在使用抗胸腺细胞球蛋白进行移植前调理期间,发热受者体内的前降钙素原升高。

Blood cell therapy Pub Date : 2024-04-26 eCollection Date: 2024-05-25 DOI:10.31547/bct-2023-033
Takahiro Shima, Mariko Minami, Taro Tochigi, Yu Kochi, Fumiaki Jinnouchi, Takuji Yamauchi, Yasuo Mori, Goichi Yoshimoto, Shinichi Mizuno, Toshihiro Miyamoto, Koji Kato, Koichi Akashi
{"title":"在使用抗胸腺细胞球蛋白进行移植前调理期间,发热受者体内的前降钙素原升高。","authors":"Takahiro Shima, Mariko Minami, Taro Tochigi, Yu Kochi, Fumiaki Jinnouchi, Takuji Yamauchi, Yasuo Mori, Goichi Yoshimoto, Shinichi Mizuno, Toshihiro Miyamoto, Koji Kato, Koichi Akashi","doi":"10.31547/bct-2023-033","DOIUrl":null,"url":null,"abstract":"<p><p>Infection is a major contributor to non-relapse mortality in allogeneic hematopoietic stem cell transplantation (allo-HSCT). Detecting infectious diseases in febrile patients during pretransplant conditioning is crucial for subsequent transplant success. Procalcitonin (PCT) is an auxiliary diagnostic marker of severe bacterial infections and has been proposed as a useful predictor of infection in patients undergoing allo-HSCT. Pre-transplant use of anti-thymocyte globulin (ATG) can cause side effects, such as fever and hypotension, which must be distinguished from infectious diseases. Although ATG administration may increase PCT levels, data on PCT levels in febrile patients after ATG administration are limited. Furthermore, no studies have compared PCT levels during allo-HSCT conditioning using ATG or non-ATG regimens. To investigate whether ATG increases PCT levels during febrile episodes in pre-transplant conditioning and whether PCT could be used to discriminate infections during this period, we analyzed 17 ATG and 59 non-ATG patients with fever and who underwent PCT level measurements during pre-transplant conditioning. Our findings revealed that ATG administration was the only significant factor that increased PCT positivity during fever (<i>p</i> = 0.01). In contrast, infectious diseases did not affect PCT positivity in the ATG group (<i>p</i> = 0.24). Furthermore, bloodstream infection was a significant risk factor for PCT positivity in patients who received non-ATG regimens (<i>p</i> < 0.01). Incorporating PCT levels into the diagnostic workup for infectious diseases requires careful consideration, particularly for patients receiving ATG regimens.</p>","PeriodicalId":72423,"journal":{"name":"Blood cell therapy","volume":"7 2","pages":"49-55"},"PeriodicalIF":0.0000,"publicationDate":"2024-04-26","publicationTypes":"Journal Article","fieldsOfStudy":null,"isOpenAccess":false,"openAccessPdf":"https://www.ncbi.nlm.nih.gov/pmc/articles/PMC11153207/pdf/","citationCount":"0","resultStr":"{\"title\":\"Procalcitonin elevation in febrile recipients during pre-transplant conditioning with anti-thymocyte globulin.\",\"authors\":\"Takahiro Shima, Mariko Minami, Taro Tochigi, Yu Kochi, Fumiaki Jinnouchi, Takuji Yamauchi, Yasuo Mori, Goichi Yoshimoto, Shinichi Mizuno, Toshihiro Miyamoto, Koji Kato, Koichi Akashi\",\"doi\":\"10.31547/bct-2023-033\",\"DOIUrl\":null,\"url\":null,\"abstract\":\"<p><p>Infection is a major contributor to non-relapse mortality in allogeneic hematopoietic stem cell transplantation (allo-HSCT). Detecting infectious diseases in febrile patients during pretransplant conditioning is crucial for subsequent transplant success. Procalcitonin (PCT) is an auxiliary diagnostic marker of severe bacterial infections and has been proposed as a useful predictor of infection in patients undergoing allo-HSCT. Pre-transplant use of anti-thymocyte globulin (ATG) can cause side effects, such as fever and hypotension, which must be distinguished from infectious diseases. Although ATG administration may increase PCT levels, data on PCT levels in febrile patients after ATG administration are limited. Furthermore, no studies have compared PCT levels during allo-HSCT conditioning using ATG or non-ATG regimens. To investigate whether ATG increases PCT levels during febrile episodes in pre-transplant conditioning and whether PCT could be used to discriminate infections during this period, we analyzed 17 ATG and 59 non-ATG patients with fever and who underwent PCT level measurements during pre-transplant conditioning. Our findings revealed that ATG administration was the only significant factor that increased PCT positivity during fever (<i>p</i> = 0.01). In contrast, infectious diseases did not affect PCT positivity in the ATG group (<i>p</i> = 0.24). Furthermore, bloodstream infection was a significant risk factor for PCT positivity in patients who received non-ATG regimens (<i>p</i> < 0.01). Incorporating PCT levels into the diagnostic workup for infectious diseases requires careful consideration, particularly for patients receiving ATG regimens.</p>\",\"PeriodicalId\":72423,\"journal\":{\"name\":\"Blood cell therapy\",\"volume\":\"7 2\",\"pages\":\"49-55\"},\"PeriodicalIF\":0.0000,\"publicationDate\":\"2024-04-26\",\"publicationTypes\":\"Journal Article\",\"fieldsOfStudy\":null,\"isOpenAccess\":false,\"openAccessPdf\":\"https://www.ncbi.nlm.nih.gov/pmc/articles/PMC11153207/pdf/\",\"citationCount\":\"0\",\"resultStr\":null,\"platform\":\"Semanticscholar\",\"paperid\":null,\"PeriodicalName\":\"Blood cell therapy\",\"FirstCategoryId\":\"1085\",\"ListUrlMain\":\"https://doi.org/10.31547/bct-2023-033\",\"RegionNum\":0,\"RegionCategory\":null,\"ArticlePicture\":[],\"TitleCN\":null,\"AbstractTextCN\":null,\"PMCID\":null,\"EPubDate\":\"2024/5/25 0:00:00\",\"PubModel\":\"eCollection\",\"JCR\":\"\",\"JCRName\":\"\",\"Score\":null,\"Total\":0}","platform":"Semanticscholar","paperid":null,"PeriodicalName":"Blood cell therapy","FirstCategoryId":"1085","ListUrlMain":"https://doi.org/10.31547/bct-2023-033","RegionNum":0,"RegionCategory":null,"ArticlePicture":[],"TitleCN":null,"AbstractTextCN":null,"PMCID":null,"EPubDate":"2024/5/25 0:00:00","PubModel":"eCollection","JCR":"","JCRName":"","Score":null,"Total":0}
引用次数: 0

摘要

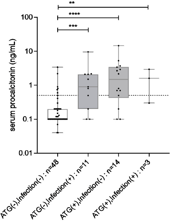
感染是异基因造血干细胞移植(allo-HSCT)非复发死亡率的主要原因。在移植前调理期间检测发热患者的感染性疾病对后续移植的成功至关重要。降钙素原(PCT)是严重细菌感染的辅助诊断指标,被认为是预测接受异体造血干细胞移植患者感染的有效指标。移植前使用抗胸腺细胞球蛋白(ATG)会导致发热和低血压等副作用,必须将其与感染性疾病区分开来。虽然注射 ATG 可能会增加 PCT 水平,但注射 ATG 后发热患者的 PCT 水平数据有限。此外,还没有研究比较过使用 ATG 或非 ATG 方案进行异体 HSCT 调理期间的 PCT 水平。为了研究 ATG 是否会增加移植前调理期间发热患者的 PCT 水平,以及 PCT 是否可用于区分这一时期的感染,我们分析了 17 例 ATG 和 59 例非 ATG 患者,这些患者在移植前调理期间发热并接受了 PCT 水平测量。我们的研究结果表明,ATG 给药是增加发热期间 PCT 阳性的唯一重要因素(p = 0.01)。相比之下,感染性疾病并不影响 ATG 组的 PCT 阳性率(p = 0.24)。此外,在接受非 ATG 方案治疗的患者中,血流感染是 PCT 阳性的一个重要风险因素(p < 0.01)。将 PCT 水平纳入感染性疾病的诊断工作需要慎重考虑,尤其是对于接受 ATG 治疗的患者。
本文章由计算机程序翻译,如有差异,请以英文原文为准。

Procalcitonin elevation in febrile recipients during pre-transplant conditioning with anti-thymocyte globulin.

Procalcitonin elevation in febrile recipients during pre-transplant conditioning with anti-thymocyte globulin.

Procalcitonin elevation in febrile recipients during pre-transplant conditioning with anti-thymocyte globulin.

Infection is a major contributor to non-relapse mortality in allogeneic hematopoietic stem cell transplantation (allo-HSCT). Detecting infectious diseases in febrile patients during pretransplant conditioning is crucial for subsequent transplant success. Procalcitonin (PCT) is an auxiliary diagnostic marker of severe bacterial infections and has been proposed as a useful predictor of infection in patients undergoing allo-HSCT. Pre-transplant use of anti-thymocyte globulin (ATG) can cause side effects, such as fever and hypotension, which must be distinguished from infectious diseases. Although ATG administration may increase PCT levels, data on PCT levels in febrile patients after ATG administration are limited. Furthermore, no studies have compared PCT levels during allo-HSCT conditioning using ATG or non-ATG regimens. To investigate whether ATG increases PCT levels during febrile episodes in pre-transplant conditioning and whether PCT could be used to discriminate infections during this period, we analyzed 17 ATG and 59 non-ATG patients with fever and who underwent PCT level measurements during pre-transplant conditioning. Our findings revealed that ATG administration was the only significant factor that increased PCT positivity during fever (p = 0.01). In contrast, infectious diseases did not affect PCT positivity in the ATG group (p = 0.24). Furthermore, bloodstream infection was a significant risk factor for PCT positivity in patients who received non-ATG regimens (p < 0.01). Incorporating PCT levels into the diagnostic workup for infectious diseases requires careful consideration, particularly for patients receiving ATG regimens.

求助全文
通过发布文献求助,成功后即可免费获取论文全文。 去求助
来源期刊
自引率
0.00%
发文量
0
×
引用
GB/T 7714-2015
复制
MLA
复制
APA
复制
导出至
BibTeX EndNote RefMan NoteFirst NoteExpress
×
提示
您的信息不完整,为了账户安全,请先补充。
现在去补充
×
提示
您因"违规操作"
具体请查看互助需知
我知道了
×
提示
确定
请完成安全验证×
copy
已复制链接
快去分享给好友吧!
我知道了
右上角分享
点击右上角分享
0
联系我们:info@booksci.cn Book学术提供免费学术资源搜索服务,方便国内外学者检索中英文文献。致力于提供最便捷和优质的服务体验。 Copyright © 2023 布克学术 All rights reserved.
京ICP备2023020795号-1
ghs 京公网安备 11010802042870号
Book学术文献互助
Book学术文献互助群
群 号:604180095
Book学术官方微信