对间质性肺病急性加重期住院患者进行虚弱程度评估的临床意义。

IF 2.3 3区 医学 Q2 RESPIRATORY SYSTEM
Marine Van Hollebeke, Karan Chohan, Colin J Adams, Jolene H Fisher, Shane Shapera, Lee Fidler, Ewan C Goligher, Tereza Martinu, Lisa Wickerson, Sunita Mathur, Lianne G Singer, W Darlene Reid, Dmitry Rozenberg
{"title":"对间质性肺病急性加重期住院患者进行虚弱程度评估的临床意义。","authors":"Marine Van Hollebeke, Karan Chohan, Colin J Adams, Jolene H Fisher, Shane Shapera, Lee Fidler, Ewan C Goligher, Tereza Martinu, Lisa Wickerson, Sunita Mathur, Lianne G Singer, W Darlene Reid, Dmitry Rozenberg","doi":"10.1177/14799731241240786","DOIUrl":null,"url":null,"abstract":"<p><strong>Background: </strong>Approximately 50% of patients with interstitial lung disease (ILD) experience frailty, which remains unexplored in acute exacerbations of ILD (AE-ILD). A better understanding may help with prognostication and resource planning. We evaluated the association of frailty with clinical characteristics, physical function, hospital outcomes, and post-AE-ILD recovery.</p><p><strong>Methods: </strong>Retrospective cohort study of AE-ILD patients (01/2015-10/2019) with frailty (proportion ≥0.25) on a 30-item cumulative-deficits index. Frail and non-frail patients were compared for pre- and post-hospitalization clinical characteristics, adjusted for age, sex, and ILD diagnosis. One-year mortality, considering transplantation as a competing risk, was analysed adjusting for age, frailty, and Charlson Comorbidity Index (CCI).</p><p><strong>Results: </strong>89 AE-ILD patients were admitted (median: 67 years, 63% idiopathic pulmonary fibrosis). 31 were frail, which was associated with older age, greater CCI, lower 6-min walk distance, and decreased independence pre-hospitalization. Frail patients had more major complications (32% vs 10%, <i>p</i> = .01) and required more multidisciplinary support during hospitalization. Frailty was not associated with 1-year mortality (HR: 0.97, 95%CI: [0.45-2.10]) factoring transplantation as a competing risk.</p><p><strong>Conclusions: </strong>Frailty was associated with reduced exercise capacity, increased comorbidities and hospital complications. Identifying frailty may highlight those requiring additional multidisciplinary support, but further study is needed to explore whether frailty is modifiable with AE-ILD.</p>","PeriodicalId":10217,"journal":{"name":"Chronic Respiratory Disease","volume":"21 ","pages":"14799731241240786"},"PeriodicalIF":2.3000,"publicationDate":"2024-01-01","publicationTypes":"Journal Article","fieldsOfStudy":null,"isOpenAccess":false,"openAccessPdf":"https://www.ncbi.nlm.nih.gov/pmc/articles/PMC10958799/pdf/","citationCount":"0","resultStr":"{\"title\":\"Clinical implications of frailty assessed in hospitalized patients with acute-exacerbation of interstitial lung disease.\",\"authors\":\"Marine Van Hollebeke, Karan Chohan, Colin J Adams, Jolene H Fisher, Shane Shapera, Lee Fidler, Ewan C Goligher, Tereza Martinu, Lisa Wickerson, Sunita Mathur, Lianne G Singer, W Darlene Reid, Dmitry Rozenberg\",\"doi\":\"10.1177/14799731241240786\",\"DOIUrl\":null,\"url\":null,\"abstract\":\"<p><strong>Background: </strong>Approximately 50% of patients with interstitial lung disease (ILD) experience frailty, which remains unexplored in acute exacerbations of ILD (AE-ILD). A better understanding may help with prognostication and resource planning. We evaluated the association of frailty with clinical characteristics, physical function, hospital outcomes, and post-AE-ILD recovery.</p><p><strong>Methods: </strong>Retrospective cohort study of AE-ILD patients (01/2015-10/2019) with frailty (proportion ≥0.25) on a 30-item cumulative-deficits index. Frail and non-frail patients were compared for pre- and post-hospitalization clinical characteristics, adjusted for age, sex, and ILD diagnosis. One-year mortality, considering transplantation as a competing risk, was analysed adjusting for age, frailty, and Charlson Comorbidity Index (CCI).</p><p><strong>Results: </strong>89 AE-ILD patients were admitted (median: 67 years, 63% idiopathic pulmonary fibrosis). 31 were frail, which was associated with older age, greater CCI, lower 6-min walk distance, and decreased independence pre-hospitalization. Frail patients had more major complications (32% vs 10%, <i>p</i> = .01) and required more multidisciplinary support during hospitalization. Frailty was not associated with 1-year mortality (HR: 0.97, 95%CI: [0.45-2.10]) factoring transplantation as a competing risk.</p><p><strong>Conclusions: </strong>Frailty was associated with reduced exercise capacity, increased comorbidities and hospital complications. Identifying frailty may highlight those requiring additional multidisciplinary support, but further study is needed to explore whether frailty is modifiable with AE-ILD.</p>\",\"PeriodicalId\":10217,\"journal\":{\"name\":\"Chronic Respiratory Disease\",\"volume\":\"21 \",\"pages\":\"14799731241240786\"},\"PeriodicalIF\":2.3000,\"publicationDate\":\"2024-01-01\",\"publicationTypes\":\"Journal Article\",\"fieldsOfStudy\":null,\"isOpenAccess\":false,\"openAccessPdf\":\"https://www.ncbi.nlm.nih.gov/pmc/articles/PMC10958799/pdf/\",\"citationCount\":\"0\",\"resultStr\":null,\"platform\":\"Semanticscholar\",\"paperid\":null,\"PeriodicalName\":\"Chronic Respiratory Disease\",\"FirstCategoryId\":\"3\",\"ListUrlMain\":\"https://doi.org/10.1177/14799731241240786\",\"RegionNum\":3,\"RegionCategory\":\"医学\",\"ArticlePicture\":[],\"TitleCN\":null,\"AbstractTextCN\":null,\"PMCID\":null,\"EPubDate\":\"\",\"PubModel\":\"\",\"JCR\":\"Q2\",\"JCRName\":\"RESPIRATORY SYSTEM\",\"Score\":null,\"Total\":0}","platform":"Semanticscholar","paperid":null,"PeriodicalName":"Chronic Respiratory Disease","FirstCategoryId":"3","ListUrlMain":"https://doi.org/10.1177/14799731241240786","RegionNum":3,"RegionCategory":"医学","ArticlePicture":[],"TitleCN":null,"AbstractTextCN":null,"PMCID":null,"EPubDate":"","PubModel":"","JCR":"Q2","JCRName":"RESPIRATORY SYSTEM","Score":null,"Total":0}
引用次数: 0

摘要

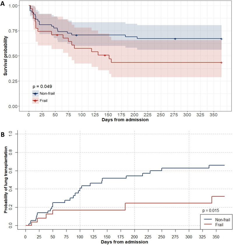
背景:约 50% 的间质性肺病(ILD)患者会出现虚弱症状,而这一症状在 ILD 急性加重期(AE-ILD)中仍未得到研究。加深对这一问题的了解有助于预后判断和资源规划。我们评估了虚弱与临床特征、身体功能、住院结果和 AE-ILD 后恢复的关系:方法:对AE-ILD患者(01/2015-10/2019)进行回顾性队列研究,根据30项累积缺陷指数评估虚弱程度(比例≥0.25)。比较了虚弱和非虚弱患者入院前后的临床特征,并对年龄、性别和 ILD 诊断进行了调整。考虑到移植是一种竞争风险,对一年死亡率进行了分析,并对年龄、体弱程度和夏尔森综合症指数(CCI)进行了调整:共收治了 89 名 AE-ILD 患者(中位数:67 岁,63% 为特发性肺纤维化)。31名患者体质虚弱,这与年龄较大、CCI较高、6分钟步行距离较短、入院前独立性较差有关。体弱患者的主要并发症较多(32% vs 10%,P = .01),住院期间需要更多的多学科支持。将移植作为竞争风险考虑在内,体弱与1年死亡率无关(HR:0.97,95%CI:[0.45-2.10]):结论:体弱与运动能力下降、合并症和住院并发症增加有关。识别虚弱可能会突出那些需要额外多学科支持的患者,但还需要进一步的研究来探讨虚弱是否可以通过AE-ILD来改变。
本文章由计算机程序翻译,如有差异,请以英文原文为准。

Clinical implications of frailty assessed in hospitalized patients with acute-exacerbation of interstitial lung disease.

Clinical implications of frailty assessed in hospitalized patients with acute-exacerbation of interstitial lung disease.

Clinical implications of frailty assessed in hospitalized patients with acute-exacerbation of interstitial lung disease.

Clinical implications of frailty assessed in hospitalized patients with acute-exacerbation of interstitial lung disease.

Background: Approximately 50% of patients with interstitial lung disease (ILD) experience frailty, which remains unexplored in acute exacerbations of ILD (AE-ILD). A better understanding may help with prognostication and resource planning. We evaluated the association of frailty with clinical characteristics, physical function, hospital outcomes, and post-AE-ILD recovery.

Methods: Retrospective cohort study of AE-ILD patients (01/2015-10/2019) with frailty (proportion ≥0.25) on a 30-item cumulative-deficits index. Frail and non-frail patients were compared for pre- and post-hospitalization clinical characteristics, adjusted for age, sex, and ILD diagnosis. One-year mortality, considering transplantation as a competing risk, was analysed adjusting for age, frailty, and Charlson Comorbidity Index (CCI).

Results: 89 AE-ILD patients were admitted (median: 67 years, 63% idiopathic pulmonary fibrosis). 31 were frail, which was associated with older age, greater CCI, lower 6-min walk distance, and decreased independence pre-hospitalization. Frail patients had more major complications (32% vs 10%, p = .01) and required more multidisciplinary support during hospitalization. Frailty was not associated with 1-year mortality (HR: 0.97, 95%CI: [0.45-2.10]) factoring transplantation as a competing risk.

Conclusions: Frailty was associated with reduced exercise capacity, increased comorbidities and hospital complications. Identifying frailty may highlight those requiring additional multidisciplinary support, but further study is needed to explore whether frailty is modifiable with AE-ILD.

求助全文
通过发布文献求助,成功后即可免费获取论文全文。 去求助
来源期刊
Chronic Respiratory Disease
Chronic Respiratory Disease RESPIRATORY SYSTEM-
CiteScore
5.90
自引率
7.30%
发文量
47
审稿时长
11 weeks
期刊介绍: Chronic Respiratory Disease is a peer-reviewed, open access, scholarly journal, created in response to the rising incidence of chronic respiratory diseases worldwide. It publishes high quality research papers and original articles that have immediate relevance to clinical practice and its multi-disciplinary perspective reflects the nature of modern treatment. The journal provides a high quality, multi-disciplinary focus for the publication of original papers, reviews and commentary in the broad area of chronic respiratory disease, particularly its treatment and management.
×
引用
GB/T 7714-2015
复制
MLA
复制
APA
复制
导出至
BibTeX EndNote RefMan NoteFirst NoteExpress
×
提示
您的信息不完整,为了账户安全,请先补充。
现在去补充
×
提示
您因"违规操作"
具体请查看互助需知
我知道了
×
提示
确定
请完成安全验证×
copy
已复制链接
快去分享给好友吧!
我知道了
右上角分享
点击右上角分享
0
联系我们:info@booksci.cn Book学术提供免费学术资源搜索服务,方便国内外学者检索中英文文献。致力于提供最便捷和优质的服务体验。 Copyright © 2023 布克学术 All rights reserved.
京ICP备2023020795号-1
ghs 京公网安备 11010802042870号
Book学术文献互助
Book学术文献互助群
群 号:604180095
Book学术官方微信