腺鳞癌的流行病学。

IF 2.2 Q3 ONCOLOGY
World Journal of Oncology Pub Date : 2024-06-01 Epub Date: 2024-05-07 DOI:10.14740/wjon1845
Matthew G K Benesch, Vicente O Ramos-Santillan, Colin J Rog, Erek D Nelson, Kazuaki Takabe
{"title":"腺鳞癌的流行病学。","authors":"Matthew G K Benesch, Vicente O Ramos-Santillan, Colin J Rog, Erek D Nelson, Kazuaki Takabe","doi":"10.14740/wjon1845","DOIUrl":null,"url":null,"abstract":"<p><strong>Background: </strong>Adenosquamous carcinomas (ASCs) are a very rare histology containing cancer cells with both glandular-like (adeno) and squamous cell histologies, comprising typically a fraction of a percent of all solid tumors. The bulk of the literature on ASCs is comprised of case reports and small series, with the general finding that ASCs tend to have worse outcomes than either of their parent histologies. However, there is a lack of pan site-comparative studies in the literature that compare ASC clinicodemographic and survival outcomes with those of conventional adenocarcinomas (ACs) and squamous cell carcinomas (SCCs).</p><p><strong>Methods: </strong>In this study, we summarize these outcomes in eight primary sites, comprising 92.7% of all ASC cases diagnosed from 1975 to 2020 in the Surveillance, Epidemiology, and End Results (SEER) database.</p><p><strong>Results: </strong>Lung ASCs comprise 51.5% of all ASC cases, accounting for 1.1% of all lung cancer cases, followed by uterine/cervical cancers at 29.7% of all ASC cases, translating into 1.8% of all cancers in this site. In descending order, the remaining 20% of ASCs arise in pancreatic, oral cavity, biliary, esophageal, colorectal, and gastric sites, comprising between 0.1% and 0.7% of all cancers in these sites. Apart from pancreatic and oral cavity cancers, ASC tumors tended to favor higher rates of regional or distant disease at presentation with poor tumor differentiation compared to either AC or SCC histologies. After multivariable analysis, adjusting for age, sex, detection stage, grade differentiation, surgery, chemotherapy, and radiotherapy, except for oral cavity cancers, ASCs tended to have worse overall survivals compared to ACs (hazard ratios: 1.1 - 1.6) and SCC (1.0 - 1.3), with colorectal ASCs having the worse overall survival compared to colorectal ACs, with a hazard ratio of 1.4 (95% confidence interval: 1.3 - 1.6).</p><p><strong>Conclusions: </strong>Overall, these results suggest that ASC outcomes are site specific, and in general, tend to have worse outcomes than nonvariant ACs and SCCs even after correction for common clinical and epidemiological factors. These cancers have a poorly understood but unique tumor biology that warrants further characterization.</p>","PeriodicalId":46797,"journal":{"name":"World Journal of Oncology","volume":"15 3","pages":"432-453"},"PeriodicalIF":2.2000,"publicationDate":"2024-06-01","publicationTypes":"Journal Article","fieldsOfStudy":null,"isOpenAccess":false,"openAccessPdf":"https://www.ncbi.nlm.nih.gov/pmc/articles/PMC11092416/pdf/","citationCount":"0","resultStr":"{\"title\":\"Epidemiology of Adenosquamous Carcinomas.\",\"authors\":\"Matthew G K Benesch, Vicente O Ramos-Santillan, Colin J Rog, Erek D Nelson, Kazuaki Takabe\",\"doi\":\"10.14740/wjon1845\",\"DOIUrl\":null,\"url\":null,\"abstract\":\"<p><strong>Background: </strong>Adenosquamous carcinomas (ASCs) are a very rare histology containing cancer cells with both glandular-like (adeno) and squamous cell histologies, comprising typically a fraction of a percent of all solid tumors. The bulk of the literature on ASCs is comprised of case reports and small series, with the general finding that ASCs tend to have worse outcomes than either of their parent histologies. However, there is a lack of pan site-comparative studies in the literature that compare ASC clinicodemographic and survival outcomes with those of conventional adenocarcinomas (ACs) and squamous cell carcinomas (SCCs).</p><p><strong>Methods: </strong>In this study, we summarize these outcomes in eight primary sites, comprising 92.7% of all ASC cases diagnosed from 1975 to 2020 in the Surveillance, Epidemiology, and End Results (SEER) database.</p><p><strong>Results: </strong>Lung ASCs comprise 51.5% of all ASC cases, accounting for 1.1% of all lung cancer cases, followed by uterine/cervical cancers at 29.7% of all ASC cases, translating into 1.8% of all cancers in this site. In descending order, the remaining 20% of ASCs arise in pancreatic, oral cavity, biliary, esophageal, colorectal, and gastric sites, comprising between 0.1% and 0.7% of all cancers in these sites. Apart from pancreatic and oral cavity cancers, ASC tumors tended to favor higher rates of regional or distant disease at presentation with poor tumor differentiation compared to either AC or SCC histologies. After multivariable analysis, adjusting for age, sex, detection stage, grade differentiation, surgery, chemotherapy, and radiotherapy, except for oral cavity cancers, ASCs tended to have worse overall survivals compared to ACs (hazard ratios: 1.1 - 1.6) and SCC (1.0 - 1.3), with colorectal ASCs having the worse overall survival compared to colorectal ACs, with a hazard ratio of 1.4 (95% confidence interval: 1.3 - 1.6).</p><p><strong>Conclusions: </strong>Overall, these results suggest that ASC outcomes are site specific, and in general, tend to have worse outcomes than nonvariant ACs and SCCs even after correction for common clinical and epidemiological factors. These cancers have a poorly understood but unique tumor biology that warrants further characterization.</p>\",\"PeriodicalId\":46797,\"journal\":{\"name\":\"World Journal of Oncology\",\"volume\":\"15 3\",\"pages\":\"432-453\"},\"PeriodicalIF\":2.2000,\"publicationDate\":\"2024-06-01\",\"publicationTypes\":\"Journal Article\",\"fieldsOfStudy\":null,\"isOpenAccess\":false,\"openAccessPdf\":\"https://www.ncbi.nlm.nih.gov/pmc/articles/PMC11092416/pdf/\",\"citationCount\":\"0\",\"resultStr\":null,\"platform\":\"Semanticscholar\",\"paperid\":null,\"PeriodicalName\":\"World Journal of Oncology\",\"FirstCategoryId\":\"1085\",\"ListUrlMain\":\"https://doi.org/10.14740/wjon1845\",\"RegionNum\":0,\"RegionCategory\":null,\"ArticlePicture\":[],\"TitleCN\":null,\"AbstractTextCN\":null,\"PMCID\":null,\"EPubDate\":\"2024/5/7 0:00:00\",\"PubModel\":\"Epub\",\"JCR\":\"Q3\",\"JCRName\":\"ONCOLOGY\",\"Score\":null,\"Total\":0}","platform":"Semanticscholar","paperid":null,"PeriodicalName":"World Journal of Oncology","FirstCategoryId":"1085","ListUrlMain":"https://doi.org/10.14740/wjon1845","RegionNum":0,"RegionCategory":null,"ArticlePicture":[],"TitleCN":null,"AbstractTextCN":null,"PMCID":null,"EPubDate":"2024/5/7 0:00:00","PubModel":"Epub","JCR":"Q3","JCRName":"ONCOLOGY","Score":null,"Total":0}
引用次数: 0

摘要

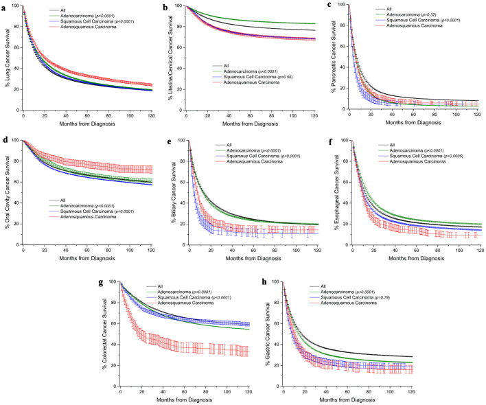
背景:腺鳞癌(ASCs)是一种非常罕见的组织学,其癌细胞同时具有腺样(腺)和鳞状细胞两种组织学,通常只占所有实体瘤的几分之一。有关腺样细胞瘤的大部分文献都是病例报告和小型系列研究,普遍发现腺样细胞瘤的预后往往比其母体组织学中的任何一种都要差。然而,文献中缺乏将 ASC 的临床人口学和生存结果与传统腺癌(AC)和鳞状细胞癌(SCC)的临床人口学和生存结果进行比较的泛位点比较研究:在这项研究中,我们总结了八个主要部位的这些结果,这些部位占监测、流行病学和最终结果(SEER)数据库中1975年至2020年诊断的所有ASC病例的92.7%:肺部ASC占所有ASC病例的51.5%,占所有肺癌病例的1.1%,其次是子宫/宫颈癌,占所有ASC病例的29.7%,占该部位所有癌症的1.8%。其余 20%的间变性癌症依次发生在胰腺癌、口腔癌、胆道癌、食道癌、结直肠癌和胃癌,占这些部位癌症总数的 0.1%至 0.7%。除胰腺癌和口腔癌外,与 AC 或 SCC 组织学相比,ASC 肿瘤在发病时的区域或远处病变率较高,肿瘤分化较差。经过多变量分析,调整年龄、性别、检测分期、分级、手术、化疗和放疗等因素后,除口腔癌外,ASC的总生存率往往低于AC(危险比:1.1 - 1.6)和SCC(1.0 - 1.3),其中结直肠ASC的总生存率低于结直肠AC,危险比为1.4(95%置信区间:1.3 - 1.6):总之,这些结果表明,结直肠间质瘤的预后具有部位特异性,一般来说,即使校正了常见的临床和流行病学因素,其预后也往往比非变异性结直肠间质瘤和结直肠癌更差。这些癌症的肿瘤生物学特性鲜为人知,但很独特,值得进一步研究。
本文章由计算机程序翻译,如有差异,请以英文原文为准。

Epidemiology of Adenosquamous Carcinomas.

Epidemiology of Adenosquamous Carcinomas.

Epidemiology of Adenosquamous Carcinomas.

Background: Adenosquamous carcinomas (ASCs) are a very rare histology containing cancer cells with both glandular-like (adeno) and squamous cell histologies, comprising typically a fraction of a percent of all solid tumors. The bulk of the literature on ASCs is comprised of case reports and small series, with the general finding that ASCs tend to have worse outcomes than either of their parent histologies. However, there is a lack of pan site-comparative studies in the literature that compare ASC clinicodemographic and survival outcomes with those of conventional adenocarcinomas (ACs) and squamous cell carcinomas (SCCs).

Methods: In this study, we summarize these outcomes in eight primary sites, comprising 92.7% of all ASC cases diagnosed from 1975 to 2020 in the Surveillance, Epidemiology, and End Results (SEER) database.

Results: Lung ASCs comprise 51.5% of all ASC cases, accounting for 1.1% of all lung cancer cases, followed by uterine/cervical cancers at 29.7% of all ASC cases, translating into 1.8% of all cancers in this site. In descending order, the remaining 20% of ASCs arise in pancreatic, oral cavity, biliary, esophageal, colorectal, and gastric sites, comprising between 0.1% and 0.7% of all cancers in these sites. Apart from pancreatic and oral cavity cancers, ASC tumors tended to favor higher rates of regional or distant disease at presentation with poor tumor differentiation compared to either AC or SCC histologies. After multivariable analysis, adjusting for age, sex, detection stage, grade differentiation, surgery, chemotherapy, and radiotherapy, except for oral cavity cancers, ASCs tended to have worse overall survivals compared to ACs (hazard ratios: 1.1 - 1.6) and SCC (1.0 - 1.3), with colorectal ASCs having the worse overall survival compared to colorectal ACs, with a hazard ratio of 1.4 (95% confidence interval: 1.3 - 1.6).

Conclusions: Overall, these results suggest that ASC outcomes are site specific, and in general, tend to have worse outcomes than nonvariant ACs and SCCs even after correction for common clinical and epidemiological factors. These cancers have a poorly understood but unique tumor biology that warrants further characterization.

求助全文
通过发布文献求助,成功后即可免费获取论文全文。 去求助
来源期刊
CiteScore
6.10
自引率
15.40%
发文量
37
期刊介绍: World Journal of Oncology, bimonthly, publishes original contributions describing basic research and clinical investigation of cancer, on the cellular, molecular, prevention, diagnosis, therapy and prognosis aspects. The submissions can be basic research or clinical investigation oriented. This journal welcomes those submissions focused on the clinical trials of new treatment modalities for cancer, and those submissions focused on molecular or cellular research of the oncology pathogenesis. Case reports submitted for consideration of publication should explore either a novel genomic event/description or a new safety signal from an oncolytic agent. The areas of interested manuscripts are these disciplines: tumor immunology and immunotherapy; cancer molecular pharmacology and chemotherapy; drug sensitivity and resistance; cancer epidemiology; clinical trials; cancer pathology; radiobiology and radiation oncology; solid tumor oncology; hematological malignancies; surgical oncology; pediatric oncology; molecular oncology and cancer genes; gene therapy; cancer endocrinology; cancer metastasis; prevention and diagnosis of cancer; other cancer related subjects. The types of manuscripts accepted are original article, review, editorial, short communication, case report, letter to the editor, book review.
×
引用
GB/T 7714-2015
复制
MLA
复制
APA
复制
导出至
BibTeX EndNote RefMan NoteFirst NoteExpress
×
提示
您的信息不完整,为了账户安全,请先补充。
现在去补充
×
提示
您因"违规操作"
具体请查看互助需知
我知道了
×
提示
确定
请完成安全验证×
copy
已复制链接
快去分享给好友吧!
我知道了
右上角分享
点击右上角分享
0
联系我们:info@booksci.cn Book学术提供免费学术资源搜索服务,方便国内外学者检索中英文文献。致力于提供最便捷和优质的服务体验。 Copyright © 2023 布克学术 All rights reserved.
京ICP备2023020795号-1
ghs 京公网安备 11010802042870号
Book学术文献互助
Book学术文献互助群
群 号:604180095
Book学术官方微信