比较两种醋酸甲孕酮纳米悬浮制剂在健康韩国男性受试者体内的药代动力学特征和生物等效性。

IF 1.5 Q4 PHARMACOLOGY & PHARMACY
Translational and Clinical Pharmacology Pub Date : 2024-03-01 Epub Date: 2024-03-26 DOI:10.12793/tcp.2024.32.e6
Se Rin Park, Jun Gi Hwang, Sae Im Jeong, Young-Sim Choi, Hyo Jin Min, Hye Yun Kim, Bong-Hoi Choi, Min Kyu Park
{"title":"比较两种醋酸甲孕酮纳米悬浮制剂在健康韩国男性受试者体内的药代动力学特征和生物等效性。","authors":"Se Rin Park, Jun Gi Hwang, Sae Im Jeong, Young-Sim Choi, Hyo Jin Min, Hye Yun Kim, Bong-Hoi Choi, Min Kyu Park","doi":"10.12793/tcp.2024.32.e6","DOIUrl":null,"url":null,"abstract":"<p><p>Megestrol is commonly used to address appetite loss, cachexia, and significant weight loss in cancer or acquired immune deficiency syndrome patients. This study aimed to assess the pharmacokinetics and determine the bioequivalence of two orally administered megestrol acetate suspensions (625 mg/5 mL) in healthy Korean male subjects. A randomized, open-label, single-dose crossover study was conducted involving fifty-four healthy male subjects who were randomized into two sequence groups. Each subject received either a test or reference drug formulation of 625 mg/5 mL megestrol acetate with a two-week washout period between treatments. Plasma samples were collected before and up to 120 hours after administration, and their plasma drug concentrations were analyzed using validated liquid chromatography-mass spectrometry/mass spectrometry. The pharmacokinetic parameters were calculated, and bioequivalence was confirmed if the 90% confidence intervals of the geometric mean ratios were within the specified bounds of 80.00% to 125.00%. In total, fifty-two subjects completed the study, contributing to the pharmacokinetic analysis. The 90% confidence intervals for the geometric mean ratios of the test formulation compared to the reference formulation were 93.85% to 108.90% for maximum plasma concentration and 91.60% to 101.78% for area under the concentration-time curve from the point of administration to last time point of blood sampling. Throughout the study, no serious or unexpected adverse events were observed. The pharmacokinetic profiles of both formulations of megestrol acetate (625 mg) were comparable and well tolerated in healthy Korean male adult subjects. The test formulation met regulatory criteria for bioequivalence.</p><p><strong>Trial registration: </strong>ClinicalTrials.gov Identifier: NCT06147908.</p>","PeriodicalId":23288,"journal":{"name":"Translational and Clinical Pharmacology","volume":"32 1","pages":"63-72"},"PeriodicalIF":1.5000,"publicationDate":"2024-03-01","publicationTypes":"Journal Article","fieldsOfStudy":null,"isOpenAccess":false,"openAccessPdf":"https://www.ncbi.nlm.nih.gov/pmc/articles/PMC10990730/pdf/","citationCount":"0","resultStr":"{\"title\":\"Comparison of the pharmacokinetic characteristics and bioequivalence between two nanosuspension formulations of megestrol acetate in healthy Korean male subjects.\",\"authors\":\"Se Rin Park, Jun Gi Hwang, Sae Im Jeong, Young-Sim Choi, Hyo Jin Min, Hye Yun Kim, Bong-Hoi Choi, Min Kyu Park\",\"doi\":\"10.12793/tcp.2024.32.e6\",\"DOIUrl\":null,\"url\":null,\"abstract\":\"<p><p>Megestrol is commonly used to address appetite loss, cachexia, and significant weight loss in cancer or acquired immune deficiency syndrome patients. This study aimed to assess the pharmacokinetics and determine the bioequivalence of two orally administered megestrol acetate suspensions (625 mg/5 mL) in healthy Korean male subjects. A randomized, open-label, single-dose crossover study was conducted involving fifty-four healthy male subjects who were randomized into two sequence groups. Each subject received either a test or reference drug formulation of 625 mg/5 mL megestrol acetate with a two-week washout period between treatments. Plasma samples were collected before and up to 120 hours after administration, and their plasma drug concentrations were analyzed using validated liquid chromatography-mass spectrometry/mass spectrometry. The pharmacokinetic parameters were calculated, and bioequivalence was confirmed if the 90% confidence intervals of the geometric mean ratios were within the specified bounds of 80.00% to 125.00%. In total, fifty-two subjects completed the study, contributing to the pharmacokinetic analysis. The 90% confidence intervals for the geometric mean ratios of the test formulation compared to the reference formulation were 93.85% to 108.90% for maximum plasma concentration and 91.60% to 101.78% for area under the concentration-time curve from the point of administration to last time point of blood sampling. Throughout the study, no serious or unexpected adverse events were observed. The pharmacokinetic profiles of both formulations of megestrol acetate (625 mg) were comparable and well tolerated in healthy Korean male adult subjects. The test formulation met regulatory criteria for bioequivalence.</p><p><strong>Trial registration: </strong>ClinicalTrials.gov Identifier: NCT06147908.</p>\",\"PeriodicalId\":23288,\"journal\":{\"name\":\"Translational and Clinical Pharmacology\",\"volume\":\"32 1\",\"pages\":\"63-72\"},\"PeriodicalIF\":1.5000,\"publicationDate\":\"2024-03-01\",\"publicationTypes\":\"Journal Article\",\"fieldsOfStudy\":null,\"isOpenAccess\":false,\"openAccessPdf\":\"https://www.ncbi.nlm.nih.gov/pmc/articles/PMC10990730/pdf/\",\"citationCount\":\"0\",\"resultStr\":null,\"platform\":\"Semanticscholar\",\"paperid\":null,\"PeriodicalName\":\"Translational and Clinical Pharmacology\",\"FirstCategoryId\":\"1085\",\"ListUrlMain\":\"https://doi.org/10.12793/tcp.2024.32.e6\",\"RegionNum\":0,\"RegionCategory\":null,\"ArticlePicture\":[],\"TitleCN\":null,\"AbstractTextCN\":null,\"PMCID\":null,\"EPubDate\":\"2024/3/26 0:00:00\",\"PubModel\":\"Epub\",\"JCR\":\"Q4\",\"JCRName\":\"PHARMACOLOGY & PHARMACY\",\"Score\":null,\"Total\":0}","platform":"Semanticscholar","paperid":null,"PeriodicalName":"Translational and Clinical Pharmacology","FirstCategoryId":"1085","ListUrlMain":"https://doi.org/10.12793/tcp.2024.32.e6","RegionNum":0,"RegionCategory":null,"ArticlePicture":[],"TitleCN":null,"AbstractTextCN":null,"PMCID":null,"EPubDate":"2024/3/26 0:00:00","PubModel":"Epub","JCR":"Q4","JCRName":"PHARMACOLOGY & PHARMACY","Score":null,"Total":0}
引用次数: 0

摘要

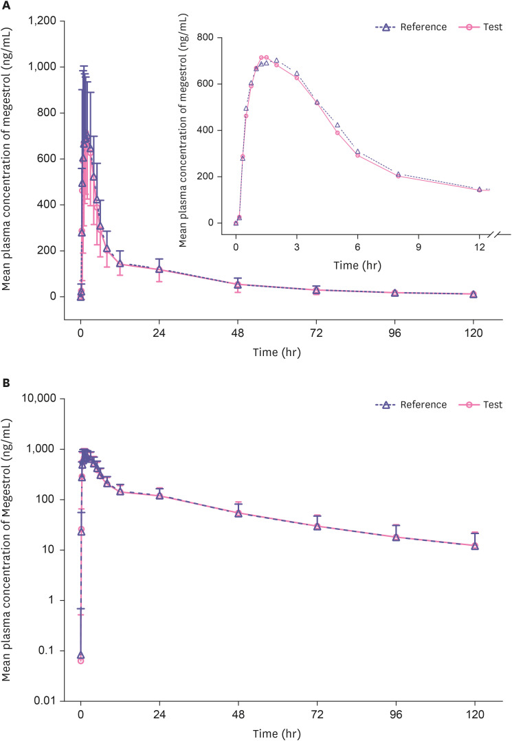
甲地孕酮常用于治疗癌症或获得性免疫缺陷综合征患者的食欲不振、恶病质和体重明显减轻。本研究旨在评估健康韩国男性受试者口服两种醋酸甲地孕酮混悬液(625 毫克/5 毫升)的药代动力学,并确定其生物等效性。研究采用随机、开放标签、单剂量交叉研究的方法,将 54 名健康男性受试者随机分为两个序列组。每名受试者接受 625 毫克/5 毫升醋酸甲孕酮的试验或参照药物制剂,两次治疗之间有两周的冲洗期。在给药前和给药后 120 小时内采集血浆样本,并使用有效的液相色谱-质谱法/质谱法分析血浆中的药物浓度。计算药代动力学参数,如果几何平均比值的 90% 置信区间在 80.00% 至 125.00% 的规定范围内,则确认生物等效性。共有 52 名受试者完成了研究,参与了药代动力学分析。与参比制剂相比,试验制剂最大血浆浓度的几何平均比值的 90% 置信区间为 93.85% 至 108.90%,从给药点到最后采血点的浓度-时间曲线下面积的 90% 置信区间为 91.60% 至 101.78%。在整个研究过程中,没有观察到严重或意外的不良事件。在健康的韩国成年男性受试者中,醋酸甲孕酮(625 毫克)两种制剂的药代动力学特征相当,耐受性良好。试验配方符合生物等效性监管标准:试验注册:ClinicalTrials.gov Identifier:试验注册:ClinicalTrials.gov Identifier:NCT06147908。
本文章由计算机程序翻译,如有差异,请以英文原文为准。

Comparison of the pharmacokinetic characteristics and bioequivalence between two nanosuspension formulations of megestrol acetate in healthy Korean male subjects.

Comparison of the pharmacokinetic characteristics and bioequivalence between two nanosuspension formulations of megestrol acetate in healthy Korean male subjects.

Comparison of the pharmacokinetic characteristics and bioequivalence between two nanosuspension formulations of megestrol acetate in healthy Korean male subjects.

Comparison of the pharmacokinetic characteristics and bioequivalence between two nanosuspension formulations of megestrol acetate in healthy Korean male subjects.

Megestrol is commonly used to address appetite loss, cachexia, and significant weight loss in cancer or acquired immune deficiency syndrome patients. This study aimed to assess the pharmacokinetics and determine the bioequivalence of two orally administered megestrol acetate suspensions (625 mg/5 mL) in healthy Korean male subjects. A randomized, open-label, single-dose crossover study was conducted involving fifty-four healthy male subjects who were randomized into two sequence groups. Each subject received either a test or reference drug formulation of 625 mg/5 mL megestrol acetate with a two-week washout period between treatments. Plasma samples were collected before and up to 120 hours after administration, and their plasma drug concentrations were analyzed using validated liquid chromatography-mass spectrometry/mass spectrometry. The pharmacokinetic parameters were calculated, and bioequivalence was confirmed if the 90% confidence intervals of the geometric mean ratios were within the specified bounds of 80.00% to 125.00%. In total, fifty-two subjects completed the study, contributing to the pharmacokinetic analysis. The 90% confidence intervals for the geometric mean ratios of the test formulation compared to the reference formulation were 93.85% to 108.90% for maximum plasma concentration and 91.60% to 101.78% for area under the concentration-time curve from the point of administration to last time point of blood sampling. Throughout the study, no serious or unexpected adverse events were observed. The pharmacokinetic profiles of both formulations of megestrol acetate (625 mg) were comparable and well tolerated in healthy Korean male adult subjects. The test formulation met regulatory criteria for bioequivalence.

Trial registration: ClinicalTrials.gov Identifier: NCT06147908.

求助全文
通过发布文献求助,成功后即可免费获取论文全文。 去求助
来源期刊
Translational and Clinical Pharmacology
Translational and Clinical Pharmacology Medicine-Pharmacology (medical)
CiteScore
1.60
自引率
11.10%
发文量
17
期刊介绍: Translational and Clinical Pharmacology (Transl Clin Pharmacol, TCP) is the official journal of the Korean Society for Clinical Pharmacology and Therapeutics (KSCPT). TCP is an interdisciplinary journal devoted to the dissemination of knowledge relating to all aspects of translational and clinical pharmacology. The categories for publication include pharmacokinetics (PK) and drug disposition, drug metabolism, pharmacodynamics (PD), clinical trials and design issues, pharmacogenomics and pharmacogenetics, pharmacometrics, pharmacoepidemiology, pharmacovigilence, and human pharmacology. Studies involving animal models, pharmacological characterization, and clinical trials are appropriate for consideration.
×
引用
GB/T 7714-2015
复制
MLA
复制
APA
复制
导出至
BibTeX EndNote RefMan NoteFirst NoteExpress
×
提示
您的信息不完整,为了账户安全,请先补充。
现在去补充
×
提示
您因"违规操作"
具体请查看互助需知
我知道了
×
提示
确定
请完成安全验证×
copy
已复制链接
快去分享给好友吧!
我知道了
右上角分享
点击右上角分享
0
联系我们:info@booksci.cn Book学术提供免费学术资源搜索服务,方便国内外学者检索中英文文献。致力于提供最便捷和优质的服务体验。 Copyright © 2023 布克学术 All rights reserved.
京ICP备2023020795号-1
ghs 京公网安备 11010802042870号
Book学术文献互助
Book学术文献互助群
群 号:604180095
Book学术官方微信