31 December 2018. Both absolute numbers and relative proportions of the 10th edition of International Classification of Diseases (ICD-10) diagnosis recordings were reported and calculated. Among GP visits, the 88 most common diagnoses covered 75% of all diagnoses. The most common diagnoses were related to the musculoskeletal (3.8%, ICD code M54) and respiratory systems (6.0%, ICD-10 code J06). Primary health care GP services were mostly used by children (age <5 years) and older adults (>65 years). Health examinations - mostly children's and maternity clinics appointments/visits - covered 20% of the GP office visits. Women between the ages 15-79 years had relatively more GP visits compared to men. The 88 most commonly recorded diagnoses covered the majority of the GP visits. Health examinations for the healthy were an important part of GPs' work. In an urban Finnish city, GP services were predominantly used by children and older adults.

求助全文
通过发布文献求助,成功后即可免费获取论文全文。 去求助
来源期刊
International Journal of Circumpolar Health
International Journal of Circumpolar Health 医学-公共卫生、环境卫生与职业卫生
CiteScore
2.10
自引率
15.40%
发文量
51
审稿时长
6-12 weeks
期刊介绍: The International Journal of Circumpolar Health is published by Taylor & Francis on behalf of the Circumpolar Health Research Network [CircHNet]. The journal follows the tradition initiated by its predecessor, Arctic Medical Research. The journal specializes in circumpolar health. It provides a forum for many disciplines, including the biomedical sciences, social sciences, and humanities as they relate to human health in high latitude environments. The journal has a particular interest in the health of indigenous peoples. It is a vehicle for dissemination and exchange of knowledge among researchers, policy makers, practitioners, and those they serve. International Journal of Circumpolar Health welcomes Original Research Articles, Review Articles, Short Communications, Book Reviews, Dissertation Summaries, History and Biography, Clinical Case Reports, Public Health Practice, Conference and Workshop Reports, and Letters to the Editor.
×
引用
GB/T 7714-2015
复制
MLA
复制
APA
复制
导出至
BibTeX EndNote RefMan NoteFirst NoteExpress
×
提示
您的信息不完整,为了账户安全,请先补充。
现在去补充
×
提示
您因"违规操作"
具体请查看互助需知
我知道了
×
提示
确定
请完成安全验证×
copy
已复制链接
快去分享给好友吧!
我知道了
右上角分享
点击右上角分享
0
联系我们:info@booksci.cn Book学术提供免费学术资源搜索服务,方便国内外学者检索中英文文献。致力于提供最便捷和优质的服务体验。 Copyright © 2023 布克学术 All rights reserved.
京ICP备2023020795号-1
ghs 京公网安备 11010802042870号
Book学术文献互助
Book学术文献互助群
群 号:604180095
Book学术官方微信