用功能性近红外光谱评估与预期口红质地偏差相关的右前额叶激活。

IF 1.9 Q3 ERGONOMICS
Frontiers in neuroergonomics Pub Date : 2024-05-01 eCollection Date: 2024-01-01 DOI:10.3389/fnrgo.2024.1331083
Kazue Hirabayashi, Keith Kawabata Duncan, Keiko Tagai, Yasushi Kyutoku, Ippeita Dan
{"title":"用功能性近红外光谱评估与预期口红质地偏差相关的右前额叶激活。","authors":"Kazue Hirabayashi, Keith Kawabata Duncan, Keiko Tagai, Yasushi Kyutoku, Ippeita Dan","doi":"10.3389/fnrgo.2024.1331083","DOIUrl":null,"url":null,"abstract":"<p><strong>Introduction: </strong>There is a continuous consumer demand for ever superior cosmetic products. In marketing, various forms of sensory evaluation are used to measure the consumer experience and provide data with which to improve cosmetics. Nonetheless, potential downsides of existing approaches have led to the exploration of the use of neuroimaging methods, such as functional near-infrared spectroscopy (fNIRS), to provide addition information about consumers' experiences with cosmetics. The aim of the present study was to investigate the feasibility of a real-time brain-based product evaluation method which detects the incongruency between a product, in this case lipstick, and a consumer's expectations.</p><p><strong>Method: </strong>Thirty healthy, female, habitual lipstick users were asked to apply six different lipsticks varying in softness and to rate the softness of and their willingness to pay (WTP) for each lipstick. Cerebral hemodynamic responses in frontal areas were measured with fNIRS during lipstick application and analyzed using the general linear model (GLM). Incongruency scores between softness and expectation were calculated in order to understand how far removed each lipstick was from a participant's optimal softness preference. The correlation between brain activation (beta scores) during the application of each lipstick and the respective incongruency scores from each participant were acquired using semi-partial correlation analysis, controlling for the effects of WTP.</p><p><strong>Results: </strong>We revealed a significant intra-subject correlation between incongruency scores and activation in the right inferior frontal gyrus (IFG). This confirms that as the texture incongruency scores increased for the lipstick samples, activation in each individual's right IFG also increased.</p><p><strong>Conclusion: </strong>The correlation observed between incongruency perceived by participants and activation of the right IFG not only suggests that the right IFG may play an important role in detecting incongruity when there is a discrepancy between the perceived texture and the consumer's expectations but also that measuring activity in the IFG may provide a new objective measurement of the consumer experience, thus contributing to the development of superior cosmetics.</p>","PeriodicalId":517413,"journal":{"name":"Frontiers in neuroergonomics","volume":"5 ","pages":"1331083"},"PeriodicalIF":1.9000,"publicationDate":"2024-05-01","publicationTypes":"Journal Article","fieldsOfStudy":null,"isOpenAccess":false,"openAccessPdf":"https://www.ncbi.nlm.nih.gov/pmc/articles/PMC11094294/pdf/","citationCount":"0","resultStr":"{\"title\":\"Right prefrontal activation associated with deviations from expected lipstick texture assessed with functional near-infrared spectroscopy.\",\"authors\":\"Kazue Hirabayashi, Keith Kawabata Duncan, Keiko Tagai, Yasushi Kyutoku, Ippeita Dan\",\"doi\":\"10.3389/fnrgo.2024.1331083\",\"DOIUrl\":null,\"url\":null,\"abstract\":\"<p><strong>Introduction: </strong>There is a continuous consumer demand for ever superior cosmetic products. In marketing, various forms of sensory evaluation are used to measure the consumer experience and provide data with which to improve cosmetics. Nonetheless, potential downsides of existing approaches have led to the exploration of the use of neuroimaging methods, such as functional near-infrared spectroscopy (fNIRS), to provide addition information about consumers' experiences with cosmetics. The aim of the present study was to investigate the feasibility of a real-time brain-based product evaluation method which detects the incongruency between a product, in this case lipstick, and a consumer's expectations.</p><p><strong>Method: </strong>Thirty healthy, female, habitual lipstick users were asked to apply six different lipsticks varying in softness and to rate the softness of and their willingness to pay (WTP) for each lipstick. Cerebral hemodynamic responses in frontal areas were measured with fNIRS during lipstick application and analyzed using the general linear model (GLM). Incongruency scores between softness and expectation were calculated in order to understand how far removed each lipstick was from a participant's optimal softness preference. The correlation between brain activation (beta scores) during the application of each lipstick and the respective incongruency scores from each participant were acquired using semi-partial correlation analysis, controlling for the effects of WTP.</p><p><strong>Results: </strong>We revealed a significant intra-subject correlation between incongruency scores and activation in the right inferior frontal gyrus (IFG). This confirms that as the texture incongruency scores increased for the lipstick samples, activation in each individual's right IFG also increased.</p><p><strong>Conclusion: </strong>The correlation observed between incongruency perceived by participants and activation of the right IFG not only suggests that the right IFG may play an important role in detecting incongruity when there is a discrepancy between the perceived texture and the consumer's expectations but also that measuring activity in the IFG may provide a new objective measurement of the consumer experience, thus contributing to the development of superior cosmetics.</p>\",\"PeriodicalId\":517413,\"journal\":{\"name\":\"Frontiers in neuroergonomics\",\"volume\":\"5 \",\"pages\":\"1331083\"},\"PeriodicalIF\":1.9000,\"publicationDate\":\"2024-05-01\",\"publicationTypes\":\"Journal Article\",\"fieldsOfStudy\":null,\"isOpenAccess\":false,\"openAccessPdf\":\"https://www.ncbi.nlm.nih.gov/pmc/articles/PMC11094294/pdf/\",\"citationCount\":\"0\",\"resultStr\":null,\"platform\":\"Semanticscholar\",\"paperid\":null,\"PeriodicalName\":\"Frontiers in neuroergonomics\",\"FirstCategoryId\":\"1085\",\"ListUrlMain\":\"https://doi.org/10.3389/fnrgo.2024.1331083\",\"RegionNum\":0,\"RegionCategory\":null,\"ArticlePicture\":[],\"TitleCN\":null,\"AbstractTextCN\":null,\"PMCID\":null,\"EPubDate\":\"2024/1/1 0:00:00\",\"PubModel\":\"eCollection\",\"JCR\":\"Q3\",\"JCRName\":\"ERGONOMICS\",\"Score\":null,\"Total\":0}","platform":"Semanticscholar","paperid":null,"PeriodicalName":"Frontiers in neuroergonomics","FirstCategoryId":"1085","ListUrlMain":"https://doi.org/10.3389/fnrgo.2024.1331083","RegionNum":0,"RegionCategory":null,"ArticlePicture":[],"TitleCN":null,"AbstractTextCN":null,"PMCID":null,"EPubDate":"2024/1/1 0:00:00","PubModel":"eCollection","JCR":"Q3","JCRName":"ERGONOMICS","Score":null,"Total":0}
引用次数: 0

摘要

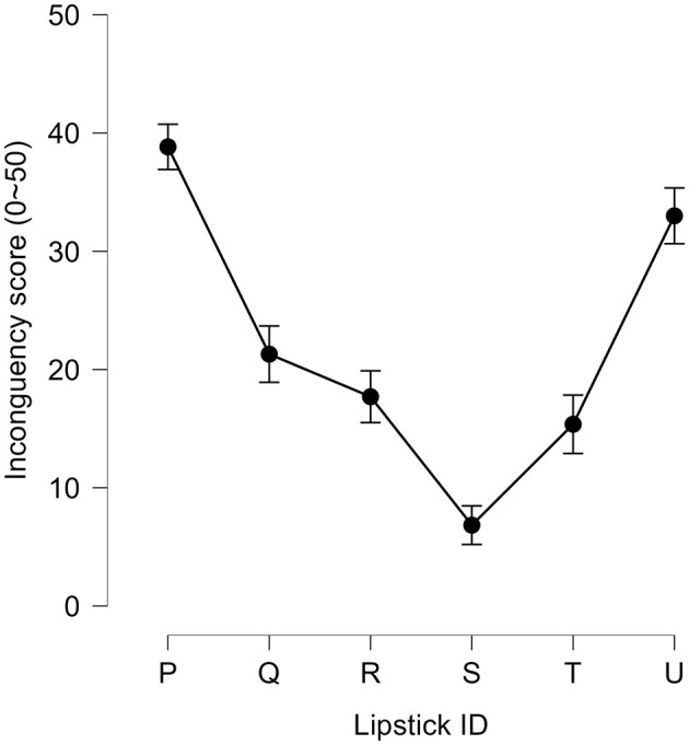
简介消费者对优质化妆品的需求与日俱增。在市场营销中,各种形式的感官评估被用来衡量消费者的体验,并为改进化妆品提供数据。然而,现有方法的潜在缺点导致人们开始探索使用神经成像方法,如功能性近红外光谱(fNIRS),来提供更多有关消费者使用化妆品体验的信息。本研究的目的是调查基于大脑的实时产品评估方法的可行性,该方法可检测产品(本例中为口红)与消费者期望之间的不一致性:方法:要求 30 位健康的女性口红习惯使用者涂抹六种不同软度的口红,并对每种口红的软度及其支付意愿(WTP)进行评分。在涂抹口红的过程中,使用 fNIRS 测量了额叶区域的脑血流动力学反应,并使用一般线性模型 (GLM) 进行了分析。为了了解每支口红与受试者的最佳软硬度偏好相差多远,我们计算了软硬度与期望值之间的不一致性得分。使用半部分相关分析法获得了涂抹每支口红时的大脑激活(贝塔分数)与每位受试者各自的不一致性分数之间的相关性,并控制了 WTP 的影响:结果:我们发现不一致性得分与右侧额叶下回(IFG)的激活之间存在明显的受试内相关性。这证实了随着口红样本质地不一致得分的增加,每个人右侧额叶下回的激活也随之增加:结论:在参与者感知到的不一致性与右侧 IFG 的激活之间观察到的相关性不仅表明,当感知到的质地与消费者的期望不一致时,右侧 IFG 可能在检测不一致性方面发挥重要作用,而且测量 IFG 的活动可能会为消费者体验提供一种新的客观测量方法,从而促进优质化妆品的开发。
本文章由计算机程序翻译,如有差异,请以英文原文为准。

Right prefrontal activation associated with deviations from expected lipstick texture assessed with functional near-infrared spectroscopy.

Right prefrontal activation associated with deviations from expected lipstick texture assessed with functional near-infrared spectroscopy.

Right prefrontal activation associated with deviations from expected lipstick texture assessed with functional near-infrared spectroscopy.

Right prefrontal activation associated with deviations from expected lipstick texture assessed with functional near-infrared spectroscopy.

Introduction: There is a continuous consumer demand for ever superior cosmetic products. In marketing, various forms of sensory evaluation are used to measure the consumer experience and provide data with which to improve cosmetics. Nonetheless, potential downsides of existing approaches have led to the exploration of the use of neuroimaging methods, such as functional near-infrared spectroscopy (fNIRS), to provide addition information about consumers' experiences with cosmetics. The aim of the present study was to investigate the feasibility of a real-time brain-based product evaluation method which detects the incongruency between a product, in this case lipstick, and a consumer's expectations.

Method: Thirty healthy, female, habitual lipstick users were asked to apply six different lipsticks varying in softness and to rate the softness of and their willingness to pay (WTP) for each lipstick. Cerebral hemodynamic responses in frontal areas were measured with fNIRS during lipstick application and analyzed using the general linear model (GLM). Incongruency scores between softness and expectation were calculated in order to understand how far removed each lipstick was from a participant's optimal softness preference. The correlation between brain activation (beta scores) during the application of each lipstick and the respective incongruency scores from each participant were acquired using semi-partial correlation analysis, controlling for the effects of WTP.

Results: We revealed a significant intra-subject correlation between incongruency scores and activation in the right inferior frontal gyrus (IFG). This confirms that as the texture incongruency scores increased for the lipstick samples, activation in each individual's right IFG also increased.

Conclusion: The correlation observed between incongruency perceived by participants and activation of the right IFG not only suggests that the right IFG may play an important role in detecting incongruity when there is a discrepancy between the perceived texture and the consumer's expectations but also that measuring activity in the IFG may provide a new objective measurement of the consumer experience, thus contributing to the development of superior cosmetics.

求助全文
通过发布文献求助,成功后即可免费获取论文全文。 去求助
来源期刊
自引率
0.00%
发文量
0
×
引用
GB/T 7714-2015
复制
MLA
复制
APA
复制
导出至
BibTeX EndNote RefMan NoteFirst NoteExpress
×
提示
您的信息不完整,为了账户安全,请先补充。
现在去补充
×
提示
您因"违规操作"
具体请查看互助需知
我知道了
×
提示
确定
请完成安全验证×
copy
已复制链接
快去分享给好友吧!
我知道了
右上角分享
点击右上角分享
0
联系我们:info@booksci.cn Book学术提供免费学术资源搜索服务,方便国内外学者检索中英文文献。致力于提供最便捷和优质的服务体验。 Copyright © 2023 布克学术 All rights reserved.
京ICP备2023020795号-1
ghs 京公网安备 11010802042870号
Book学术文献互助
Book学术文献互助群
群 号:604180095
Book学术官方微信