日本女性 1 型糖尿病患者月经周期异常和多囊卵巢综合征的发病率。雄激素的作用

IF 1.2 Q4 ENDOCRINOLOGY & METABOLISM
Clinical Pediatric Endocrinology Pub Date : 2024-01-01 Epub Date: 2024-02-25 DOI:10.1297/cpe.2024-0011
Tatsuya Nakamichi, Tomoyuki Kawamura, Satsuki Nishigaki, Shino Odagiri, Yoshihiko Yuyama, Naoko Nishikawa-Nakamura, Yuko Hotta, Takashi Hamazaki
{"title":"日本女性 1 型糖尿病患者月经周期异常和多囊卵巢综合征的发病率。雄激素的作用","authors":"Tatsuya Nakamichi, Tomoyuki Kawamura, Satsuki Nishigaki, Shino Odagiri, Yoshihiko Yuyama, Naoko Nishikawa-Nakamura, Yuko Hotta, Takashi Hamazaki","doi":"10.1297/cpe.2024-0011","DOIUrl":null,"url":null,"abstract":"<p><p>Type 1 diabetes mellitus (T1DM) adversely affects gonadal function. This study aimed to define the characteristics and factors associated with menstrual cycle abnormalities and polycystic ovary syndrome (PCOS) in Japanese patients with T1DM. Our study enrolled 157 patients, including 55 with oligomenorrhea (prolonged menstrual cycle) and 102 without oligomenorrhea. LH/FSH ratio (p = 0.04) and total testosterone levels (p = 0.03) were significantly higher in the oligomenorrhea group than in the non-oligomenorrhea group. No significant differences were found between the two groups regarding age at menarche, age at T1DM diagnosis, treatment, glycated hemoglobin, or total daily insulin dose. Of the 55 patients in the oligomenorrhea group, 27 were diagnosed with PCOS based on the Rotterdam criteria. We concluded that female patients with T1DM, as well as abnormal menstrual cycles and hyperandrogenism, may suffer from undiagnosed PCOS and should be referred to a gynecologist for full assessment, diagnosis, and treatment.</p>","PeriodicalId":10678,"journal":{"name":"Clinical Pediatric Endocrinology","volume":"33 2","pages":"59-65"},"PeriodicalIF":1.2000,"publicationDate":"2024-01-01","publicationTypes":"Journal Article","fieldsOfStudy":null,"isOpenAccess":false,"openAccessPdf":"https://www.ncbi.nlm.nih.gov/pmc/articles/PMC10985013/pdf/","citationCount":"0","resultStr":"{\"title\":\"Incidence of menstrual cycle abnormalities and polycystic ovary syndrome in female Japanese patients with type 1 diabetes mellitus. The role of androgens.\",\"authors\":\"Tatsuya Nakamichi, Tomoyuki Kawamura, Satsuki Nishigaki, Shino Odagiri, Yoshihiko Yuyama, Naoko Nishikawa-Nakamura, Yuko Hotta, Takashi Hamazaki\",\"doi\":\"10.1297/cpe.2024-0011\",\"DOIUrl\":null,\"url\":null,\"abstract\":\"<p><p>Type 1 diabetes mellitus (T1DM) adversely affects gonadal function. This study aimed to define the characteristics and factors associated with menstrual cycle abnormalities and polycystic ovary syndrome (PCOS) in Japanese patients with T1DM. Our study enrolled 157 patients, including 55 with oligomenorrhea (prolonged menstrual cycle) and 102 without oligomenorrhea. LH/FSH ratio (p = 0.04) and total testosterone levels (p = 0.03) were significantly higher in the oligomenorrhea group than in the non-oligomenorrhea group. No significant differences were found between the two groups regarding age at menarche, age at T1DM diagnosis, treatment, glycated hemoglobin, or total daily insulin dose. Of the 55 patients in the oligomenorrhea group, 27 were diagnosed with PCOS based on the Rotterdam criteria. We concluded that female patients with T1DM, as well as abnormal menstrual cycles and hyperandrogenism, may suffer from undiagnosed PCOS and should be referred to a gynecologist for full assessment, diagnosis, and treatment.</p>\",\"PeriodicalId\":10678,\"journal\":{\"name\":\"Clinical Pediatric Endocrinology\",\"volume\":\"33 2\",\"pages\":\"59-65\"},\"PeriodicalIF\":1.2000,\"publicationDate\":\"2024-01-01\",\"publicationTypes\":\"Journal Article\",\"fieldsOfStudy\":null,\"isOpenAccess\":false,\"openAccessPdf\":\"https://www.ncbi.nlm.nih.gov/pmc/articles/PMC10985013/pdf/\",\"citationCount\":\"0\",\"resultStr\":null,\"platform\":\"Semanticscholar\",\"paperid\":null,\"PeriodicalName\":\"Clinical Pediatric Endocrinology\",\"FirstCategoryId\":\"1085\",\"ListUrlMain\":\"https://doi.org/10.1297/cpe.2024-0011\",\"RegionNum\":0,\"RegionCategory\":null,\"ArticlePicture\":[],\"TitleCN\":null,\"AbstractTextCN\":null,\"PMCID\":null,\"EPubDate\":\"2024/2/25 0:00:00\",\"PubModel\":\"Epub\",\"JCR\":\"Q4\",\"JCRName\":\"ENDOCRINOLOGY & METABOLISM\",\"Score\":null,\"Total\":0}","platform":"Semanticscholar","paperid":null,"PeriodicalName":"Clinical Pediatric Endocrinology","FirstCategoryId":"1085","ListUrlMain":"https://doi.org/10.1297/cpe.2024-0011","RegionNum":0,"RegionCategory":null,"ArticlePicture":[],"TitleCN":null,"AbstractTextCN":null,"PMCID":null,"EPubDate":"2024/2/25 0:00:00","PubModel":"Epub","JCR":"Q4","JCRName":"ENDOCRINOLOGY & METABOLISM","Score":null,"Total":0}
引用次数: 0

摘要

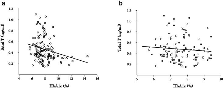
1 型糖尿病(T1DM)对性腺功能有不利影响。本研究旨在确定日本 T1DM 患者月经周期异常和多囊卵巢综合征(PCOS)的特征及相关因素。我们的研究共纳入 157 例患者,包括 55 例少经(月经周期延长)患者和 102 例无少经患者。少经组的 LH/FSH 比值(p = 0.04)和总睾酮水平(p = 0.03)明显高于无少经组。在月经初潮年龄、T1DM 诊断年龄、治疗、糖化血红蛋白或每日胰岛素总剂量方面,两组之间没有发现明显差异。在少经组的 55 名患者中,有 27 人根据鹿特丹标准被诊断为多囊卵巢综合症。我们得出的结论是,患有 T1DM 以及月经周期异常和高雄激素症的女性患者可能患有未确诊的多囊卵巢综合症,应转诊至妇科医生进行全面评估、诊断和治疗。
本文章由计算机程序翻译,如有差异,请以英文原文为准。

Incidence of menstrual cycle abnormalities and polycystic ovary syndrome in female Japanese patients with type 1 diabetes mellitus. The role of androgens.

Incidence of menstrual cycle abnormalities and polycystic ovary syndrome in female Japanese patients with type 1 diabetes mellitus. The role of androgens.

Incidence of menstrual cycle abnormalities and polycystic ovary syndrome in female Japanese patients with type 1 diabetes mellitus. The role of androgens.

Incidence of menstrual cycle abnormalities and polycystic ovary syndrome in female Japanese patients with type 1 diabetes mellitus. The role of androgens.

Type 1 diabetes mellitus (T1DM) adversely affects gonadal function. This study aimed to define the characteristics and factors associated with menstrual cycle abnormalities and polycystic ovary syndrome (PCOS) in Japanese patients with T1DM. Our study enrolled 157 patients, including 55 with oligomenorrhea (prolonged menstrual cycle) and 102 without oligomenorrhea. LH/FSH ratio (p = 0.04) and total testosterone levels (p = 0.03) were significantly higher in the oligomenorrhea group than in the non-oligomenorrhea group. No significant differences were found between the two groups regarding age at menarche, age at T1DM diagnosis, treatment, glycated hemoglobin, or total daily insulin dose. Of the 55 patients in the oligomenorrhea group, 27 were diagnosed with PCOS based on the Rotterdam criteria. We concluded that female patients with T1DM, as well as abnormal menstrual cycles and hyperandrogenism, may suffer from undiagnosed PCOS and should be referred to a gynecologist for full assessment, diagnosis, and treatment.

求助全文
通过发布文献求助,成功后即可免费获取论文全文。 去求助
来源期刊
Clinical Pediatric Endocrinology
Clinical Pediatric Endocrinology ENDOCRINOLOGY & METABOLISM-
CiteScore
2.40
自引率
7.10%
发文量
34
×
引用
GB/T 7714-2015
复制
MLA
复制
APA
复制
导出至
BibTeX EndNote RefMan NoteFirst NoteExpress
×
提示
您的信息不完整,为了账户安全,请先补充。
现在去补充
×
提示
您因"违规操作"
具体请查看互助需知
我知道了
×
提示
确定
请完成安全验证×
copy
已复制链接
快去分享给好友吧!
我知道了
右上角分享
点击右上角分享
0
联系我们:info@booksci.cn Book学术提供免费学术资源搜索服务,方便国内外学者检索中英文文献。致力于提供最便捷和优质的服务体验。 Copyright © 2023 布克学术 All rights reserved.
京ICP备2023020795号-1
ghs 京公网安备 11010802042870号
Book学术文献互助
Book学术文献互助群
群 号:604180095
Book学术官方微信