在墨西哥瓦哈卡的非洲后裔中检测无症状镰状细胞血红蛋白携带者和胎儿血红蛋白调节基因变异。

IF 2.6 Q3 HEMATOLOGY
Anemia Pub Date : 2024-04-29 eCollection Date: 2024-01-01 DOI:10.1155/2024/4940760
María De Los Ángeles Romero-Tlalolini, Sergio Roberto Aguilar-Ruiz, Rafael Baltiérrez-Hoyos, Jaime Vargas-Arzola, Luis Alberto Hernández-Osorio, Verónica Rocío Vásquez-Garzón, Héctor Ulises Bernardino-Hernández, Honorio Torres-Aguilar
{"title":"在墨西哥瓦哈卡的非洲后裔中检测无症状镰状细胞血红蛋白携带者和胎儿血红蛋白调节基因变异。","authors":"María De Los Ángeles Romero-Tlalolini, Sergio Roberto Aguilar-Ruiz, Rafael Baltiérrez-Hoyos, Jaime Vargas-Arzola, Luis Alberto Hernández-Osorio, Verónica Rocío Vásquez-Garzón, Héctor Ulises Bernardino-Hernández, Honorio Torres-Aguilar","doi":"10.1155/2024/4940760","DOIUrl":null,"url":null,"abstract":"<p><p>Sickle cell anemia has been classified as a noninfectious neglected tropical disease and, although not exclusively, affects African descendants more frequently. This study aimed to detect asymptomatic sickle cell hemoglobin carriers (HbAS) in marginalized and vulnerable populations during a public health screening in African descendants from Oaxaca, Mexico, and to validate an amplification refractory mutation system (ARMS)-PCR methodology to detect fetal-hemoglobin (HbF)-regulating genetic variants in BCL11A toward affordable routine association of single nucleotide variants (SNVs) with HbF concentrations. To this aim, hemoglobin variants were detected by acidic citrate agar and alkaline cellulose acetate electrophoreses. SNVs in the hemoglobin subunit beta gene (HBB) were identified by the <i>β</i>-globin mutation detection assay (<i>β</i>-GMDA) and ARMS-PCR, respectively, and validated by Sanger sequencing. The association between genotypes and HbF concentrations was evaluated using Spearman's correlation coefficient. The results obtained during a directed screening in 140 self-identified African descendants revealed 42 HbS-carriers (30%), of which 39 showed normal total hemoglobin concentrations (92.8%), only 3 presented anemia (7.2%), and 9 showed quantifiable HbF concentration (21.4%). As validated by Sanger sequencing, the designed ARMS-PCR efficiently detected homozygous and heterozygous variants in BCL11A. In a cohort of 42 heterozygous (HbAS) and 27 healthy (HbAA) individuals from the same population, only one SNV (rs766432) showed statistically significant association with increasing HbF concentration, and two new unrelated homozygous silent variants were identified. This study reveals the need to raise coverage of HbS screening in vulnerable populations and shows a feasible low-cost ARMS-PCR methodology to determine the presence of SNVs in quantitative trait loci affecting HbF.</p>","PeriodicalId":46055,"journal":{"name":"Anemia","volume":"2024 ","pages":"4940760"},"PeriodicalIF":2.6000,"publicationDate":"2024-04-29","publicationTypes":"Journal Article","fieldsOfStudy":null,"isOpenAccess":false,"openAccessPdf":"https://www.ncbi.nlm.nih.gov/pmc/articles/PMC11074717/pdf/","citationCount":"0","resultStr":"{\"title\":\"Detection of Asymptomatic Sickle Cell Hemoglobin Carriers and Fetal Hemoglobin Regulating Genetic Variants in African Descendants from Oaxaca, Mexico.\",\"authors\":\"María De Los Ángeles Romero-Tlalolini, Sergio Roberto Aguilar-Ruiz, Rafael Baltiérrez-Hoyos, Jaime Vargas-Arzola, Luis Alberto Hernández-Osorio, Verónica Rocío Vásquez-Garzón, Héctor Ulises Bernardino-Hernández, Honorio Torres-Aguilar\",\"doi\":\"10.1155/2024/4940760\",\"DOIUrl\":null,\"url\":null,\"abstract\":\"<p><p>Sickle cell anemia has been classified as a noninfectious neglected tropical disease and, although not exclusively, affects African descendants more frequently. This study aimed to detect asymptomatic sickle cell hemoglobin carriers (HbAS) in marginalized and vulnerable populations during a public health screening in African descendants from Oaxaca, Mexico, and to validate an amplification refractory mutation system (ARMS)-PCR methodology to detect fetal-hemoglobin (HbF)-regulating genetic variants in BCL11A toward affordable routine association of single nucleotide variants (SNVs) with HbF concentrations. To this aim, hemoglobin variants were detected by acidic citrate agar and alkaline cellulose acetate electrophoreses. SNVs in the hemoglobin subunit beta gene (HBB) were identified by the <i>β</i>-globin mutation detection assay (<i>β</i>-GMDA) and ARMS-PCR, respectively, and validated by Sanger sequencing. The association between genotypes and HbF concentrations was evaluated using Spearman's correlation coefficient. The results obtained during a directed screening in 140 self-identified African descendants revealed 42 HbS-carriers (30%), of which 39 showed normal total hemoglobin concentrations (92.8%), only 3 presented anemia (7.2%), and 9 showed quantifiable HbF concentration (21.4%). As validated by Sanger sequencing, the designed ARMS-PCR efficiently detected homozygous and heterozygous variants in BCL11A. In a cohort of 42 heterozygous (HbAS) and 27 healthy (HbAA) individuals from the same population, only one SNV (rs766432) showed statistically significant association with increasing HbF concentration, and two new unrelated homozygous silent variants were identified. This study reveals the need to raise coverage of HbS screening in vulnerable populations and shows a feasible low-cost ARMS-PCR methodology to determine the presence of SNVs in quantitative trait loci affecting HbF.</p>\",\"PeriodicalId\":46055,\"journal\":{\"name\":\"Anemia\",\"volume\":\"2024 \",\"pages\":\"4940760\"},\"PeriodicalIF\":2.6000,\"publicationDate\":\"2024-04-29\",\"publicationTypes\":\"Journal Article\",\"fieldsOfStudy\":null,\"isOpenAccess\":false,\"openAccessPdf\":\"https://www.ncbi.nlm.nih.gov/pmc/articles/PMC11074717/pdf/\",\"citationCount\":\"0\",\"resultStr\":null,\"platform\":\"Semanticscholar\",\"paperid\":null,\"PeriodicalName\":\"Anemia\",\"FirstCategoryId\":\"1085\",\"ListUrlMain\":\"https://doi.org/10.1155/2024/4940760\",\"RegionNum\":0,\"RegionCategory\":null,\"ArticlePicture\":[],\"TitleCN\":null,\"AbstractTextCN\":null,\"PMCID\":null,\"EPubDate\":\"2024/1/1 0:00:00\",\"PubModel\":\"eCollection\",\"JCR\":\"Q3\",\"JCRName\":\"HEMATOLOGY\",\"Score\":null,\"Total\":0}","platform":"Semanticscholar","paperid":null,"PeriodicalName":"Anemia","FirstCategoryId":"1085","ListUrlMain":"https://doi.org/10.1155/2024/4940760","RegionNum":0,"RegionCategory":null,"ArticlePicture":[],"TitleCN":null,"AbstractTextCN":null,"PMCID":null,"EPubDate":"2024/1/1 0:00:00","PubModel":"eCollection","JCR":"Q3","JCRName":"HEMATOLOGY","Score":null,"Total":0}
引用次数: 0

摘要

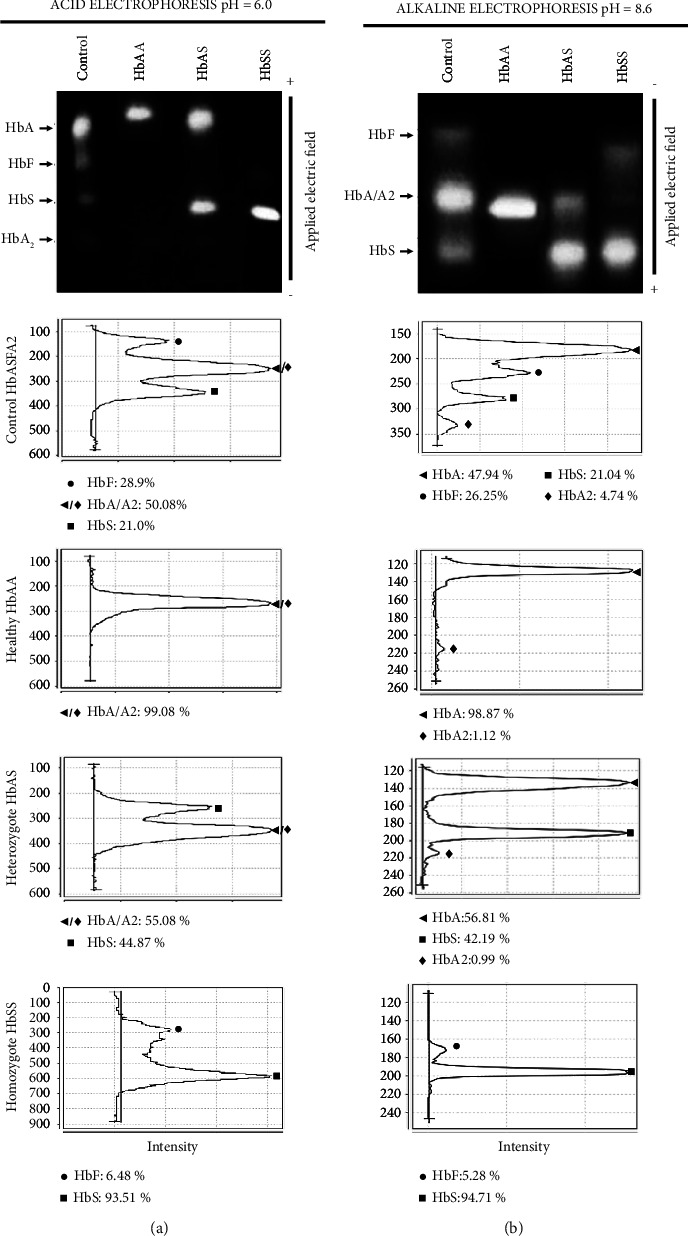
镰状细胞性贫血被归类为一种非传染性的被忽视的热带疾病,虽然并非唯一的疾病,但非洲后裔受其影响更为频繁。这项研究的目的是在对墨西哥瓦哈卡州的非洲后裔进行公共卫生筛查时,在边缘化和弱势群体中检测无症状镰状细胞血红蛋白携带者(HbAS),并验证用于检测 BCL11A 中胎儿血红蛋白(HbF)调节基因变异的扩增难治性突变系统(ARMS)- PCR 方法,以实现单核苷酸变异(SNV)与 HbF 浓度的常规关联。为此,通过酸性柠檬酸盐琼脂和碱性醋酸纤维素电泳检测了血红蛋白变异。血红蛋白亚基 beta 基因(HBB)中的 SNV 分别通过β-球蛋白突变检测试验(β-GMDA)和 ARMS-PCR 进行鉴定,并通过 Sanger 测序进行验证。基因型与 HbF 浓度之间的关联采用 Spearman 相关系数进行评估。对 140 名自我认定的非洲后裔进行定向筛查的结果显示,有 42 名 HbS 携带者(30%),其中 39 人的总血红蛋白浓度正常(92.8%),只有 3 人出现贫血(7.2%),9 人的 HbF 浓度可量化(21.4%)。经桑格测序验证,所设计的 ARMS-PCR 能有效检测出 BCL11A 的同源和杂源变异。在来自同一人群的 42 个杂合型(HbAS)和 27 个健康型(HbAA)个体的队列中,只有一个 SNV(rs766432)与 HbF 浓度的增加有显著的统计学关联,而且还发现了两个新的无关联同源沉默变异。这项研究揭示了在易感人群中提高 HbS 筛查覆盖率的必要性,并展示了一种可行的低成本 ARMS-PCR 方法,用于确定影响 HbF 的定量性状位点中是否存在 SNV。
本文章由计算机程序翻译,如有差异,请以英文原文为准。

Detection of Asymptomatic Sickle Cell Hemoglobin Carriers and Fetal Hemoglobin Regulating Genetic Variants in African Descendants from Oaxaca, Mexico.

Detection of Asymptomatic Sickle Cell Hemoglobin Carriers and Fetal Hemoglobin Regulating Genetic Variants in African Descendants from Oaxaca, Mexico.

Detection of Asymptomatic Sickle Cell Hemoglobin Carriers and Fetal Hemoglobin Regulating Genetic Variants in African Descendants from Oaxaca, Mexico.

Detection of Asymptomatic Sickle Cell Hemoglobin Carriers and Fetal Hemoglobin Regulating Genetic Variants in African Descendants from Oaxaca, Mexico.

Sickle cell anemia has been classified as a noninfectious neglected tropical disease and, although not exclusively, affects African descendants more frequently. This study aimed to detect asymptomatic sickle cell hemoglobin carriers (HbAS) in marginalized and vulnerable populations during a public health screening in African descendants from Oaxaca, Mexico, and to validate an amplification refractory mutation system (ARMS)-PCR methodology to detect fetal-hemoglobin (HbF)-regulating genetic variants in BCL11A toward affordable routine association of single nucleotide variants (SNVs) with HbF concentrations. To this aim, hemoglobin variants were detected by acidic citrate agar and alkaline cellulose acetate electrophoreses. SNVs in the hemoglobin subunit beta gene (HBB) were identified by the β-globin mutation detection assay (β-GMDA) and ARMS-PCR, respectively, and validated by Sanger sequencing. The association between genotypes and HbF concentrations was evaluated using Spearman's correlation coefficient. The results obtained during a directed screening in 140 self-identified African descendants revealed 42 HbS-carriers (30%), of which 39 showed normal total hemoglobin concentrations (92.8%), only 3 presented anemia (7.2%), and 9 showed quantifiable HbF concentration (21.4%). As validated by Sanger sequencing, the designed ARMS-PCR efficiently detected homozygous and heterozygous variants in BCL11A. In a cohort of 42 heterozygous (HbAS) and 27 healthy (HbAA) individuals from the same population, only one SNV (rs766432) showed statistically significant association with increasing HbF concentration, and two new unrelated homozygous silent variants were identified. This study reveals the need to raise coverage of HbS screening in vulnerable populations and shows a feasible low-cost ARMS-PCR methodology to determine the presence of SNVs in quantitative trait loci affecting HbF.

求助全文
通过发布文献求助,成功后即可免费获取论文全文。 去求助
来源期刊
Anemia
Anemia HEMATOLOGY-
CiteScore
4.80
自引率
3.40%
发文量
11
审稿时长
18 weeks
期刊介绍: Anemia is a peer-reviewed, Open Access journal that publishes original research articles, review articles, and clinical studies on all types of anemia. Articles focusing on patient care, health systems, epidemiology, and animal models will be considered, among other relevant topics. Affecting roughly one third of the world’s population, anemia is a major public health concern. The journal aims to facilitate the exchange of research addressing global health and mortality relating to anemia and associated diseases.
×
引用
GB/T 7714-2015
复制
MLA
复制
APA
复制
导出至
BibTeX EndNote RefMan NoteFirst NoteExpress
×
提示
您的信息不完整,为了账户安全,请先补充。
现在去补充
×
提示
您因"违规操作"
具体请查看互助需知
我知道了
×
提示
确定
请完成安全验证×
copy
已复制链接
快去分享给好友吧!
我知道了
右上角分享
点击右上角分享
0
联系我们:info@booksci.cn Book学术提供免费学术资源搜索服务,方便国内外学者检索中英文文献。致力于提供最便捷和优质的服务体验。 Copyright © 2023 布克学术 All rights reserved.
京ICP备2023020795号-1
ghs 京公网安备 11010802042870号
Book学术文献互助
Book学术文献互助群
群 号:604180095
Book学术官方微信