校正 18 F-FDG PET/CT 基线参数对原发性 DLBCL 预后的预测价值:一项单中心研究。

IF 0.9 Q4 RADIOLOGY, NUCLEAR MEDICINE & MEDICAL IMAGING
World Journal of Nuclear Medicine Pub Date : 2024-02-13 eCollection Date: 2024-03-01 DOI:10.1055/s-0044-1779282
Min Li, Jianpeng Liu, Fangfei Liu, Rongbin Lv, Haowei Bai, Shuyong Liu
{"title":"校正 18 F-FDG PET/CT 基线参数对原发性 DLBCL 预后的预测价值:一项单中心研究。","authors":"Min Li, Jianpeng Liu, Fangfei Liu, Rongbin Lv, Haowei Bai, Shuyong Liu","doi":"10.1055/s-0044-1779282","DOIUrl":null,"url":null,"abstract":"<p><p><b>Objective</b>  The purpose of this study was to evaluate the prognostic significance of corrected baseline metabolic parameters in fluorodeoxyglucose positron emission tomography imaging ( <sup>18</sup> F-FDG PET/CT) for 3-year progression-free survival (PFS) in patients with primary diffuse large B cell lymphoma (DLBCL). <b>Patients and Methods</b>  Retrospective clinical and pathological data were collected for 199 patients of DLBCL diagnosed between January 2018 and January 2021. All patients underwent <sup>18</sup> F-FDG PET/CT scans without any form of treatment. The corrected maximum standardized uptake value (corSUVmax), corrected mean standardized uptake value (corSUVmean), corrected whole-body tumor metabolic volume sum (corMTVsum), and corrected total lesion glycolysis of whole body (corTLGtotal) were corrected using the SUVmean in a 1-cm diameter mediastinal blood pool (MBP) from the descending thoracic aorta of patients. Kaplan-Meier survival curves and Cox regression were used to examine the predictive significance of corrected baseline metabolic parameters on 3-year PFS of patients. The incremental values of corrected baseline metabolic parameters were evaluated by using Harrell's C-indices, receiver operating characteristic, and Decision Curve Analysis. <b>Results</b>  The multivariate analysis revealed that only the National Comprehensive Cancer Network (NCCN)-International Prognostic Index (IPI) and corMTVsum had an effect on 3-year PFS of patients ( <i>p</i>  < 0.05, respectively). The Kaplan-Meier survival analysis demonstrated significant differences in PFS between the risk groups classified by corSUVsum, corMTVsum, and corTLGtotal (log-rank test, <i>p</i>  < 0.05). The predictive model composed of corMTVsum and corTLGtotal surpasses the predictive performance of the model incorporating MTVsum and TLGtotal. The optimal performance was observed when corMTVsum was combined with NCCN-IPI, resulting in a Harrell's C index of 0.785 and area under the curve values of 0.863, 0.891, and 0.947 for the 1-, 2-, and 3-year PFS rates, respectively. <b>Conclusion</b>  The corMTVsum offers significant prognostic value for patients with DLBCL. Furthermore, the combination of corMTVsum with the NCCN-IPI can provide an accurate prediction of the prognosis.</p>","PeriodicalId":23742,"journal":{"name":"World Journal of Nuclear Medicine","volume":"23 1","pages":"33-42"},"PeriodicalIF":0.9000,"publicationDate":"2024-02-13","publicationTypes":"Journal Article","fieldsOfStudy":null,"isOpenAccess":false,"openAccessPdf":"https://www.ncbi.nlm.nih.gov/pmc/articles/PMC11001458/pdf/","citationCount":"0","resultStr":"{\"title\":\"Predictive Value of Corrected <sup>18</sup> F-FDG PET/CT Baseline Parameters for Primary DLBCL Prognosis: A Single-center Study.\",\"authors\":\"Min Li, Jianpeng Liu, Fangfei Liu, Rongbin Lv, Haowei Bai, Shuyong Liu\",\"doi\":\"10.1055/s-0044-1779282\",\"DOIUrl\":null,\"url\":null,\"abstract\":\"<p><p><b>Objective</b>  The purpose of this study was to evaluate the prognostic significance of corrected baseline metabolic parameters in fluorodeoxyglucose positron emission tomography imaging ( <sup>18</sup> F-FDG PET/CT) for 3-year progression-free survival (PFS) in patients with primary diffuse large B cell lymphoma (DLBCL). <b>Patients and Methods</b>  Retrospective clinical and pathological data were collected for 199 patients of DLBCL diagnosed between January 2018 and January 2021. All patients underwent <sup>18</sup> F-FDG PET/CT scans without any form of treatment. The corrected maximum standardized uptake value (corSUVmax), corrected mean standardized uptake value (corSUVmean), corrected whole-body tumor metabolic volume sum (corMTVsum), and corrected total lesion glycolysis of whole body (corTLGtotal) were corrected using the SUVmean in a 1-cm diameter mediastinal blood pool (MBP) from the descending thoracic aorta of patients. Kaplan-Meier survival curves and Cox regression were used to examine the predictive significance of corrected baseline metabolic parameters on 3-year PFS of patients. The incremental values of corrected baseline metabolic parameters were evaluated by using Harrell's C-indices, receiver operating characteristic, and Decision Curve Analysis. <b>Results</b>  The multivariate analysis revealed that only the National Comprehensive Cancer Network (NCCN)-International Prognostic Index (IPI) and corMTVsum had an effect on 3-year PFS of patients ( <i>p</i>  < 0.05, respectively). The Kaplan-Meier survival analysis demonstrated significant differences in PFS between the risk groups classified by corSUVsum, corMTVsum, and corTLGtotal (log-rank test, <i>p</i>  < 0.05). The predictive model composed of corMTVsum and corTLGtotal surpasses the predictive performance of the model incorporating MTVsum and TLGtotal. The optimal performance was observed when corMTVsum was combined with NCCN-IPI, resulting in a Harrell's C index of 0.785 and area under the curve values of 0.863, 0.891, and 0.947 for the 1-, 2-, and 3-year PFS rates, respectively. <b>Conclusion</b>  The corMTVsum offers significant prognostic value for patients with DLBCL. Furthermore, the combination of corMTVsum with the NCCN-IPI can provide an accurate prediction of the prognosis.</p>\",\"PeriodicalId\":23742,\"journal\":{\"name\":\"World Journal of Nuclear Medicine\",\"volume\":\"23 1\",\"pages\":\"33-42\"},\"PeriodicalIF\":0.9000,\"publicationDate\":\"2024-02-13\",\"publicationTypes\":\"Journal Article\",\"fieldsOfStudy\":null,\"isOpenAccess\":false,\"openAccessPdf\":\"https://www.ncbi.nlm.nih.gov/pmc/articles/PMC11001458/pdf/\",\"citationCount\":\"0\",\"resultStr\":null,\"platform\":\"Semanticscholar\",\"paperid\":null,\"PeriodicalName\":\"World Journal of Nuclear Medicine\",\"FirstCategoryId\":\"1085\",\"ListUrlMain\":\"https://doi.org/10.1055/s-0044-1779282\",\"RegionNum\":0,\"RegionCategory\":null,\"ArticlePicture\":[],\"TitleCN\":null,\"AbstractTextCN\":null,\"PMCID\":null,\"EPubDate\":\"2024/3/1 0:00:00\",\"PubModel\":\"eCollection\",\"JCR\":\"Q4\",\"JCRName\":\"RADIOLOGY, NUCLEAR MEDICINE & MEDICAL IMAGING\",\"Score\":null,\"Total\":0}","platform":"Semanticscholar","paperid":null,"PeriodicalName":"World Journal of Nuclear Medicine","FirstCategoryId":"1085","ListUrlMain":"https://doi.org/10.1055/s-0044-1779282","RegionNum":0,"RegionCategory":null,"ArticlePicture":[],"TitleCN":null,"AbstractTextCN":null,"PMCID":null,"EPubDate":"2024/3/1 0:00:00","PubModel":"eCollection","JCR":"Q4","JCRName":"RADIOLOGY, NUCLEAR MEDICINE & MEDICAL IMAGING","Score":null,"Total":0}
引用次数: 0

摘要

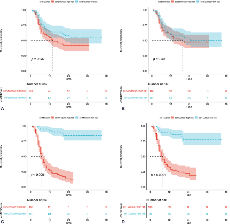
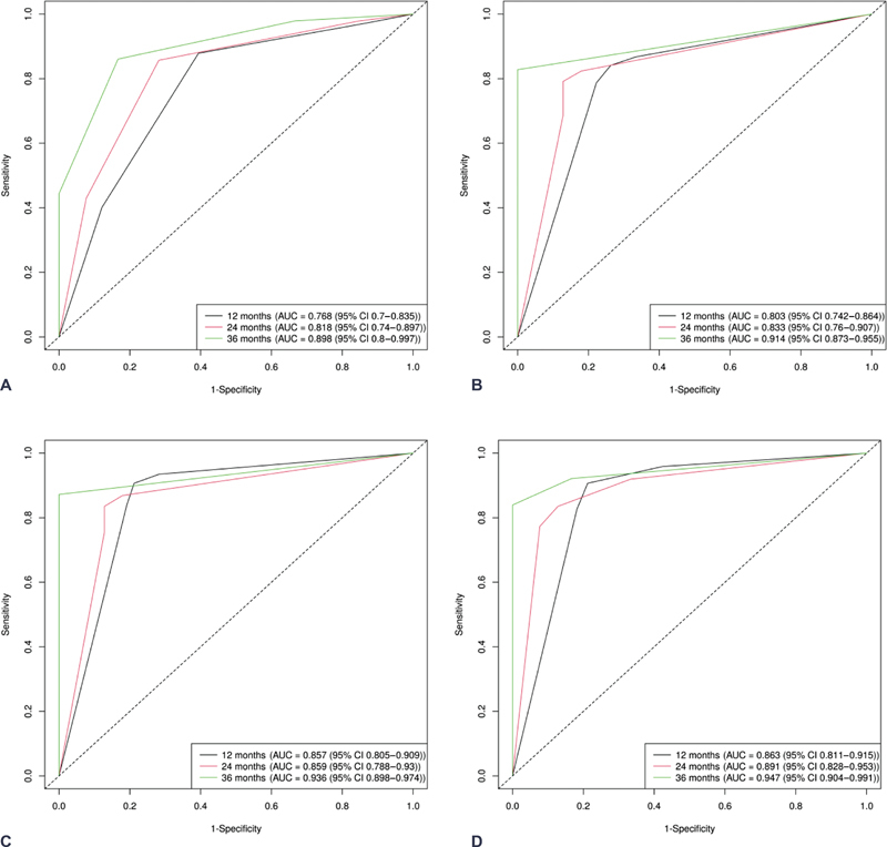
目的 本研究旨在评估氟脱氧葡萄糖正电子发射断层成像(18 F-FDG PET/CT)中校正基线代谢参数对原发性弥漫大 B 细胞淋巴瘤(DLBCL)患者 3 年无进展生存期(PFS)的预后意义。患者和方法 收集了2018年1月至2021年1月期间确诊的199例DLBCL患者的回顾性临床和病理数据。所有患者均在未接受任何治疗的情况下接受了 18 F-FDG PET/CT 扫描。校正后的最大标准化摄取值(corSUVmax)、校正后的平均标准化摄取值(corSUVmean)、校正后的全身肿瘤代谢体积总和(corMTVsum)和校正后的全身病变糖酵解总量(corTLGtotal)均使用患者胸主动脉降支直径为1厘米的纵隔血池(MBP)中的SUVmean进行校正。采用卡普兰-梅耶生存曲线和 Cox 回归检验校正基线代谢参数对患者 3 年 PFS 的预测意义。使用哈雷尔 C 指数、接受者操作特征和决策曲线分析评估了校正基线代谢参数的增量值。结果 多变量分析显示,只有美国国立综合癌症网络(NCCN)-国际预后指数(IPI)和 corMTVsum 对患者的 3 年 PFS 有影响(p p 结论 corMTVsum 对 DLBCL 患者具有显著的预后价值。此外,将 corMTVsum 与 NCCN-IPI 结合使用可准确预测预后。
本文章由计算机程序翻译,如有差异,请以英文原文为准。

Predictive Value of Corrected <sup>18</sup> F-FDG PET/CT Baseline Parameters for Primary DLBCL Prognosis: A Single-center Study.

Predictive Value of Corrected <sup>18</sup> F-FDG PET/CT Baseline Parameters for Primary DLBCL Prognosis: A Single-center Study.

Predictive Value of Corrected <sup>18</sup> F-FDG PET/CT Baseline Parameters for Primary DLBCL Prognosis: A Single-center Study.

Predictive Value of Corrected 18 F-FDG PET/CT Baseline Parameters for Primary DLBCL Prognosis: A Single-center Study.

Objective  The purpose of this study was to evaluate the prognostic significance of corrected baseline metabolic parameters in fluorodeoxyglucose positron emission tomography imaging ( 18 F-FDG PET/CT) for 3-year progression-free survival (PFS) in patients with primary diffuse large B cell lymphoma (DLBCL). Patients and Methods  Retrospective clinical and pathological data were collected for 199 patients of DLBCL diagnosed between January 2018 and January 2021. All patients underwent 18 F-FDG PET/CT scans without any form of treatment. The corrected maximum standardized uptake value (corSUVmax), corrected mean standardized uptake value (corSUVmean), corrected whole-body tumor metabolic volume sum (corMTVsum), and corrected total lesion glycolysis of whole body (corTLGtotal) were corrected using the SUVmean in a 1-cm diameter mediastinal blood pool (MBP) from the descending thoracic aorta of patients. Kaplan-Meier survival curves and Cox regression were used to examine the predictive significance of corrected baseline metabolic parameters on 3-year PFS of patients. The incremental values of corrected baseline metabolic parameters were evaluated by using Harrell's C-indices, receiver operating characteristic, and Decision Curve Analysis. Results  The multivariate analysis revealed that only the National Comprehensive Cancer Network (NCCN)-International Prognostic Index (IPI) and corMTVsum had an effect on 3-year PFS of patients ( p  < 0.05, respectively). The Kaplan-Meier survival analysis demonstrated significant differences in PFS between the risk groups classified by corSUVsum, corMTVsum, and corTLGtotal (log-rank test, p  < 0.05). The predictive model composed of corMTVsum and corTLGtotal surpasses the predictive performance of the model incorporating MTVsum and TLGtotal. The optimal performance was observed when corMTVsum was combined with NCCN-IPI, resulting in a Harrell's C index of 0.785 and area under the curve values of 0.863, 0.891, and 0.947 for the 1-, 2-, and 3-year PFS rates, respectively. Conclusion  The corMTVsum offers significant prognostic value for patients with DLBCL. Furthermore, the combination of corMTVsum with the NCCN-IPI can provide an accurate prediction of the prognosis.

求助全文
通过发布文献求助,成功后即可免费获取论文全文。 去求助
来源期刊
World Journal of Nuclear Medicine
World Journal of Nuclear Medicine RADIOLOGY, NUCLEAR MEDICINE & MEDICAL IMAGING-
自引率
16.70%
发文量
118
审稿时长
48 weeks
×
引用
GB/T 7714-2015
复制
MLA
复制
APA
复制
导出至
BibTeX EndNote RefMan NoteFirst NoteExpress
×
提示
您的信息不完整,为了账户安全,请先补充。
现在去补充
×
提示
您因"违规操作"
具体请查看互助需知
我知道了
×
提示
确定
请完成安全验证×
copy
已复制链接
快去分享给好友吧!
我知道了
右上角分享
点击右上角分享
0
联系我们:info@booksci.cn Book学术提供免费学术资源搜索服务,方便国内外学者检索中英文文献。致力于提供最便捷和优质的服务体验。 Copyright © 2023 布克学术 All rights reserved.
京ICP备2023020795号-1
ghs 京公网安备 11010802042870号
Book学术文献互助
Book学术文献互助群
群 号:604180095
Book学术官方微信