研究 COVID-19 干扰对爱尔兰人群乳腺癌筛查的影响。

IF 2.3 4区 医学 Q2 PUBLIC, ENVIRONMENTAL & OCCUPATIONAL HEALTH
Journal of Medical Screening Pub Date : 2024-09-01 Epub Date: 2024-03-21 DOI:10.1177/09691413241232899
Jessica O'Driscoll, Therese Mooney, Paul Kearney, Yvonne Williams, Suzanne Lynch, Alissa Connors, Aideen Larke, Sorcha McNally, Ann O'Doherty, Laura Murphy, Kathleen E Bennett, Patricia Fitzpatrick, Maeve Mullooly, Fidelma Flanagan
{"title":"研究 COVID-19 干扰对爱尔兰人群乳腺癌筛查的影响。","authors":"Jessica O'Driscoll, Therese Mooney, Paul Kearney, Yvonne Williams, Suzanne Lynch, Alissa Connors, Aideen Larke, Sorcha McNally, Ann O'Doherty, Laura Murphy, Kathleen E Bennett, Patricia Fitzpatrick, Maeve Mullooly, Fidelma Flanagan","doi":"10.1177/09691413241232899","DOIUrl":null,"url":null,"abstract":"<p><strong>Objective: </strong>Many population-based breast screening programmes temporarily suspended routine screening following the COVID-19 pandemic onset. This study aimed to describe screening mammography utilisation and the pattern of screen-detected breast cancer diagnoses following COVID-19-related screening disruptions in Ireland.</p><p><strong>Methods: </strong>Using anonymous aggregate data from women invited for routine screening, three time periods were examined: (1) January-December 2019, (2) January-December 2020, and (3) January-December 2021. Descriptive statistics were conducted and comparisons between groups were performed using chi-square tests.</p><p><strong>Results: </strong>In 2020, screening mammography capacity fell by 67.1% compared to 2019; recovering to 75% of mammograms performed in 2019, during 2021. Compared to 2019, for screen-detected invasive breast cancers, a reduction in Grade 1 (14.2% vs. 17.2%) and Grade 2 tumours (53.4% vs. 58.0%) and an increase in Grade 3 tumours (32.4% vs. 24.8%) was observed in 2020 (<i>p</i> = 0.03); whereas an increase in Grade 2 tumours (63.3% vs. 58.0%) and a reduction in Grade 3 tumours (19.6% vs. 24.8%) was found in 2021 (<i>p</i> = 0.02). No changes in oestrogen receptor-positive or nodal-positive diagnoses were observed; however the proportion of oestrogen/progesterone receptor-positive breast cancers significantly increased in 2020 (76.2%; <i>p</i> < 0.01) and 2021 (78.7%; <i>p</i> < 0.001) compared to 2019 (67.8%).</p><p><strong>Conclusion: </strong>These findings demonstrate signs of a grade change for screen-detected invasive breast cancers early in the pandemic, with recovery evident in 2021, and without an increase in nodal positivity. Future studies are needed to determine the COVID-19 impact on long-term breast cancer outcomes including mortality.</p>","PeriodicalId":51089,"journal":{"name":"Journal of Medical Screening","volume":" ","pages":"182-190"},"PeriodicalIF":2.3000,"publicationDate":"2024-09-01","publicationTypes":"Journal Article","fieldsOfStudy":null,"isOpenAccess":false,"openAccessPdf":"https://www.ncbi.nlm.nih.gov/pmc/articles/PMC11330080/pdf/","citationCount":"0","resultStr":"{\"title\":\"Examining the impact of COVID-19 disruptions on population-based breast cancer screening in Ireland.\",\"authors\":\"Jessica O'Driscoll, Therese Mooney, Paul Kearney, Yvonne Williams, Suzanne Lynch, Alissa Connors, Aideen Larke, Sorcha McNally, Ann O'Doherty, Laura Murphy, Kathleen E Bennett, Patricia Fitzpatrick, Maeve Mullooly, Fidelma Flanagan\",\"doi\":\"10.1177/09691413241232899\",\"DOIUrl\":null,\"url\":null,\"abstract\":\"<p><strong>Objective: </strong>Many population-based breast screening programmes temporarily suspended routine screening following the COVID-19 pandemic onset. This study aimed to describe screening mammography utilisation and the pattern of screen-detected breast cancer diagnoses following COVID-19-related screening disruptions in Ireland.</p><p><strong>Methods: </strong>Using anonymous aggregate data from women invited for routine screening, three time periods were examined: (1) January-December 2019, (2) January-December 2020, and (3) January-December 2021. Descriptive statistics were conducted and comparisons between groups were performed using chi-square tests.</p><p><strong>Results: </strong>In 2020, screening mammography capacity fell by 67.1% compared to 2019; recovering to 75% of mammograms performed in 2019, during 2021. Compared to 2019, for screen-detected invasive breast cancers, a reduction in Grade 1 (14.2% vs. 17.2%) and Grade 2 tumours (53.4% vs. 58.0%) and an increase in Grade 3 tumours (32.4% vs. 24.8%) was observed in 2020 (<i>p</i> = 0.03); whereas an increase in Grade 2 tumours (63.3% vs. 58.0%) and a reduction in Grade 3 tumours (19.6% vs. 24.8%) was found in 2021 (<i>p</i> = 0.02). No changes in oestrogen receptor-positive or nodal-positive diagnoses were observed; however the proportion of oestrogen/progesterone receptor-positive breast cancers significantly increased in 2020 (76.2%; <i>p</i> < 0.01) and 2021 (78.7%; <i>p</i> < 0.001) compared to 2019 (67.8%).</p><p><strong>Conclusion: </strong>These findings demonstrate signs of a grade change for screen-detected invasive breast cancers early in the pandemic, with recovery evident in 2021, and without an increase in nodal positivity. Future studies are needed to determine the COVID-19 impact on long-term breast cancer outcomes including mortality.</p>\",\"PeriodicalId\":51089,\"journal\":{\"name\":\"Journal of Medical Screening\",\"volume\":\" \",\"pages\":\"182-190\"},\"PeriodicalIF\":2.3000,\"publicationDate\":\"2024-09-01\",\"publicationTypes\":\"Journal Article\",\"fieldsOfStudy\":null,\"isOpenAccess\":false,\"openAccessPdf\":\"https://www.ncbi.nlm.nih.gov/pmc/articles/PMC11330080/pdf/\",\"citationCount\":\"0\",\"resultStr\":null,\"platform\":\"Semanticscholar\",\"paperid\":null,\"PeriodicalName\":\"Journal of Medical Screening\",\"FirstCategoryId\":\"3\",\"ListUrlMain\":\"https://doi.org/10.1177/09691413241232899\",\"RegionNum\":4,\"RegionCategory\":\"医学\",\"ArticlePicture\":[],\"TitleCN\":null,\"AbstractTextCN\":null,\"PMCID\":null,\"EPubDate\":\"2024/3/21 0:00:00\",\"PubModel\":\"Epub\",\"JCR\":\"Q2\",\"JCRName\":\"PUBLIC, ENVIRONMENTAL & OCCUPATIONAL HEALTH\",\"Score\":null,\"Total\":0}","platform":"Semanticscholar","paperid":null,"PeriodicalName":"Journal of Medical Screening","FirstCategoryId":"3","ListUrlMain":"https://doi.org/10.1177/09691413241232899","RegionNum":4,"RegionCategory":"医学","ArticlePicture":[],"TitleCN":null,"AbstractTextCN":null,"PMCID":null,"EPubDate":"2024/3/21 0:00:00","PubModel":"Epub","JCR":"Q2","JCRName":"PUBLIC, ENVIRONMENTAL & OCCUPATIONAL HEALTH","Score":null,"Total":0}
引用次数: 0

摘要

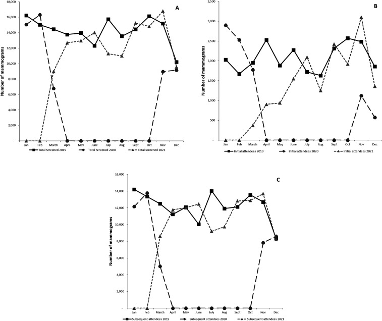
目的:COVID-19 大流行后,许多基于人群的乳腺筛查计划暂时中止了常规筛查。本研究旨在描述爱尔兰与 COVID-19 相关的筛查中断后乳腺 X 线照相术筛查的利用率和筛查出的乳腺癌诊断模式:利用受邀进行常规筛查的妇女的匿名汇总数据,对三个时间段进行了研究:(1) 2019 年 1 月至 12 月;(2) 2020 年 1 月至 12 月;(3) 2021 年 1 月至 12 月。研究采用描述性统计方法,组间比较采用卡方检验:与2019年相比,2020年乳腺X光筛查能力下降了67.1%;2021年期间,乳腺X光筛查能力恢复到2019年的75%。与 2019 年相比,2020 年筛查出的浸润性乳腺癌中,1 级肿瘤(14.2% 对 17.2%)和 2 级肿瘤(53.4% 对 58.0%)减少,3 级肿瘤增加(32.4% 对 24.8%)(p = 0.03);而 2021 年 2 级肿瘤增加(63.3% 对 58.0%),3 级肿瘤减少(19.6% 对 24.8%)(p = 0.02)。雌激素受体阳性或结节阳性的诊断结果未见变化;但雌激素/孕激素受体阳性乳腺癌的比例在 2020 年显著增加(76.2%;p p 结论:这些研究结果表明,在大流行早期,筛查出的浸润性乳腺癌有等级变化的迹象,2021 年恢复明显,结节阳性率没有增加。今后需要开展研究,以确定 COVID-19 对包括死亡率在内的长期乳腺癌结果的影响。
本文章由计算机程序翻译,如有差异,请以英文原文为准。

Examining the impact of COVID-19 disruptions on population-based breast cancer screening in Ireland.

Examining the impact of COVID-19 disruptions on population-based breast cancer screening in Ireland.

Examining the impact of COVID-19 disruptions on population-based breast cancer screening in Ireland.

Examining the impact of COVID-19 disruptions on population-based breast cancer screening in Ireland.

Objective: Many population-based breast screening programmes temporarily suspended routine screening following the COVID-19 pandemic onset. This study aimed to describe screening mammography utilisation and the pattern of screen-detected breast cancer diagnoses following COVID-19-related screening disruptions in Ireland.

Methods: Using anonymous aggregate data from women invited for routine screening, three time periods were examined: (1) January-December 2019, (2) January-December 2020, and (3) January-December 2021. Descriptive statistics were conducted and comparisons between groups were performed using chi-square tests.

Results: In 2020, screening mammography capacity fell by 67.1% compared to 2019; recovering to 75% of mammograms performed in 2019, during 2021. Compared to 2019, for screen-detected invasive breast cancers, a reduction in Grade 1 (14.2% vs. 17.2%) and Grade 2 tumours (53.4% vs. 58.0%) and an increase in Grade 3 tumours (32.4% vs. 24.8%) was observed in 2020 (p = 0.03); whereas an increase in Grade 2 tumours (63.3% vs. 58.0%) and a reduction in Grade 3 tumours (19.6% vs. 24.8%) was found in 2021 (p = 0.02). No changes in oestrogen receptor-positive or nodal-positive diagnoses were observed; however the proportion of oestrogen/progesterone receptor-positive breast cancers significantly increased in 2020 (76.2%; p < 0.01) and 2021 (78.7%; p < 0.001) compared to 2019 (67.8%).

Conclusion: These findings demonstrate signs of a grade change for screen-detected invasive breast cancers early in the pandemic, with recovery evident in 2021, and without an increase in nodal positivity. Future studies are needed to determine the COVID-19 impact on long-term breast cancer outcomes including mortality.

求助全文
通过发布文献求助,成功后即可免费获取论文全文。 去求助
来源期刊
Journal of Medical Screening
Journal of Medical Screening 医学-公共卫生、环境卫生与职业卫生
CiteScore
4.90
自引率
3.40%
发文量
40
审稿时长
>12 weeks
期刊介绍: Journal of Medical Screening, a fully peer reviewed journal, is concerned with all aspects of medical screening, particularly the publication of research that advances screening theory and practice. The journal aims to increase awareness of the principles of screening (quantitative and statistical aspects), screening techniques and procedures and methodologies from all specialties. An essential subscription for physicians, clinicians and academics with an interest in screening, epidemiology and public health.
×
引用
GB/T 7714-2015
复制
MLA
复制
APA
复制
导出至
BibTeX EndNote RefMan NoteFirst NoteExpress
×
提示
您的信息不完整,为了账户安全,请先补充。
现在去补充
×
提示
您因"违规操作"
具体请查看互助需知
我知道了
×
提示
确定
请完成安全验证×
copy
已复制链接
快去分享给好友吧!
我知道了
右上角分享
点击右上角分享
0
联系我们:info@booksci.cn Book学术提供免费学术资源搜索服务,方便国内外学者检索中英文文献。致力于提供最便捷和优质的服务体验。 Copyright © 2023 布克学术 All rights reserved.
京ICP备2023020795号-1
ghs 京公网安备 11010802042870号
Book学术文献互助
Book学术文献互助群
群 号:604180095
Book学术官方微信