成人哮喘、过敏和阿司匹林过敏与自我报告的食物回避有关。

IF 1.4 Q3 RESPIRATORY SYSTEM
European Clinical Respiratory Journal Pub Date : 2024-05-02 eCollection Date: 2024-01-01 DOI:10.1080/20018525.2024.2347073
Marie Lundberg, Helena Voutilainen, Annina Lyly, Jussi Karjalainen, Heini Huhtala, Tanya M Laidlaw, Stella E Lee, Mikko Nuutinen, Sanna Toppila-Salmi
{"title":"成人哮喘、过敏和阿司匹林过敏与自我报告的食物回避有关。","authors":"Marie Lundberg, Helena Voutilainen, Annina Lyly, Jussi Karjalainen, Heini Huhtala, Tanya M Laidlaw, Stella E Lee, Mikko Nuutinen, Sanna Toppila-Salmi","doi":"10.1080/20018525.2024.2347073","DOIUrl":null,"url":null,"abstract":"<p><strong>Background: </strong>The adoption of avoidance diets by adult-onset asthmatics has not previously been studied. We hypothesized that avoidance diets would associate with adult-onset asthma, allergy, and aspirin-exacerbated respiratory disease (AERD).</p><p><strong>Methods: </strong>A total of 1247 subjects with adult-onset asthma (age range: 31-91) from the Finnish national registry, and age- and sex-matched controls (<i>n</i> = 1970) participated in a questionnaire study in 1997. We estimated the association between asthma/allergy/AERD and avoidance diets, adjusting for potential confounding factors and validated the results in two retrospective cohorts of 5080 rhinitis/rhinosinusitis patients and 167 AERD patients from 2019 to 2020.</p><p><strong>Results: </strong>The presence of asthma positively associated with adoption of any avoidance diet (adjusted OR [CI95%] 1.24 [1.02-1.51], <i>p</i> = 0.029) as did allergic disease and self-reported AERD within the asthmatic group (1.79 [1.29-2.48], <i>p</i> = 0.001 and 1.69 [1.15-2.49], <i>p</i> = 0.007, respectively). Asthmatics and allergic asthmatics were more likely to report avoidance of fish, fruits and vegetables, and spices (<i>p</i> ≤ 0.03) compared to controls and non-allergic asthmatics. The adjusted OR for multiple diets among AERD patients was 2.57 [1.34-4.95] <i>p</i> = 0.005. In the validation, 26.2% of the allergic asthmatics and 10.8% of AERD patients had documented avoidance diets.</p><p><strong>Conclusions: </strong>Our study shows a positive association between avoidance diets and adult-onset asthma, and with allergic disease or AERD within asthmatic patients. Although we lack information on the reason patients chose to observe a specific diet, our results reinforce the importance of asking patients about their diet and if needed, giving dietary advice for adult asthma patients to help them avoid the adoption of unnecessarily restrictive diets.</p>","PeriodicalId":11872,"journal":{"name":"European Clinical Respiratory Journal","volume":"11 1","pages":"2347073"},"PeriodicalIF":1.4000,"publicationDate":"2024-05-02","publicationTypes":"Journal Article","fieldsOfStudy":null,"isOpenAccess":false,"openAccessPdf":"https://www.ncbi.nlm.nih.gov/pmc/articles/PMC11067555/pdf/","citationCount":"0","resultStr":"{\"title\":\"Adult-onset asthma, allergy, and aspirin hypersensitivity associate with self-reported food avoidance.\",\"authors\":\"Marie Lundberg, Helena Voutilainen, Annina Lyly, Jussi Karjalainen, Heini Huhtala, Tanya M Laidlaw, Stella E Lee, Mikko Nuutinen, Sanna Toppila-Salmi\",\"doi\":\"10.1080/20018525.2024.2347073\",\"DOIUrl\":null,\"url\":null,\"abstract\":\"<p><strong>Background: </strong>The adoption of avoidance diets by adult-onset asthmatics has not previously been studied. We hypothesized that avoidance diets would associate with adult-onset asthma, allergy, and aspirin-exacerbated respiratory disease (AERD).</p><p><strong>Methods: </strong>A total of 1247 subjects with adult-onset asthma (age range: 31-91) from the Finnish national registry, and age- and sex-matched controls (<i>n</i> = 1970) participated in a questionnaire study in 1997. We estimated the association between asthma/allergy/AERD and avoidance diets, adjusting for potential confounding factors and validated the results in two retrospective cohorts of 5080 rhinitis/rhinosinusitis patients and 167 AERD patients from 2019 to 2020.</p><p><strong>Results: </strong>The presence of asthma positively associated with adoption of any avoidance diet (adjusted OR [CI95%] 1.24 [1.02-1.51], <i>p</i> = 0.029) as did allergic disease and self-reported AERD within the asthmatic group (1.79 [1.29-2.48], <i>p</i> = 0.001 and 1.69 [1.15-2.49], <i>p</i> = 0.007, respectively). Asthmatics and allergic asthmatics were more likely to report avoidance of fish, fruits and vegetables, and spices (<i>p</i> ≤ 0.03) compared to controls and non-allergic asthmatics. The adjusted OR for multiple diets among AERD patients was 2.57 [1.34-4.95] <i>p</i> = 0.005. In the validation, 26.2% of the allergic asthmatics and 10.8% of AERD patients had documented avoidance diets.</p><p><strong>Conclusions: </strong>Our study shows a positive association between avoidance diets and adult-onset asthma, and with allergic disease or AERD within asthmatic patients. Although we lack information on the reason patients chose to observe a specific diet, our results reinforce the importance of asking patients about their diet and if needed, giving dietary advice for adult asthma patients to help them avoid the adoption of unnecessarily restrictive diets.</p>\",\"PeriodicalId\":11872,\"journal\":{\"name\":\"European Clinical Respiratory Journal\",\"volume\":\"11 1\",\"pages\":\"2347073\"},\"PeriodicalIF\":1.4000,\"publicationDate\":\"2024-05-02\",\"publicationTypes\":\"Journal Article\",\"fieldsOfStudy\":null,\"isOpenAccess\":false,\"openAccessPdf\":\"https://www.ncbi.nlm.nih.gov/pmc/articles/PMC11067555/pdf/\",\"citationCount\":\"0\",\"resultStr\":null,\"platform\":\"Semanticscholar\",\"paperid\":null,\"PeriodicalName\":\"European Clinical Respiratory Journal\",\"FirstCategoryId\":\"1085\",\"ListUrlMain\":\"https://doi.org/10.1080/20018525.2024.2347073\",\"RegionNum\":0,\"RegionCategory\":null,\"ArticlePicture\":[],\"TitleCN\":null,\"AbstractTextCN\":null,\"PMCID\":null,\"EPubDate\":\"2024/1/1 0:00:00\",\"PubModel\":\"eCollection\",\"JCR\":\"Q3\",\"JCRName\":\"RESPIRATORY SYSTEM\",\"Score\":null,\"Total\":0}","platform":"Semanticscholar","paperid":null,"PeriodicalName":"European Clinical Respiratory Journal","FirstCategoryId":"1085","ListUrlMain":"https://doi.org/10.1080/20018525.2024.2347073","RegionNum":0,"RegionCategory":null,"ArticlePicture":[],"TitleCN":null,"AbstractTextCN":null,"PMCID":null,"EPubDate":"2024/1/1 0:00:00","PubModel":"eCollection","JCR":"Q3","JCRName":"RESPIRATORY SYSTEM","Score":null,"Total":0}
引用次数: 0

摘要

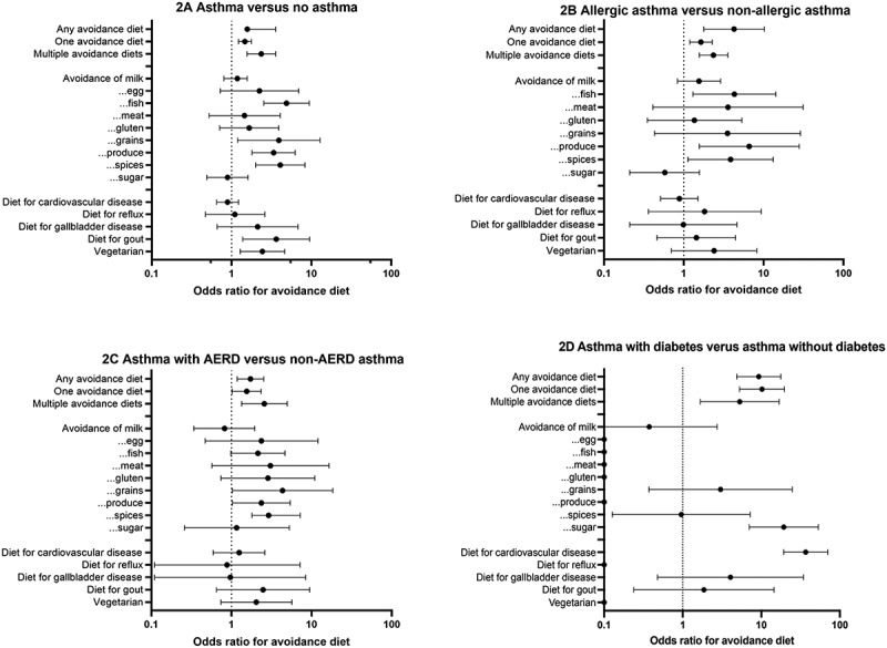
背景:以前从未研究过成年哮喘患者采用忌口饮食的情况。我们假设忌口饮食与成人哮喘、过敏和阿司匹林加重呼吸道疾病(AERD)有关:1997年,来自芬兰国家登记处的1247名成人哮喘患者(年龄在31-91岁之间)以及年龄和性别匹配的对照组(n = 1970)参加了一项问卷调查。我们估算了哮喘/过敏/肺气肿与忌口饮食之间的关系,调整了潜在的混杂因素,并在2019年至2020年的两个回顾性队列中对5080名鼻炎/鼻窦炎患者和167名肺气肿患者的结果进行了验证:哮喘与采用任何忌口饮食呈正相关(调整后 OR [CI95%]为 1.24 [1.02-1.51],p = 0.029),哮喘组中的过敏性疾病和自我报告的 AERD 也是如此(分别为 1.79 [1.29-2.48],p = 0.001 和 1.69 [1.15-2.49],p = 0.007)。与对照组和非过敏性哮喘患者相比,哮喘患者和过敏性哮喘患者更有可能报告避免食用鱼类、水果和蔬菜以及香料(p ≤ 0.03)。过敏性哮喘患者多种饮食的调整 OR 值为 2.57 [1.34-4.95] p = 0.005。在验证中,26.2% 的过敏性哮喘患者和 10.8% 的过敏性胃食管反流病患者有忌口的记录:我们的研究表明,忌口与成人哮喘、过敏性疾病或哮喘性呼吸道疾病之间存在正相关。虽然我们缺乏有关患者选择特定饮食的原因的信息,但我们的研究结果加强了询问患者饮食情况的重要性,并在必要时为成年哮喘患者提供饮食建议,以帮助他们避免采用不必要的限制性饮食。
本文章由计算机程序翻译,如有差异,请以英文原文为准。

Adult-onset asthma, allergy, and aspirin hypersensitivity associate with self-reported food avoidance.

Adult-onset asthma, allergy, and aspirin hypersensitivity associate with self-reported food avoidance.

Adult-onset asthma, allergy, and aspirin hypersensitivity associate with self-reported food avoidance.

Background: The adoption of avoidance diets by adult-onset asthmatics has not previously been studied. We hypothesized that avoidance diets would associate with adult-onset asthma, allergy, and aspirin-exacerbated respiratory disease (AERD).

Methods: A total of 1247 subjects with adult-onset asthma (age range: 31-91) from the Finnish national registry, and age- and sex-matched controls (n = 1970) participated in a questionnaire study in 1997. We estimated the association between asthma/allergy/AERD and avoidance diets, adjusting for potential confounding factors and validated the results in two retrospective cohorts of 5080 rhinitis/rhinosinusitis patients and 167 AERD patients from 2019 to 2020.

Results: The presence of asthma positively associated with adoption of any avoidance diet (adjusted OR [CI95%] 1.24 [1.02-1.51], p = 0.029) as did allergic disease and self-reported AERD within the asthmatic group (1.79 [1.29-2.48], p = 0.001 and 1.69 [1.15-2.49], p = 0.007, respectively). Asthmatics and allergic asthmatics were more likely to report avoidance of fish, fruits and vegetables, and spices (p ≤ 0.03) compared to controls and non-allergic asthmatics. The adjusted OR for multiple diets among AERD patients was 2.57 [1.34-4.95] p = 0.005. In the validation, 26.2% of the allergic asthmatics and 10.8% of AERD patients had documented avoidance diets.

Conclusions: Our study shows a positive association between avoidance diets and adult-onset asthma, and with allergic disease or AERD within asthmatic patients. Although we lack information on the reason patients chose to observe a specific diet, our results reinforce the importance of asking patients about their diet and if needed, giving dietary advice for adult asthma patients to help them avoid the adoption of unnecessarily restrictive diets.

求助全文
通过发布文献求助,成功后即可免费获取论文全文。 去求助
来源期刊
CiteScore
3.80
自引率
0.00%
发文量
15
审稿时长
16 weeks
×
引用
GB/T 7714-2015
复制
MLA
复制
APA
复制
导出至
BibTeX EndNote RefMan NoteFirst NoteExpress
×
提示
您的信息不完整,为了账户安全,请先补充。
现在去补充
×
提示
您因"违规操作"
具体请查看互助需知
我知道了
×
提示
确定
请完成安全验证×
copy
已复制链接
快去分享给好友吧!
我知道了
右上角分享
点击右上角分享
0
联系我们:info@booksci.cn Book学术提供免费学术资源搜索服务,方便国内外学者检索中英文文献。致力于提供最便捷和优质的服务体验。 Copyright © 2023 布克学术 All rights reserved.
京ICP备2023020795号-1
ghs 京公网安备 11010802042870号
Book学术文献互助
Book学术文献互助群
群 号:604180095
Book学术官方微信