囊性纤维化儿童和成人在开始接受高效 CFTR 调节剂治疗后维生素和微量元素的变化 - 现实生活的启示。

IF 3.4 Q1 PEDIATRICS
Dorit Fabricius, Tina Knieling, Noelle Zurmuehl, Leandra Makedon, Joachim Freihorst, Hanna Schmidt, Sebastian Bode
{"title":"囊性纤维化儿童和成人在开始接受高效 CFTR 调节剂治疗后维生素和微量元素的变化 - 现实生活的启示。","authors":"Dorit Fabricius, Tina Knieling, Noelle Zurmuehl, Leandra Makedon, Joachim Freihorst, Hanna Schmidt, Sebastian Bode","doi":"10.1186/s40348-024-00178-6","DOIUrl":null,"url":null,"abstract":"<p><strong>Background: </strong>Highly-effective CFTR-modulator therapy with elexa-/teza-/ivacaftor (ETI) has led to improvements in pulmonary outcomes, sweat chloride, body mass index (BMI) and quality of life in people with cystic fibrosis (CF). Improved uptake of fat-soluble vitamins and micronutrients has been reported for CFTR-modulators but data regarding ETI therapy is lacking.</p><p><strong>Methods: </strong>This single-center retrospective study evaluated forced expiratory volume in one second (FEV-1), sweat chloride, BMI, transaminases (AST, ALT), bilirubin, vitamins A, D, E, zinc and selenium in children and adults eligible for ETI. Parameters were assessed before and up to one year after initiation of ETI.</p><p><strong>Results: </strong>58 patients (median age m = 28 years, SD ± 11.6 years, 51.7% female14 < 18 years old) were included. FEV-1 and sweat chloride improved significantly after ETI. There were no changes in BMI or AST. ALT was increased significantly after 4 weeks of ETI but returned to normal levels in further course. Bilirubin levels remained elevated after ETI. Vitamin A was significantly higher 12 months after ETI. No changes were found for vitamins D, E, zinc and selenium.</p><p><strong>Conclusions: </strong>This study adds to the evidence that improvements of some fat-soluble vitamin levels can be found after ETI. No changes regarding micronutrients were noted. Individualized follow-up and supplementation are recommended.</p>","PeriodicalId":74215,"journal":{"name":"Molecular and cellular pediatrics","volume":"11 1","pages":"4"},"PeriodicalIF":3.4000,"publicationDate":"2024-05-08","publicationTypes":"Journal Article","fieldsOfStudy":null,"isOpenAccess":false,"openAccessPdf":"https://www.ncbi.nlm.nih.gov/pmc/articles/PMC11078909/pdf/","citationCount":"0","resultStr":"{\"title\":\"Changes in vitamins and trace elements after initiation of highly effective CFTR modulator therapy in children and adults with cystic fibrosis - a real-life insight.\",\"authors\":\"Dorit Fabricius, Tina Knieling, Noelle Zurmuehl, Leandra Makedon, Joachim Freihorst, Hanna Schmidt, Sebastian Bode\",\"doi\":\"10.1186/s40348-024-00178-6\",\"DOIUrl\":null,\"url\":null,\"abstract\":\"<p><strong>Background: </strong>Highly-effective CFTR-modulator therapy with elexa-/teza-/ivacaftor (ETI) has led to improvements in pulmonary outcomes, sweat chloride, body mass index (BMI) and quality of life in people with cystic fibrosis (CF). Improved uptake of fat-soluble vitamins and micronutrients has been reported for CFTR-modulators but data regarding ETI therapy is lacking.</p><p><strong>Methods: </strong>This single-center retrospective study evaluated forced expiratory volume in one second (FEV-1), sweat chloride, BMI, transaminases (AST, ALT), bilirubin, vitamins A, D, E, zinc and selenium in children and adults eligible for ETI. Parameters were assessed before and up to one year after initiation of ETI.</p><p><strong>Results: </strong>58 patients (median age m = 28 years, SD ± 11.6 years, 51.7% female14 < 18 years old) were included. FEV-1 and sweat chloride improved significantly after ETI. There were no changes in BMI or AST. ALT was increased significantly after 4 weeks of ETI but returned to normal levels in further course. Bilirubin levels remained elevated after ETI. Vitamin A was significantly higher 12 months after ETI. No changes were found for vitamins D, E, zinc and selenium.</p><p><strong>Conclusions: </strong>This study adds to the evidence that improvements of some fat-soluble vitamin levels can be found after ETI. No changes regarding micronutrients were noted. Individualized follow-up and supplementation are recommended.</p>\",\"PeriodicalId\":74215,\"journal\":{\"name\":\"Molecular and cellular pediatrics\",\"volume\":\"11 1\",\"pages\":\"4\"},\"PeriodicalIF\":3.4000,\"publicationDate\":\"2024-05-08\",\"publicationTypes\":\"Journal Article\",\"fieldsOfStudy\":null,\"isOpenAccess\":false,\"openAccessPdf\":\"https://www.ncbi.nlm.nih.gov/pmc/articles/PMC11078909/pdf/\",\"citationCount\":\"0\",\"resultStr\":null,\"platform\":\"Semanticscholar\",\"paperid\":null,\"PeriodicalName\":\"Molecular and cellular pediatrics\",\"FirstCategoryId\":\"1085\",\"ListUrlMain\":\"https://doi.org/10.1186/s40348-024-00178-6\",\"RegionNum\":0,\"RegionCategory\":null,\"ArticlePicture\":[],\"TitleCN\":null,\"AbstractTextCN\":null,\"PMCID\":null,\"EPubDate\":\"\",\"PubModel\":\"\",\"JCR\":\"Q1\",\"JCRName\":\"PEDIATRICS\",\"Score\":null,\"Total\":0}","platform":"Semanticscholar","paperid":null,"PeriodicalName":"Molecular and cellular pediatrics","FirstCategoryId":"1085","ListUrlMain":"https://doi.org/10.1186/s40348-024-00178-6","RegionNum":0,"RegionCategory":null,"ArticlePicture":[],"TitleCN":null,"AbstractTextCN":null,"PMCID":null,"EPubDate":"","PubModel":"","JCR":"Q1","JCRName":"PEDIATRICS","Score":null,"Total":0}
引用次数: 0

摘要

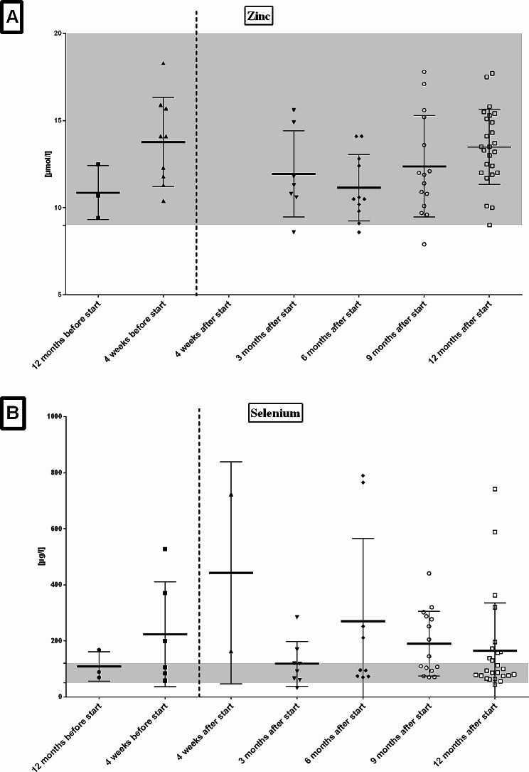
背景:使用依来沙/替扎/伊伐卡夫托(ETI)进行高效的CFTR调节剂治疗可改善囊性纤维化(CF)患者的肺功能、汗液氯化物、体重指数(BMI)和生活质量。有报道称,CFTR调节剂可改善脂溶性维生素和微量营养素的吸收,但缺乏有关ETI疗法的数据:这项单中心回顾性研究评估了符合 ETI 治疗条件的儿童和成人的一秒用力呼气容积(FEV-1)、汗液氯化物、体重指数、转氨酶(AST、ALT)、胆红素、维生素 A、D、E、锌和硒。在开始 ETI 之前和之后一年内对各项参数进行评估:结果:58 名患者(中位年龄 m = 28 岁,SD ± 11.6 岁,51.7% 为女性)14 结论:这项研究为 ETI 后某些脂溶性维生素水平的改善提供了更多证据。微量营养素没有发生变化。建议进行个体化随访和补充。
本文章由计算机程序翻译,如有差异,请以英文原文为准。

Changes in vitamins and trace elements after initiation of highly effective CFTR modulator therapy in children and adults with cystic fibrosis - a real-life insight.

Changes in vitamins and trace elements after initiation of highly effective CFTR modulator therapy in children and adults with cystic fibrosis - a real-life insight.

Changes in vitamins and trace elements after initiation of highly effective CFTR modulator therapy in children and adults with cystic fibrosis - a real-life insight.

Changes in vitamins and trace elements after initiation of highly effective CFTR modulator therapy in children and adults with cystic fibrosis - a real-life insight.

Background: Highly-effective CFTR-modulator therapy with elexa-/teza-/ivacaftor (ETI) has led to improvements in pulmonary outcomes, sweat chloride, body mass index (BMI) and quality of life in people with cystic fibrosis (CF). Improved uptake of fat-soluble vitamins and micronutrients has been reported for CFTR-modulators but data regarding ETI therapy is lacking.

Methods: This single-center retrospective study evaluated forced expiratory volume in one second (FEV-1), sweat chloride, BMI, transaminases (AST, ALT), bilirubin, vitamins A, D, E, zinc and selenium in children and adults eligible for ETI. Parameters were assessed before and up to one year after initiation of ETI.

Results: 58 patients (median age m = 28 years, SD ± 11.6 years, 51.7% female14 < 18 years old) were included. FEV-1 and sweat chloride improved significantly after ETI. There were no changes in BMI or AST. ALT was increased significantly after 4 weeks of ETI but returned to normal levels in further course. Bilirubin levels remained elevated after ETI. Vitamin A was significantly higher 12 months after ETI. No changes were found for vitamins D, E, zinc and selenium.

Conclusions: This study adds to the evidence that improvements of some fat-soluble vitamin levels can be found after ETI. No changes regarding micronutrients were noted. Individualized follow-up and supplementation are recommended.

求助全文
通过发布文献求助,成功后即可免费获取论文全文。 去求助
来源期刊
CiteScore
2.20
自引率
0.00%
发文量
0
×
引用
GB/T 7714-2015
复制
MLA
复制
APA
复制
导出至
BibTeX EndNote RefMan NoteFirst NoteExpress
×
提示
您的信息不完整,为了账户安全,请先补充。
现在去补充
×
提示
您因"违规操作"
具体请查看互助需知
我知道了
×
提示
确定
请完成安全验证×
copy
已复制链接
快去分享给好友吧!
我知道了
右上角分享
点击右上角分享
0
联系我们:info@booksci.cn Book学术提供免费学术资源搜索服务,方便国内外学者检索中英文文献。致力于提供最便捷和优质的服务体验。 Copyright © 2023 布克学术 All rights reserved.
京ICP备2023020795号-1
ghs 京公网安备 11010802042870号
Book学术文献互助
Book学术文献互助群
群 号:604180095
Book学术官方微信