使用超声波成像评估骨骼肌纹理:与慢性肾脏病磁共振成像的比较

IF 2.5 4区 医学 Q1 ACOUSTICS
Ultrasonic Imaging Pub Date : 2024-09-01 Epub Date: 2024-05-28 DOI:10.1177/01617346241255879
Thomas J Wilkinson, Luke A Baker, Emma L Watson, Katerina Nikopoulou, Christina Karatzaferi, Matthew Pm Graham-Brown, Alice C Smith, Giorgos K Sakkas
{"title":"使用超声波成像评估骨骼肌纹理:与慢性肾脏病磁共振成像的比较","authors":"Thomas J Wilkinson, Luke A Baker, Emma L Watson, Katerina Nikopoulou, Christina Karatzaferi, Matthew Pm Graham-Brown, Alice C Smith, Giorgos K Sakkas","doi":"10.1177/01617346241255879","DOIUrl":null,"url":null,"abstract":"<p><p>Skeletal muscle dysfunction is common in chronic kidney disease (CKD). Of interest is the concept of \"muscle quality,\" of which measures include ultrasound-derived echo intensity (EI). Alternative parameters of muscle texture, for example, gray level of co-occurrence matrix (GCLM), are available and may circumvent limitations in EI. The validity of EI is limited in humans, particularly in chronic diseases. This study aimed to investigate the associations between ultrasound-derived parameters of muscle texture with MRI. Images of the thigh were acquired using a 3 Tesla MRI scanner. Quantification of muscle (contractile), fat (non-contractile), and miscellaneous (connective tissue, fascia) components were estimated. Anatomical rectus femoris cross-sectional area was measured using B-mode 2D ultrasonography. To assess muscle texture, first (i.e., EI)- and second (i.e., GLCM)-order statistical analyses were performed. Fourteen participants with CKD were included (age: 58.0 ± 11.9 years, 50% male, eGFR: 27.0 ± 7.4 ml/min/1.73m<sup>2</sup>, 55% Stage 4). Higher EI was associated with lower muscle % (quadriceps: β = -.568, <i>p</i> = .034; hamstrings: β = -.644, <i>p</i> = .010). Higher EI was associated with a higher fat % in the hamstrings (β = -.626, <i>p</i> = .017). A higher angular second moment from GLCM analysis was associated with greater muscle % (β = .570, <i>p</i> = .033) and lower fat % (β = -.534, <i>p</i> = .049). A higher inverse difference moment was associated with greater muscle % (β = .610, <i>p</i> = .021 and lower fat % (β = -.599, <i>p</i> = .024). This is the first study to investigate the associations between ultrasound-derived parameters of muscle texture with MRI. Our preliminary findings suggest ultrasound-derived texture analysis provides a novel indicator of reduced skeletal muscle % and thus increased intramuscular fat.</p>","PeriodicalId":49401,"journal":{"name":"Ultrasonic Imaging","volume":" ","pages":"263-268"},"PeriodicalIF":2.5000,"publicationDate":"2024-09-01","publicationTypes":"Journal Article","fieldsOfStudy":null,"isOpenAccess":false,"openAccessPdf":"https://www.ncbi.nlm.nih.gov/pmc/articles/PMC11325600/pdf/","citationCount":"0","resultStr":"{\"title\":\"Skeletal Muscle Texture Assessment Using Ultrasonography: Comparison with Magnetic Resonance Imaging in Chronic Kidney Disease.\",\"authors\":\"Thomas J Wilkinson, Luke A Baker, Emma L Watson, Katerina Nikopoulou, Christina Karatzaferi, Matthew Pm Graham-Brown, Alice C Smith, Giorgos K Sakkas\",\"doi\":\"10.1177/01617346241255879\",\"DOIUrl\":null,\"url\":null,\"abstract\":\"<p><p>Skeletal muscle dysfunction is common in chronic kidney disease (CKD). Of interest is the concept of \\\"muscle quality,\\\" of which measures include ultrasound-derived echo intensity (EI). Alternative parameters of muscle texture, for example, gray level of co-occurrence matrix (GCLM), are available and may circumvent limitations in EI. The validity of EI is limited in humans, particularly in chronic diseases. This study aimed to investigate the associations between ultrasound-derived parameters of muscle texture with MRI. Images of the thigh were acquired using a 3 Tesla MRI scanner. Quantification of muscle (contractile), fat (non-contractile), and miscellaneous (connective tissue, fascia) components were estimated. Anatomical rectus femoris cross-sectional area was measured using B-mode 2D ultrasonography. To assess muscle texture, first (i.e., EI)- and second (i.e., GLCM)-order statistical analyses were performed. Fourteen participants with CKD were included (age: 58.0 ± 11.9 years, 50% male, eGFR: 27.0 ± 7.4 ml/min/1.73m<sup>2</sup>, 55% Stage 4). Higher EI was associated with lower muscle % (quadriceps: β = -.568, <i>p</i> = .034; hamstrings: β = -.644, <i>p</i> = .010). Higher EI was associated with a higher fat % in the hamstrings (β = -.626, <i>p</i> = .017). A higher angular second moment from GLCM analysis was associated with greater muscle % (β = .570, <i>p</i> = .033) and lower fat % (β = -.534, <i>p</i> = .049). A higher inverse difference moment was associated with greater muscle % (β = .610, <i>p</i> = .021 and lower fat % (β = -.599, <i>p</i> = .024). This is the first study to investigate the associations between ultrasound-derived parameters of muscle texture with MRI. Our preliminary findings suggest ultrasound-derived texture analysis provides a novel indicator of reduced skeletal muscle % and thus increased intramuscular fat.</p>\",\"PeriodicalId\":49401,\"journal\":{\"name\":\"Ultrasonic Imaging\",\"volume\":\" \",\"pages\":\"263-268\"},\"PeriodicalIF\":2.5000,\"publicationDate\":\"2024-09-01\",\"publicationTypes\":\"Journal Article\",\"fieldsOfStudy\":null,\"isOpenAccess\":false,\"openAccessPdf\":\"https://www.ncbi.nlm.nih.gov/pmc/articles/PMC11325600/pdf/\",\"citationCount\":\"0\",\"resultStr\":null,\"platform\":\"Semanticscholar\",\"paperid\":null,\"PeriodicalName\":\"Ultrasonic Imaging\",\"FirstCategoryId\":\"5\",\"ListUrlMain\":\"https://doi.org/10.1177/01617346241255879\",\"RegionNum\":4,\"RegionCategory\":\"医学\",\"ArticlePicture\":[],\"TitleCN\":null,\"AbstractTextCN\":null,\"PMCID\":null,\"EPubDate\":\"2024/5/28 0:00:00\",\"PubModel\":\"Epub\",\"JCR\":\"Q1\",\"JCRName\":\"ACOUSTICS\",\"Score\":null,\"Total\":0}","platform":"Semanticscholar","paperid":null,"PeriodicalName":"Ultrasonic Imaging","FirstCategoryId":"5","ListUrlMain":"https://doi.org/10.1177/01617346241255879","RegionNum":4,"RegionCategory":"医学","ArticlePicture":[],"TitleCN":null,"AbstractTextCN":null,"PMCID":null,"EPubDate":"2024/5/28 0:00:00","PubModel":"Epub","JCR":"Q1","JCRName":"ACOUSTICS","Score":null,"Total":0}
引用次数: 0

摘要

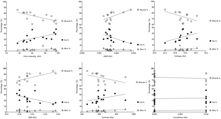
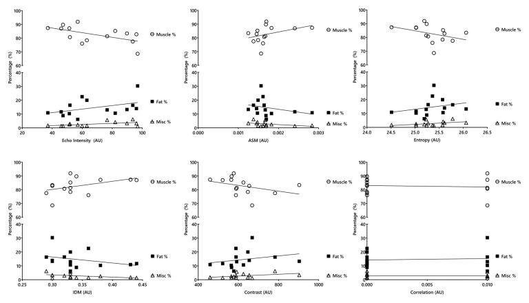
骨骼肌功能障碍在慢性肾脏病(CKD)中很常见。令人感兴趣的是 "肌肉质量 "的概念,其测量方法包括超声回波强度(EI)。肌肉纹理的其他参数,例如灰度共现矩阵(GCLM),可以规避 EI 的局限性。在人体中,特别是在慢性疾病中,EI 的有效性有限。本研究旨在调查肌肉纹理的超声衍生参数与核磁共振成像之间的关联。使用 3 特斯拉核磁共振扫描仪采集了大腿图像。对肌肉(收缩性)、脂肪(非收缩性)和其他(结缔组织、筋膜)成分进行了量化估算。解剖股直肌横截面积是通过 B 型二维超声波检查测量的。为评估肌肉纹理,进行了一阶(即 EI)和二阶(即 GLCM)统计分析。共纳入 14 名患有慢性肾脏病的参与者(年龄:58.0 ± 11.9 岁,50% 为男性,eGFR:27.0 ± 7.4 毫升/分钟/1.73 平方米,55% 为第四期)。较高的 EI 与较低的肌肉百分比相关(股四头肌:β = -.568,p = .034;腘绳肌:β = -.644,p = .010)。较高的 EI 与较高的腘绳肌脂肪率相关(β = -.626,p = .017)。GLCM 分析得出的角秒矩越高,肌肉百分比越高(β = .570,p = .033),脂肪百分比越低(β = -.534,p = .049)。较高的反差矩与较高的肌肉百分比(β = .610,p = .021)和较低的脂肪百分比(β = -.599,p = .024)相关。这是首次研究肌肉纹理的超声衍生参数与核磁共振成像之间的关联。我们的初步研究结果表明,超声波衍生纹理分析提供了一种新的指标,可显示骨骼肌百分比降低,从而显示肌内脂肪增加。
本文章由计算机程序翻译,如有差异,请以英文原文为准。

Skeletal Muscle Texture Assessment Using Ultrasonography: Comparison with Magnetic Resonance Imaging in Chronic Kidney Disease.

Skeletal Muscle Texture Assessment Using Ultrasonography: Comparison with Magnetic Resonance Imaging in Chronic Kidney Disease.

Skeletal Muscle Texture Assessment Using Ultrasonography: Comparison with Magnetic Resonance Imaging in Chronic Kidney Disease.

Skeletal Muscle Texture Assessment Using Ultrasonography: Comparison with Magnetic Resonance Imaging in Chronic Kidney Disease.

Skeletal muscle dysfunction is common in chronic kidney disease (CKD). Of interest is the concept of "muscle quality," of which measures include ultrasound-derived echo intensity (EI). Alternative parameters of muscle texture, for example, gray level of co-occurrence matrix (GCLM), are available and may circumvent limitations in EI. The validity of EI is limited in humans, particularly in chronic diseases. This study aimed to investigate the associations between ultrasound-derived parameters of muscle texture with MRI. Images of the thigh were acquired using a 3 Tesla MRI scanner. Quantification of muscle (contractile), fat (non-contractile), and miscellaneous (connective tissue, fascia) components were estimated. Anatomical rectus femoris cross-sectional area was measured using B-mode 2D ultrasonography. To assess muscle texture, first (i.e., EI)- and second (i.e., GLCM)-order statistical analyses were performed. Fourteen participants with CKD were included (age: 58.0 ± 11.9 years, 50% male, eGFR: 27.0 ± 7.4 ml/min/1.73m2, 55% Stage 4). Higher EI was associated with lower muscle % (quadriceps: β = -.568, p = .034; hamstrings: β = -.644, p = .010). Higher EI was associated with a higher fat % in the hamstrings (β = -.626, p = .017). A higher angular second moment from GLCM analysis was associated with greater muscle % (β = .570, p = .033) and lower fat % (β = -.534, p = .049). A higher inverse difference moment was associated with greater muscle % (β = .610, p = .021 and lower fat % (β = -.599, p = .024). This is the first study to investigate the associations between ultrasound-derived parameters of muscle texture with MRI. Our preliminary findings suggest ultrasound-derived texture analysis provides a novel indicator of reduced skeletal muscle % and thus increased intramuscular fat.

求助全文
通过发布文献求助,成功后即可免费获取论文全文。 去求助
来源期刊
Ultrasonic Imaging
Ultrasonic Imaging 医学-工程:生物医学
CiteScore
5.10
自引率
8.70%
发文量
15
审稿时长
>12 weeks
期刊介绍: Ultrasonic Imaging provides rapid publication for original and exceptional papers concerned with the development and application of ultrasonic-imaging technology. Ultrasonic Imaging publishes articles in the following areas: theoretical and experimental aspects of advanced methods and instrumentation for imaging
×
引用
GB/T 7714-2015
复制
MLA
复制
APA
复制
导出至
BibTeX EndNote RefMan NoteFirst NoteExpress
×
提示
您的信息不完整,为了账户安全,请先补充。
现在去补充
×
提示
您因"违规操作"
具体请查看互助需知
我知道了
×
提示
确定
请完成安全验证×
copy
已复制链接
快去分享给好友吧!
我知道了
右上角分享
点击右上角分享
0
联系我们:info@booksci.cn Book学术提供免费学术资源搜索服务,方便国内外学者检索中英文文献。致力于提供最便捷和优质的服务体验。 Copyright © 2023 布克学术 All rights reserved.
京ICP备2023020795号-1
ghs 京公网安备 11010802042870号
Book学术文献互助
Book学术文献互助群
群 号:604180095
Book学术官方微信