短效避孕药缺货趋势及相关因素:对敏捷行动绩效监测平台数据的多国分析。

IF 2.5 3区 医学 Q2 PUBLIC, ENVIRONMENTAL & OCCUPATIONAL HEALTH
Alain K Koffi, Pierre Muhoza, Saifuddin Ahmed, Philip Anglewicz, Funmilola OlaOlorun, Elizabeth Omoluabi, Mary Thiongo, Peter Gichangi, Georges Guiella, Pierre Akilimali, P R Sodani, Amy Tsui, Scott Radloff
{"title":"短效避孕药缺货趋势及相关因素:对敏捷行动绩效监测平台数据的多国分析。","authors":"Alain K Koffi, Pierre Muhoza, Saifuddin Ahmed, Philip Anglewicz, Funmilola OlaOlorun, Elizabeth Omoluabi, Mary Thiongo, Peter Gichangi, Georges Guiella, Pierre Akilimali, P R Sodani, Amy Tsui, Scott Radloff","doi":"10.9745/GHSP-D-23-00411","DOIUrl":null,"url":null,"abstract":"<p><p>Understanding trends in contraceptive stock-outs, as well as their structural and demand-side correlates, is critical for policymakers and program managers to identify strategies to further anticipate, reduce, and prevent stock-outs. We analyzed trends as well as supply- and demand-side correlates of short-acting contraceptive method stock-outs by using data from multiple rounds of Performance Monitoring for Action Agile surveys. These data longitudinally measured contraceptive availability over 2 years (between November 2017 and January 2020) across 2,134 public and private service delivery points (SDPs) from urban areas of 5 countries (Burkina Faso, Democratic Republic of the Congo [DRC], India, Kenya, and Nigeria). For each country, we analyzed the trends and used multilevel mixed-effect logistic regression to model the odds of short-acting contraceptive stock-outs, adjusting for key structural and demand-side factors of the SDPs. Stock-outs in short-acting contraceptive methods were common in health facilities and varied markedly, ranging from as low as 2.9% (95% confidence interval [CI]=1.7%, 5.1%) in India to 51.0% (95% CIs=46.8%, 56.0%) in Kenya. During the observation period, stock-out rates decreased by 28% in the SDP samples in India (aOR=0.72, <i>P</i><.001) and 8% in Nigeria (aOR=0.92, <i>P</i><.001) but increased by 15% in DRC (aOR=1.15; <i>P=</i>036) and 5% in Kenya (aOR=1.05, <i>P=</i>003) with each round of data collection. Correlates of stock-out rates included the facility managerial authority (private versus public), whether the facility was rated high quality, whether the facility was at an advanced tier, and whether there was high demand for short-acting contraceptives. In conclusion, stock-outs of short-acting contraceptives are still common in many settings. Measuring and monitoring contraceptive stock-outs is crucial for identifying and addressing issues related to the availability and supply of short-acting contraceptives.</p>","PeriodicalId":12692,"journal":{"name":"Global Health: Science and Practice","volume":" ","pages":""},"PeriodicalIF":2.5000,"publicationDate":"2024-06-27","publicationTypes":"Journal Article","fieldsOfStudy":null,"isOpenAccess":false,"openAccessPdf":"https://www.ncbi.nlm.nih.gov/pmc/articles/PMC11216709/pdf/","citationCount":"0","resultStr":"{\"title\":\"Trends in and Correlates of Short-Acting Contraceptive Stock-Outs: Multicountry Analysis of Performance Monitoring for Action Agile Platform Data.\",\"authors\":\"Alain K Koffi, Pierre Muhoza, Saifuddin Ahmed, Philip Anglewicz, Funmilola OlaOlorun, Elizabeth Omoluabi, Mary Thiongo, Peter Gichangi, Georges Guiella, Pierre Akilimali, P R Sodani, Amy Tsui, Scott Radloff\",\"doi\":\"10.9745/GHSP-D-23-00411\",\"DOIUrl\":null,\"url\":null,\"abstract\":\"<p><p>Understanding trends in contraceptive stock-outs, as well as their structural and demand-side correlates, is critical for policymakers and program managers to identify strategies to further anticipate, reduce, and prevent stock-outs. We analyzed trends as well as supply- and demand-side correlates of short-acting contraceptive method stock-outs by using data from multiple rounds of Performance Monitoring for Action Agile surveys. These data longitudinally measured contraceptive availability over 2 years (between November 2017 and January 2020) across 2,134 public and private service delivery points (SDPs) from urban areas of 5 countries (Burkina Faso, Democratic Republic of the Congo [DRC], India, Kenya, and Nigeria). For each country, we analyzed the trends and used multilevel mixed-effect logistic regression to model the odds of short-acting contraceptive stock-outs, adjusting for key structural and demand-side factors of the SDPs. Stock-outs in short-acting contraceptive methods were common in health facilities and varied markedly, ranging from as low as 2.9% (95% confidence interval [CI]=1.7%, 5.1%) in India to 51.0% (95% CIs=46.8%, 56.0%) in Kenya. During the observation period, stock-out rates decreased by 28% in the SDP samples in India (aOR=0.72, <i>P</i><.001) and 8% in Nigeria (aOR=0.92, <i>P</i><.001) but increased by 15% in DRC (aOR=1.15; <i>P=</i>036) and 5% in Kenya (aOR=1.05, <i>P=</i>003) with each round of data collection. Correlates of stock-out rates included the facility managerial authority (private versus public), whether the facility was rated high quality, whether the facility was at an advanced tier, and whether there was high demand for short-acting contraceptives. In conclusion, stock-outs of short-acting contraceptives are still common in many settings. Measuring and monitoring contraceptive stock-outs is crucial for identifying and addressing issues related to the availability and supply of short-acting contraceptives.</p>\",\"PeriodicalId\":12692,\"journal\":{\"name\":\"Global Health: Science and Practice\",\"volume\":\" \",\"pages\":\"\"},\"PeriodicalIF\":2.5000,\"publicationDate\":\"2024-06-27\",\"publicationTypes\":\"Journal Article\",\"fieldsOfStudy\":null,\"isOpenAccess\":false,\"openAccessPdf\":\"https://www.ncbi.nlm.nih.gov/pmc/articles/PMC11216709/pdf/\",\"citationCount\":\"0\",\"resultStr\":null,\"platform\":\"Semanticscholar\",\"paperid\":null,\"PeriodicalName\":\"Global Health: Science and Practice\",\"FirstCategoryId\":\"3\",\"ListUrlMain\":\"https://doi.org/10.9745/GHSP-D-23-00411\",\"RegionNum\":3,\"RegionCategory\":\"医学\",\"ArticlePicture\":[],\"TitleCN\":null,\"AbstractTextCN\":null,\"PMCID\":null,\"EPubDate\":\"\",\"PubModel\":\"\",\"JCR\":\"Q2\",\"JCRName\":\"PUBLIC, ENVIRONMENTAL & OCCUPATIONAL HEALTH\",\"Score\":null,\"Total\":0}","platform":"Semanticscholar","paperid":null,"PeriodicalName":"Global Health: Science and Practice","FirstCategoryId":"3","ListUrlMain":"https://doi.org/10.9745/GHSP-D-23-00411","RegionNum":3,"RegionCategory":"医学","ArticlePicture":[],"TitleCN":null,"AbstractTextCN":null,"PMCID":null,"EPubDate":"","PubModel":"","JCR":"Q2","JCRName":"PUBLIC, ENVIRONMENTAL & OCCUPATIONAL HEALTH","Score":null,"Total":0}
引用次数: 0

摘要

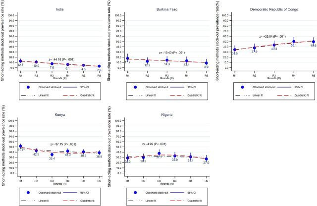
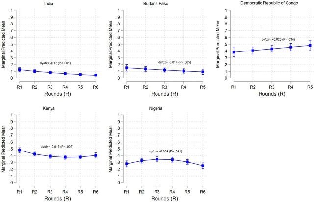
了解避孕药具缺货的趋势及其结构和需求方面的相关因素,对于政策制定者和项目管理人员确定进一步预测、减少和预防缺货的策略至关重要。我们利用多轮 "敏捷行动绩效监测 "调查的数据,分析了短效避孕方法缺货的趋势以及供需双方的相关性。这些数据纵向测量了 5 个国家(布基纳法索、刚果民主共和国[DRC]、印度、肯尼亚和尼日利亚)城市地区 2,134 个公共和私营服务提供点(SDPs)两年内(2017 年 11 月至 2020 年 1 月)的避孕药具可用性。我们对每个国家的趋势进行了分析,并使用多层次混合效应逻辑回归对短效避孕药具缺货的几率进行了建模,同时对服务点的主要结构和需求方因素进行了调整。短效避孕药具缺货在医疗机构中很常见,而且差异很大,印度的缺货率低至 2.9%(95% 置信区间 [CI]=1.7%,5.1%),而肯尼亚的缺货率则高达 51.0%(95% 置信区间=46.8%,56.0%)。在观察期内,随着每一轮数据收集,印度 SDP 样本的缺货率下降了 28%(aOR=0.72,PPP=036),肯尼亚的缺货率下降了 5%(aOR=1.05,P=003)。缺货率的相关因素包括设施的管理权限(私立还是公立)、设施是否被评为优质、设施是否处于高级层次以及短效避孕药具的需求量是否很大。总之,短效避孕药具缺货在许多地方仍然很常见。测量和监测避孕药具缺货情况对于确定和解决与短效避孕药具的可用性和供应相关的问题至关重要。
本文章由计算机程序翻译,如有差异,请以英文原文为准。

Trends in and Correlates of Short-Acting Contraceptive Stock-Outs: Multicountry Analysis of Performance Monitoring for Action Agile Platform Data.

Trends in and Correlates of Short-Acting Contraceptive Stock-Outs: Multicountry Analysis of Performance Monitoring for Action Agile Platform Data.

Trends in and Correlates of Short-Acting Contraceptive Stock-Outs: Multicountry Analysis of Performance Monitoring for Action Agile Platform Data.

Trends in and Correlates of Short-Acting Contraceptive Stock-Outs: Multicountry Analysis of Performance Monitoring for Action Agile Platform Data.

Understanding trends in contraceptive stock-outs, as well as their structural and demand-side correlates, is critical for policymakers and program managers to identify strategies to further anticipate, reduce, and prevent stock-outs. We analyzed trends as well as supply- and demand-side correlates of short-acting contraceptive method stock-outs by using data from multiple rounds of Performance Monitoring for Action Agile surveys. These data longitudinally measured contraceptive availability over 2 years (between November 2017 and January 2020) across 2,134 public and private service delivery points (SDPs) from urban areas of 5 countries (Burkina Faso, Democratic Republic of the Congo [DRC], India, Kenya, and Nigeria). For each country, we analyzed the trends and used multilevel mixed-effect logistic regression to model the odds of short-acting contraceptive stock-outs, adjusting for key structural and demand-side factors of the SDPs. Stock-outs in short-acting contraceptive methods were common in health facilities and varied markedly, ranging from as low as 2.9% (95% confidence interval [CI]=1.7%, 5.1%) in India to 51.0% (95% CIs=46.8%, 56.0%) in Kenya. During the observation period, stock-out rates decreased by 28% in the SDP samples in India (aOR=0.72, P<.001) and 8% in Nigeria (aOR=0.92, P<.001) but increased by 15% in DRC (aOR=1.15; P=036) and 5% in Kenya (aOR=1.05, P=003) with each round of data collection. Correlates of stock-out rates included the facility managerial authority (private versus public), whether the facility was rated high quality, whether the facility was at an advanced tier, and whether there was high demand for short-acting contraceptives. In conclusion, stock-outs of short-acting contraceptives are still common in many settings. Measuring and monitoring contraceptive stock-outs is crucial for identifying and addressing issues related to the availability and supply of short-acting contraceptives.

求助全文
通过发布文献求助,成功后即可免费获取论文全文。 去求助
来源期刊
Global Health: Science and Practice
Global Health: Science and Practice Medicine-Health Policy
CiteScore
3.50
自引率
7.50%
发文量
178
审稿时长
22 weeks
期刊介绍: Global Health: Science and Practice (GHSP) is a no-fee, open-access, peer-reviewed, online journal aimed to improve health practice, especially in low- and middle-income countries. Our goal is to reach those who design, implement, manage, evaluate, and otherwise support health programs. We are especially interested in advancing knowledge on practical program implementation issues, with information on what programs entail and how they are implemented. GHSP is currently indexed in PubMed, PubMed Central, POPLINE, EBSCO, SCOPUS,. the Web of Science Emerging Sources Citation Index, and the USAID Development Experience Clearinghouse (DEC). TOPICS: Issued four times a year, GHSP will include articles on all global health topics, covering diverse programming models and a wide range of cross-cutting issues that impact and support health systems. Examples include but are not limited to: Health: Addiction and harm reduction, Child Health, Communicable and Emerging Diseases, Disaster Preparedness and Response, Environmental Health, Family Planning/Reproductive Health, HIV/AIDS, Malaria, Maternal Health, Neglected Tropical Diseases, Non-Communicable Diseases/Injuries, Nutrition, Tuberculosis, Water and Sanitation. Cross-Cutting Issues: Epidemiology, Gender, Health Communication/Healthy Behavior, Health Policy and Advocacy, Health Systems, Human Resources/Training, Knowledge Management, Logistics and Supply Chain Management, Management and Governance, mHealth/eHealth/digital health, Monitoring and Evaluation, Scale Up, Youth.
×
引用
GB/T 7714-2015
复制
MLA
复制
APA
复制
导出至
BibTeX EndNote RefMan NoteFirst NoteExpress
×
提示
您的信息不完整,为了账户安全,请先补充。
现在去补充
×
提示
您因"违规操作"
具体请查看互助需知
我知道了
×
提示
确定
请完成安全验证×
copy
已复制链接
快去分享给好友吧!
我知道了
右上角分享
点击右上角分享
0
联系我们:info@booksci.cn Book学术提供免费学术资源搜索服务,方便国内外学者检索中英文文献。致力于提供最便捷和优质的服务体验。 Copyright © 2023 布克学术 All rights reserved.
京ICP备2023020795号-1
ghs 京公网安备 11010802042870号
Book学术文献互助
Book学术文献互助群
群 号:604180095
Book学术官方微信