鼻整形罗塞塔石碑:使用 Rasch 分析法创建并验证 NOSE 和 SCHNOS 功能分量表之间的交叉点。

IF 3.4 2区 医学 Q1 SURGERY
Plastic and reconstructive surgery Pub Date : 2024-11-01 Epub Date: 2024-03-29 DOI:10.1097/PRS.0000000000011438
Floris V W J van Zijl, Frank Declau, Dimitris Rizopoulos, Frank R Datema
{"title":"鼻整形罗塞塔石碑:使用 Rasch 分析法创建并验证 NOSE 和 SCHNOS 功能分量表之间的交叉点。","authors":"Floris V W J van Zijl, Frank Declau, Dimitris Rizopoulos, Frank R Datema","doi":"10.1097/PRS.0000000000011438","DOIUrl":null,"url":null,"abstract":"<p><strong>Background: </strong>The Nasal Obstruction Symptom Evaluation (NOSE) and the Functional subscale of the Standardized Cosmesis and Health Nasal Outcomes Survey (SCHNOS-O) are widely used patient-reported outcome measures to measure functional outcomes of rhinoplasty. However, as different instruments produce scores on different metrics, results of these instruments cannot be linked directly, thus hindering comparison and aggregating of rhinoplasty outcome data from practices using either instrument. The aim of this study was to develop and validate crosswalks between the NOSE and the SCHNOS-O.</p><p><strong>Methods: </strong>In a sample of 552 rhinoplasty patients who completed both instruments, the NOSE and SCHNOS-O scales were co-calibrated onto a common interval-scaled metric using Rasch analysis. Separate Rasch models were run per instrument, and the latent constructs were estimated using the calibrated item parameters. By anchoring original patient-reported outcome measure scores of both instruments to this Rasch computed measurement scale, the scores of both instruments were linked. A second independent sample was used to validate the created crosswalks.</p><p><strong>Results: </strong>Total scores on the NOSE and SCHNOS-O were strongly correlated. The Rasch-based co-calibration of the NOSE and SCHNOS-O items resulted in a model that adequately fitted the data. Back-and-forth crosswalk tables were created from the NOSE to the SCHNOS-O. For patients with moderate nasal obstruction, predicted SCHNOS-O scores were slightly higher for a given level of the NOSE. Intraclass correlation coefficients between predicted and actual scores were 0.93 for both directions, indicating adequate agreement for group-level comparisons.</p><p><strong>Conclusions: </strong>This study developed and validated Rasch-based crosswalks from the NOSE to the SCHNOS-O and vice versa. The provided crosswalks enhance comparison and harmonization of functional rhinoplasty outcomes.</p>","PeriodicalId":20128,"journal":{"name":"Plastic and reconstructive surgery","volume":" ","pages":"955-963"},"PeriodicalIF":3.4000,"publicationDate":"2024-11-01","publicationTypes":"Journal Article","fieldsOfStudy":null,"isOpenAccess":false,"openAccessPdf":"https://www.ncbi.nlm.nih.gov/pmc/articles/PMC11512607/pdf/","citationCount":"0","resultStr":"{\"title\":\"The Rhinoplasty Rosetta Stone: Using Rasch Analysis to Create and Validate Crosswalks between the NOSE and the SCHNOS Functional Subscale.\",\"authors\":\"Floris V W J van Zijl, Frank Declau, Dimitris Rizopoulos, Frank R Datema\",\"doi\":\"10.1097/PRS.0000000000011438\",\"DOIUrl\":null,\"url\":null,\"abstract\":\"<p><strong>Background: </strong>The Nasal Obstruction Symptom Evaluation (NOSE) and the Functional subscale of the Standardized Cosmesis and Health Nasal Outcomes Survey (SCHNOS-O) are widely used patient-reported outcome measures to measure functional outcomes of rhinoplasty. However, as different instruments produce scores on different metrics, results of these instruments cannot be linked directly, thus hindering comparison and aggregating of rhinoplasty outcome data from practices using either instrument. The aim of this study was to develop and validate crosswalks between the NOSE and the SCHNOS-O.</p><p><strong>Methods: </strong>In a sample of 552 rhinoplasty patients who completed both instruments, the NOSE and SCHNOS-O scales were co-calibrated onto a common interval-scaled metric using Rasch analysis. Separate Rasch models were run per instrument, and the latent constructs were estimated using the calibrated item parameters. By anchoring original patient-reported outcome measure scores of both instruments to this Rasch computed measurement scale, the scores of both instruments were linked. A second independent sample was used to validate the created crosswalks.</p><p><strong>Results: </strong>Total scores on the NOSE and SCHNOS-O were strongly correlated. The Rasch-based co-calibration of the NOSE and SCHNOS-O items resulted in a model that adequately fitted the data. Back-and-forth crosswalk tables were created from the NOSE to the SCHNOS-O. For patients with moderate nasal obstruction, predicted SCHNOS-O scores were slightly higher for a given level of the NOSE. Intraclass correlation coefficients between predicted and actual scores were 0.93 for both directions, indicating adequate agreement for group-level comparisons.</p><p><strong>Conclusions: </strong>This study developed and validated Rasch-based crosswalks from the NOSE to the SCHNOS-O and vice versa. The provided crosswalks enhance comparison and harmonization of functional rhinoplasty outcomes.</p>\",\"PeriodicalId\":20128,\"journal\":{\"name\":\"Plastic and reconstructive surgery\",\"volume\":\" \",\"pages\":\"955-963\"},\"PeriodicalIF\":3.4000,\"publicationDate\":\"2024-11-01\",\"publicationTypes\":\"Journal Article\",\"fieldsOfStudy\":null,\"isOpenAccess\":false,\"openAccessPdf\":\"https://www.ncbi.nlm.nih.gov/pmc/articles/PMC11512607/pdf/\",\"citationCount\":\"0\",\"resultStr\":null,\"platform\":\"Semanticscholar\",\"paperid\":null,\"PeriodicalName\":\"Plastic and reconstructive surgery\",\"FirstCategoryId\":\"3\",\"ListUrlMain\":\"https://doi.org/10.1097/PRS.0000000000011438\",\"RegionNum\":2,\"RegionCategory\":\"医学\",\"ArticlePicture\":[],\"TitleCN\":null,\"AbstractTextCN\":null,\"PMCID\":null,\"EPubDate\":\"2024/3/29 0:00:00\",\"PubModel\":\"Epub\",\"JCR\":\"Q1\",\"JCRName\":\"SURGERY\",\"Score\":null,\"Total\":0}","platform":"Semanticscholar","paperid":null,"PeriodicalName":"Plastic and reconstructive surgery","FirstCategoryId":"3","ListUrlMain":"https://doi.org/10.1097/PRS.0000000000011438","RegionNum":2,"RegionCategory":"医学","ArticlePicture":[],"TitleCN":null,"AbstractTextCN":null,"PMCID":null,"EPubDate":"2024/3/29 0:00:00","PubModel":"Epub","JCR":"Q1","JCRName":"SURGERY","Score":null,"Total":0}
引用次数: 0

摘要

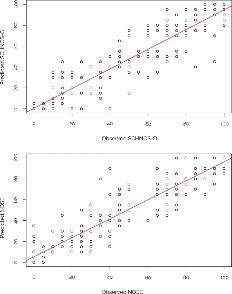
背景:NOSE 和 SCHNOS 功能子量表是广泛使用的 PROMs,用于测量鼻整形术的功能效果。然而,由于不同的工具会产生不同指标的分数,这些工具的结果无法直接联系起来。这就阻碍了比较和汇总使用这两种工具的鼻整形结果数据。本研究的目的是开发并验证 NOSE 和 SCHNOS-O 之间的交叉路径:方法:在完成两种工具的 552 名鼻部整形患者样本中,使用 Rasch 分析法将 NOSE 和 SCHNOS-O 量表共同校准到一个通用的区间标度指标上。每种工具都运行独立的 Rasch 模型,并使用校准后的项目参数估计潜在结构。通过将两种工具的原始 PROM 分数锚定到该 Rasch 计算出的测量量表上,两种工具的分数被连接起来。第二个独立样本被用来验证所创建的交叉路径:结果:NOSE 和 SCHNOS-O 的总分具有很强的相关性。对NOSE和SCHNOS-O项目进行基于Rasch的共同校准后,得出了一个能够充分拟合数据的模型。建立了从 NOSE 到 SCHNOS-O 的前后交叉表。对于中度鼻阻塞患者,在一定的 NOSE 水平下,预测的 SCHNOS-O 分数略高。在两个方向上,预测得分与实际得分之间的类内相关系数均为 0.93,这表明在进行组级比较时,两者之间的相关性足够一致:本研究开发并验证了从 NOSE 到 SCHNOS-O 的基于 Rasch 的交叉路径,反之亦然。所提供的交叉路径加强了功能性鼻整形结果的比较和协调。
本文章由计算机程序翻译,如有差异,请以英文原文为准。

The Rhinoplasty Rosetta Stone: Using Rasch Analysis to Create and Validate Crosswalks between the NOSE and the SCHNOS Functional Subscale.

The Rhinoplasty Rosetta Stone: Using Rasch Analysis to Create and Validate Crosswalks between the NOSE and the SCHNOS Functional Subscale.

The Rhinoplasty Rosetta Stone: Using Rasch Analysis to Create and Validate Crosswalks between the NOSE and the SCHNOS Functional Subscale.

The Rhinoplasty Rosetta Stone: Using Rasch Analysis to Create and Validate Crosswalks between the NOSE and the SCHNOS Functional Subscale.

Background: The Nasal Obstruction Symptom Evaluation (NOSE) and the Functional subscale of the Standardized Cosmesis and Health Nasal Outcomes Survey (SCHNOS-O) are widely used patient-reported outcome measures to measure functional outcomes of rhinoplasty. However, as different instruments produce scores on different metrics, results of these instruments cannot be linked directly, thus hindering comparison and aggregating of rhinoplasty outcome data from practices using either instrument. The aim of this study was to develop and validate crosswalks between the NOSE and the SCHNOS-O.

Methods: In a sample of 552 rhinoplasty patients who completed both instruments, the NOSE and SCHNOS-O scales were co-calibrated onto a common interval-scaled metric using Rasch analysis. Separate Rasch models were run per instrument, and the latent constructs were estimated using the calibrated item parameters. By anchoring original patient-reported outcome measure scores of both instruments to this Rasch computed measurement scale, the scores of both instruments were linked. A second independent sample was used to validate the created crosswalks.

Results: Total scores on the NOSE and SCHNOS-O were strongly correlated. The Rasch-based co-calibration of the NOSE and SCHNOS-O items resulted in a model that adequately fitted the data. Back-and-forth crosswalk tables were created from the NOSE to the SCHNOS-O. For patients with moderate nasal obstruction, predicted SCHNOS-O scores were slightly higher for a given level of the NOSE. Intraclass correlation coefficients between predicted and actual scores were 0.93 for both directions, indicating adequate agreement for group-level comparisons.

Conclusions: This study developed and validated Rasch-based crosswalks from the NOSE to the SCHNOS-O and vice versa. The provided crosswalks enhance comparison and harmonization of functional rhinoplasty outcomes.

求助全文
通过发布文献求助,成功后即可免费获取论文全文。 去求助
来源期刊
CiteScore
5.00
自引率
13.90%
发文量
1436
审稿时长
1.5 months
期刊介绍: For more than 70 years Plastic and Reconstructive Surgery® has been the one consistently excellent reference for every specialist who uses plastic surgery techniques or works in conjunction with a plastic surgeon. Plastic and Reconstructive Surgery® , the official journal of the American Society of Plastic Surgeons, is a benefit of Society membership, and is also available on a subscription basis. Plastic and Reconstructive Surgery® brings subscribers up-to-the-minute reports on the latest techniques and follow-up for all areas of plastic and reconstructive surgery, including breast reconstruction, experimental studies, maxillofacial reconstruction, hand and microsurgery, burn repair, cosmetic surgery, as well as news on medicolegal issues. The cosmetic section provides expanded coverage on new procedures and techniques and offers more cosmetic-specific content than any other journal. All subscribers enjoy full access to the Journal''s website, which features broadcast quality videos of reconstructive and cosmetic procedures, podcasts, comprehensive article archives dating to 1946, and additional benefits offered by the newly-redesigned website.
×
引用
GB/T 7714-2015
复制
MLA
复制
APA
复制
导出至
BibTeX EndNote RefMan NoteFirst NoteExpress
×
提示
您的信息不完整,为了账户安全,请先补充。
现在去补充
×
提示
您因"违规操作"
具体请查看互助需知
我知道了
×
提示
确定
请完成安全验证×
copy
已复制链接
快去分享给好友吧!
我知道了
右上角分享
点击右上角分享
0
联系我们:info@booksci.cn Book学术提供免费学术资源搜索服务,方便国内外学者检索中英文文献。致力于提供最便捷和优质的服务体验。 Copyright © 2023 布克学术 All rights reserved.
京ICP备2023020795号-1
ghs 京公网安备 11010802042870号
Book学术文献互助
Book学术文献互助群
群 号:604180095
Book学术官方微信