德国紧急医疗服务后的住院情况:2022 年 200 万住院病例分析。

IF 1.5 4区 医学 Q2 MEDICINE, GENERAL & INTERNAL
Martin Roessler, Claudia Schulte, Christoph Bobeth, Danny Wende, Christian Karagiannidis
{"title":"德国紧急医疗服务后的住院情况:2022 年 200 万住院病例分析。","authors":"Martin Roessler, Claudia Schulte, Christoph Bobeth, Danny Wende, Christian Karagiannidis","doi":"10.1007/s00063-024-01148-6","DOIUrl":null,"url":null,"abstract":"<p><strong>Background: </strong>The use of emergency medical services (EMS) in Germany has increased substantially over the last few decades. While current reform efforts aim to increase effectiveness and efficiency of the German hospital and EMS systems, there is lack of data on characteristics of hospital cases using EMS.</p><p><strong>Objectives: </strong>To analyze and compare the characteristics of cases hospitalized with and without the use of EMS.</p><p><strong>Materials and methods: </strong>The BARMER health insurance data on more than 2 million hospital cases admitted in 2022 were analyzed. The distributions of age, clinical complexity (measured by patient clinical complexity levels, PCCL), main diagnoses, costs for EMS and hospital treatment, and multiple severity indicators were described. The overall severity of hospital cases was classified as \"low or moderate\" or \"high\" based on a combined severity indicator. All analyses were stratified by use of EMS and EMS type.</p><p><strong>Results: </strong>A total of 28% of all included hospital cases used EMS. Relative to hospital cases without use of EMS, hospital cases with use of EMS were older (physician-staffed ambulance: 75 years, interquartile range [IQR] 59-84, double-crewed ambulance: 78 years, IQR 64-85) and had a higher clinical complexity. The severity of more than 30% of the cases using EMS (except for patient transport service ambulance) was classified as \"low or moderate\". The distributions of main diagnoses differed by severity and use of EMS.</p><p><strong>Conclusions: </strong>The high proportion of cases with low or moderate severity using EMS may indicate a substantial potential to avoid the use of EMS in the context of hospital admissions in Germany. Further investigation is required to explore whether the proportion of cases using EMS could be reduced by optimizing preclinical service.</p>","PeriodicalId":49019,"journal":{"name":"Medizinische Klinik-Intensivmedizin Und Notfallmedizin","volume":" ","pages":"230-237"},"PeriodicalIF":1.5000,"publicationDate":"2025-04-01","publicationTypes":"Journal Article","fieldsOfStudy":null,"isOpenAccess":false,"openAccessPdf":"https://www.ncbi.nlm.nih.gov/pmc/articles/PMC11961464/pdf/","citationCount":"0","resultStr":"{\"title\":\"Hospital admissions following emergency medical services in Germany: analysis of 2 million hospital cases in 2022.\",\"authors\":\"Martin Roessler, Claudia Schulte, Christoph Bobeth, Danny Wende, Christian Karagiannidis\",\"doi\":\"10.1007/s00063-024-01148-6\",\"DOIUrl\":null,\"url\":null,\"abstract\":\"<p><strong>Background: </strong>The use of emergency medical services (EMS) in Germany has increased substantially over the last few decades. While current reform efforts aim to increase effectiveness and efficiency of the German hospital and EMS systems, there is lack of data on characteristics of hospital cases using EMS.</p><p><strong>Objectives: </strong>To analyze and compare the characteristics of cases hospitalized with and without the use of EMS.</p><p><strong>Materials and methods: </strong>The BARMER health insurance data on more than 2 million hospital cases admitted in 2022 were analyzed. The distributions of age, clinical complexity (measured by patient clinical complexity levels, PCCL), main diagnoses, costs for EMS and hospital treatment, and multiple severity indicators were described. The overall severity of hospital cases was classified as \\\"low or moderate\\\" or \\\"high\\\" based on a combined severity indicator. All analyses were stratified by use of EMS and EMS type.</p><p><strong>Results: </strong>A total of 28% of all included hospital cases used EMS. Relative to hospital cases without use of EMS, hospital cases with use of EMS were older (physician-staffed ambulance: 75 years, interquartile range [IQR] 59-84, double-crewed ambulance: 78 years, IQR 64-85) and had a higher clinical complexity. The severity of more than 30% of the cases using EMS (except for patient transport service ambulance) was classified as \\\"low or moderate\\\". The distributions of main diagnoses differed by severity and use of EMS.</p><p><strong>Conclusions: </strong>The high proportion of cases with low or moderate severity using EMS may indicate a substantial potential to avoid the use of EMS in the context of hospital admissions in Germany. Further investigation is required to explore whether the proportion of cases using EMS could be reduced by optimizing preclinical service.</p>\",\"PeriodicalId\":49019,\"journal\":{\"name\":\"Medizinische Klinik-Intensivmedizin Und Notfallmedizin\",\"volume\":\" \",\"pages\":\"230-237\"},\"PeriodicalIF\":1.5000,\"publicationDate\":\"2025-04-01\",\"publicationTypes\":\"Journal Article\",\"fieldsOfStudy\":null,\"isOpenAccess\":false,\"openAccessPdf\":\"https://www.ncbi.nlm.nih.gov/pmc/articles/PMC11961464/pdf/\",\"citationCount\":\"0\",\"resultStr\":null,\"platform\":\"Semanticscholar\",\"paperid\":null,\"PeriodicalName\":\"Medizinische Klinik-Intensivmedizin Und Notfallmedizin\",\"FirstCategoryId\":\"3\",\"ListUrlMain\":\"https://doi.org/10.1007/s00063-024-01148-6\",\"RegionNum\":4,\"RegionCategory\":\"医学\",\"ArticlePicture\":[],\"TitleCN\":null,\"AbstractTextCN\":null,\"PMCID\":null,\"EPubDate\":\"2024/4/23 0:00:00\",\"PubModel\":\"Epub\",\"JCR\":\"Q2\",\"JCRName\":\"MEDICINE, GENERAL & INTERNAL\",\"Score\":null,\"Total\":0}","platform":"Semanticscholar","paperid":null,"PeriodicalName":"Medizinische Klinik-Intensivmedizin Und Notfallmedizin","FirstCategoryId":"3","ListUrlMain":"https://doi.org/10.1007/s00063-024-01148-6","RegionNum":4,"RegionCategory":"医学","ArticlePicture":[],"TitleCN":null,"AbstractTextCN":null,"PMCID":null,"EPubDate":"2024/4/23 0:00:00","PubModel":"Epub","JCR":"Q2","JCRName":"MEDICINE, GENERAL & INTERNAL","Score":null,"Total":0}
引用次数: 0

摘要

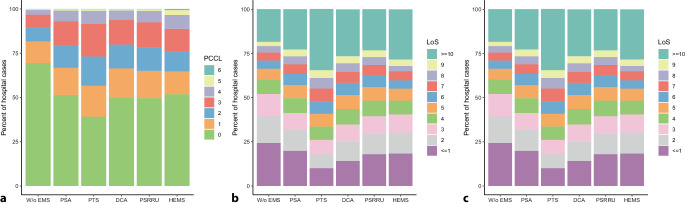
背景:过去几十年来,德国急救医疗服务(EMS)的使用率大幅提高。虽然目前的改革旨在提高德国医院和急救医疗系统的有效性和效率,但缺乏有关使用急救医疗系统的住院病例特征的数据:分析并比较使用和未使用 EMS 的住院病例特征:分析了 BARMER 医疗保险数据中 2022 年入院的 200 多万病例。描述了年龄、临床复杂性(以患者临床复杂性等级PCCL衡量)、主要诊断、急救和住院治疗费用以及多种严重性指标的分布情况。住院病例的总体严重程度根据综合严重程度指标分为 "低或中度 "或 "高度"。所有分析均按使用急救服务和急救服务类型进行分层:结果:在所有纳入的医院病例中,共有 28% 使用了急救服务。与未使用急救服务的医院病例相比,使用急救服务的医院病例年龄较大(配备医生的救护车:75岁,四分位数间距[IQR]59-84;双机组救护车:78岁,四分位数间距[IQR]64-85),临床复杂程度较高。使用急救医疗服务(病人转运服务救护车除外)的病例中有 30% 以上的严重程度被归类为 "低度或中度"。主要诊断的分布因严重程度和使用急救服务而异:使用急救医疗服务的低度或中度病例比例较高,这可能表明在德国住院治疗中避免使用急救医疗服务的潜力巨大。是否可以通过优化临床前服务来降低使用急救服务的病例比例,还需要进一步调查。
本文章由计算机程序翻译,如有差异,请以英文原文为准。

Hospital admissions following emergency medical services in Germany: analysis of 2 million hospital cases in 2022.

Hospital admissions following emergency medical services in Germany: analysis of 2 million hospital cases in 2022.

Hospital admissions following emergency medical services in Germany: analysis of 2 million hospital cases in 2022.

Hospital admissions following emergency medical services in Germany: analysis of 2 million hospital cases in 2022.

Background: The use of emergency medical services (EMS) in Germany has increased substantially over the last few decades. While current reform efforts aim to increase effectiveness and efficiency of the German hospital and EMS systems, there is lack of data on characteristics of hospital cases using EMS.

Objectives: To analyze and compare the characteristics of cases hospitalized with and without the use of EMS.

Materials and methods: The BARMER health insurance data on more than 2 million hospital cases admitted in 2022 were analyzed. The distributions of age, clinical complexity (measured by patient clinical complexity levels, PCCL), main diagnoses, costs for EMS and hospital treatment, and multiple severity indicators were described. The overall severity of hospital cases was classified as "low or moderate" or "high" based on a combined severity indicator. All analyses were stratified by use of EMS and EMS type.

Results: A total of 28% of all included hospital cases used EMS. Relative to hospital cases without use of EMS, hospital cases with use of EMS were older (physician-staffed ambulance: 75 years, interquartile range [IQR] 59-84, double-crewed ambulance: 78 years, IQR 64-85) and had a higher clinical complexity. The severity of more than 30% of the cases using EMS (except for patient transport service ambulance) was classified as "low or moderate". The distributions of main diagnoses differed by severity and use of EMS.

Conclusions: The high proportion of cases with low or moderate severity using EMS may indicate a substantial potential to avoid the use of EMS in the context of hospital admissions in Germany. Further investigation is required to explore whether the proportion of cases using EMS could be reduced by optimizing preclinical service.

求助全文
通过发布文献求助,成功后即可免费获取论文全文。 去求助
来源期刊
CiteScore
2.60
自引率
9.10%
发文量
93
审稿时长
6-12 weeks
期刊介绍: Medizinische Klinik – Intensivmedizin und Notfallmedizin is an internationally respected interdisciplinary journal. It is intended for physicians, nurses, respiratory and physical therapists active in intensive care and accident/emergency units, but also for internists, anesthesiologists, surgeons, neurologists, and pediatricians with special interest in intensive care medicine. Comprehensive reviews describe the most recent advances in the field of internal medicine with special focus on intensive care problems. Freely submitted original articles present important studies in this discipline and promote scientific exchange, while articles in the category Photo essay feature interesting cases and aim at optimizing diagnostic and therapeutic strategies. In the rubric journal club well-respected experts comment on outstanding international publications. Review articles under the rubric "Continuing Medical Education" present verified results of scientific research and their integration into daily practice. The rubrics "Nursing practice" and "Physical therapy" round out the information.
×
引用
GB/T 7714-2015
复制
MLA
复制
APA
复制
导出至
BibTeX EndNote RefMan NoteFirst NoteExpress
×
提示
您的信息不完整,为了账户安全,请先补充。
现在去补充
×
提示
您因"违规操作"
具体请查看互助需知
我知道了
×
提示
确定
请完成安全验证×
copy
已复制链接
快去分享给好友吧!
我知道了
右上角分享
点击右上角分享
0
联系我们:info@booksci.cn Book学术提供免费学术资源搜索服务,方便国内外学者检索中英文文献。致力于提供最便捷和优质的服务体验。 Copyright © 2023 布克学术 All rights reserved.
京ICP备2023020795号-1
ghs 京公网安备 11010802042870号
Book学术文献互助
Book学术文献互助群
群 号:604180095
Book学术官方微信