2019 年冠状病毒病患入住重症监护病房的预测因素。

Avicenna Journal of Medicine Pub Date : 2024-01-31 eCollection Date: 2024-01-01 DOI:10.1055/s-0043-1778068
Lahib Douda, Heraa Hasnat, Jennifer Schwank, Sarien Nassar, Nancy M Jackson, Jeffrey C Flynn, Joseph Gardiner, Dawn P Misra, Abdulghani Sankari
{"title":"2019 年冠状病毒病患入住重症监护病房的预测因素。","authors":"Lahib Douda, Heraa Hasnat, Jennifer Schwank, Sarien Nassar, Nancy M Jackson, Jeffrey C Flynn, Joseph Gardiner, Dawn P Misra, Abdulghani Sankari","doi":"10.1055/s-0043-1778068","DOIUrl":null,"url":null,"abstract":"<p><p><b>Background</b>  Increased mortality rates among coronavirus disease 2019 (COVID-19) positive patients admitted to intensive care units (ICUs) highlight a compelling need to establish predictive criteria for ICU admissions. The aim of our study was to identify criteria for recognizing patients with COVID-19 at elevated risk for ICU admission. <b>Methods</b>  We identified patients who tested positive for COVID-19 and were hospitalized between March and May 2020. Patients' data were manually abstracted through review of electronic medical records. An ICU admission prediction model was derived from a random sample of half the patients using multivariable logistic regression. The model was validated with the remaining half of the patients using c-statistic. <b>Results</b>  We identified 1,094 patients; 204 (18.6%) were admitted to the ICU. Correlates of ICU admission were age, body mass index (BMI), quick Sequential Organ Failure Assessment (qSOFA) score, arterial oxygen saturation to fraction of inspired oxygen ratio, platelet count, and white blood cell count. The c-statistic in the derivation subset (0.798, 95% confidence interval [CI]: 0.748, 0.848) and the validation subset (0.764, 95% CI: 0.706, 0.822) showed excellent comparability. At 22% predicted probability for ICU admission, the derivation subset estimated sensitivity was 0.721, (95% CI: 0.637, 0.804) and specificity was 0.763, (95% CI: 0.722, 0.804). Our pilot predictive model identified the combination of age, BMI, qSOFA score, and oxygenation status as significant predictors for ICU admission. <b>Conclusion</b>  ICU admission among patients with COVID-19 can be predicted by age, BMI, level of hypoxia, and severity of illness.</p>","PeriodicalId":32889,"journal":{"name":"Avicenna Journal of Medicine","volume":"14 1","pages":"45-53"},"PeriodicalIF":0.0000,"publicationDate":"2024-01-31","publicationTypes":"Journal Article","fieldsOfStudy":null,"isOpenAccess":false,"openAccessPdf":"https://www.ncbi.nlm.nih.gov/pmc/articles/PMC11057900/pdf/","citationCount":"0","resultStr":"{\"title\":\"Predictors of Intensive Care Unit Admissions in Patients Presenting with Coronavirus Disease 2019.\",\"authors\":\"Lahib Douda, Heraa Hasnat, Jennifer Schwank, Sarien Nassar, Nancy M Jackson, Jeffrey C Flynn, Joseph Gardiner, Dawn P Misra, Abdulghani Sankari\",\"doi\":\"10.1055/s-0043-1778068\",\"DOIUrl\":null,\"url\":null,\"abstract\":\"<p><p><b>Background</b>  Increased mortality rates among coronavirus disease 2019 (COVID-19) positive patients admitted to intensive care units (ICUs) highlight a compelling need to establish predictive criteria for ICU admissions. The aim of our study was to identify criteria for recognizing patients with COVID-19 at elevated risk for ICU admission. <b>Methods</b>  We identified patients who tested positive for COVID-19 and were hospitalized between March and May 2020. Patients' data were manually abstracted through review of electronic medical records. An ICU admission prediction model was derived from a random sample of half the patients using multivariable logistic regression. The model was validated with the remaining half of the patients using c-statistic. <b>Results</b>  We identified 1,094 patients; 204 (18.6%) were admitted to the ICU. Correlates of ICU admission were age, body mass index (BMI), quick Sequential Organ Failure Assessment (qSOFA) score, arterial oxygen saturation to fraction of inspired oxygen ratio, platelet count, and white blood cell count. The c-statistic in the derivation subset (0.798, 95% confidence interval [CI]: 0.748, 0.848) and the validation subset (0.764, 95% CI: 0.706, 0.822) showed excellent comparability. At 22% predicted probability for ICU admission, the derivation subset estimated sensitivity was 0.721, (95% CI: 0.637, 0.804) and specificity was 0.763, (95% CI: 0.722, 0.804). Our pilot predictive model identified the combination of age, BMI, qSOFA score, and oxygenation status as significant predictors for ICU admission. <b>Conclusion</b>  ICU admission among patients with COVID-19 can be predicted by age, BMI, level of hypoxia, and severity of illness.</p>\",\"PeriodicalId\":32889,\"journal\":{\"name\":\"Avicenna Journal of Medicine\",\"volume\":\"14 1\",\"pages\":\"45-53\"},\"PeriodicalIF\":0.0000,\"publicationDate\":\"2024-01-31\",\"publicationTypes\":\"Journal Article\",\"fieldsOfStudy\":null,\"isOpenAccess\":false,\"openAccessPdf\":\"https://www.ncbi.nlm.nih.gov/pmc/articles/PMC11057900/pdf/\",\"citationCount\":\"0\",\"resultStr\":null,\"platform\":\"Semanticscholar\",\"paperid\":null,\"PeriodicalName\":\"Avicenna Journal of Medicine\",\"FirstCategoryId\":\"1085\",\"ListUrlMain\":\"https://doi.org/10.1055/s-0043-1778068\",\"RegionNum\":0,\"RegionCategory\":null,\"ArticlePicture\":[],\"TitleCN\":null,\"AbstractTextCN\":null,\"PMCID\":null,\"EPubDate\":\"2024/1/1 0:00:00\",\"PubModel\":\"eCollection\",\"JCR\":\"\",\"JCRName\":\"\",\"Score\":null,\"Total\":0}","platform":"Semanticscholar","paperid":null,"PeriodicalName":"Avicenna Journal of Medicine","FirstCategoryId":"1085","ListUrlMain":"https://doi.org/10.1055/s-0043-1778068","RegionNum":0,"RegionCategory":null,"ArticlePicture":[],"TitleCN":null,"AbstractTextCN":null,"PMCID":null,"EPubDate":"2024/1/1 0:00:00","PubModel":"eCollection","JCR":"","JCRName":"","Score":null,"Total":0}
引用次数: 0

摘要

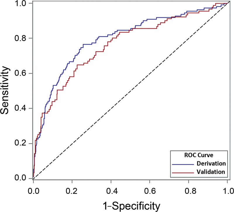
背景重症监护病房(ICU)收治的冠状病毒病 2019(COVID-19)阳性患者的死亡率有所上升,因此迫切需要建立 ICU 收治的预测标准。我们的研究旨在确定识别入住重症监护病房风险较高的 COVID-19 患者的标准。方法 我们确定了 COVID-19 检测呈阳性且在 2020 年 3 月至 5 月期间住院的患者。通过查阅电子病历手动摘录患者数据。使用多变量逻辑回归法,从一半患者的随机样本中得出了一个 ICU 入院预测模型。使用 c 统计量对其余一半患者的模型进行了验证。结果 我们确认了 1,094 名患者,其中 204 人(18.6%)住进了重症监护室。入住重症监护室的相关因素包括年龄、体重指数(BMI)、快速器官功能衰竭评估(qSOFA)评分、动脉血氧饱和度与吸入氧分数比、血小板计数和白细胞计数。推导子集(0.798,95% 置信区间 [CI]:0.748, 0.848)和验证子集(0.764,95% 置信区间 [CI]:0.706, 0.822)的 c 统计量显示出极佳的可比性。当预测入住 ICU 的概率为 22% 时,推导子集估计灵敏度为 0.721(95% CI:0.637, 0.804),特异度为 0.763(95% CI:0.722, 0.804)。我们的试验预测模型发现,年龄、体重指数、qSOFA 评分和氧合状态的组合是入住 ICU 的重要预测因素。结论 COVID-19 患者入住 ICU 可通过年龄、体重指数、缺氧程度和病情严重程度进行预测。
本文章由计算机程序翻译,如有差异,请以英文原文为准。

Predictors of Intensive Care Unit Admissions in Patients Presenting with Coronavirus Disease 2019.

Predictors of Intensive Care Unit Admissions in Patients Presenting with Coronavirus Disease 2019.

Predictors of Intensive Care Unit Admissions in Patients Presenting with Coronavirus Disease 2019.

Background  Increased mortality rates among coronavirus disease 2019 (COVID-19) positive patients admitted to intensive care units (ICUs) highlight a compelling need to establish predictive criteria for ICU admissions. The aim of our study was to identify criteria for recognizing patients with COVID-19 at elevated risk for ICU admission. Methods  We identified patients who tested positive for COVID-19 and were hospitalized between March and May 2020. Patients' data were manually abstracted through review of electronic medical records. An ICU admission prediction model was derived from a random sample of half the patients using multivariable logistic regression. The model was validated with the remaining half of the patients using c-statistic. Results  We identified 1,094 patients; 204 (18.6%) were admitted to the ICU. Correlates of ICU admission were age, body mass index (BMI), quick Sequential Organ Failure Assessment (qSOFA) score, arterial oxygen saturation to fraction of inspired oxygen ratio, platelet count, and white blood cell count. The c-statistic in the derivation subset (0.798, 95% confidence interval [CI]: 0.748, 0.848) and the validation subset (0.764, 95% CI: 0.706, 0.822) showed excellent comparability. At 22% predicted probability for ICU admission, the derivation subset estimated sensitivity was 0.721, (95% CI: 0.637, 0.804) and specificity was 0.763, (95% CI: 0.722, 0.804). Our pilot predictive model identified the combination of age, BMI, qSOFA score, and oxygenation status as significant predictors for ICU admission. Conclusion  ICU admission among patients with COVID-19 can be predicted by age, BMI, level of hypoxia, and severity of illness.

求助全文
通过发布文献求助,成功后即可免费获取论文全文。 去求助
来源期刊
自引率
0.00%
发文量
28
审稿时长
26 weeks
×
引用
GB/T 7714-2015
复制
MLA
复制
APA
复制
导出至
BibTeX EndNote RefMan NoteFirst NoteExpress
×
提示
您的信息不完整,为了账户安全,请先补充。
现在去补充
×
提示
您因"违规操作"
具体请查看互助需知
我知道了
×
提示
确定
请完成安全验证×
copy
已复制链接
快去分享给好友吧!
我知道了
右上角分享
点击右上角分享
0
联系我们:info@booksci.cn Book学术提供免费学术资源搜索服务,方便国内外学者检索中英文文献。致力于提供最便捷和优质的服务体验。 Copyright © 2023 布克学术 All rights reserved.
京ICP备2023020795号-1
ghs 京公网安备 11010802042870号
Book学术文献互助
Book学术文献互助群
群 号:604180095
Book学术官方微信