影响冠状动脉旁路移植术慢性阻塞性肺病患者长期预后的围手术期风险预测因子

IF 0.9 4区 医学
Aleksander Dokollari, Serge Sicouri, Leila Hosseinian, Ozgun Erten, Basel Ramlawi, Gianluigi Bisleri, Massimo Bonacchi, Noah Sicouri, Gianluca Torregrossa, Francis P Sutter
{"title":"影响冠状动脉旁路移植术慢性阻塞性肺病患者长期预后的围手术期风险预测因子","authors":"Aleksander Dokollari, Serge Sicouri, Leila Hosseinian, Ozgun Erten, Basel Ramlawi, Gianluigi Bisleri, Massimo Bonacchi, Noah Sicouri, Gianluca Torregrossa, Francis P Sutter","doi":"10.14503/THIJ-23-8199","DOIUrl":null,"url":null,"abstract":"<p><strong>Objective: </strong>This study sought to identify periprocedural risk predictors that affect long-term prognosis in patients with chronic obstructive pulmonary disease (COPD) undergoing isolated coronary artery bypass grafting (CABG).</p><p><strong>Methods: </strong>All consecutive 4,871 patients undergoing isolated CABG between May 2005 and June 2021 were included. Patients with and without COPD were compared for baseline demographics and preoperative characteristics. A propensity-matched analysis was used to compare the 2 groups. The primary outcome was long-term incidence of all-cause death.</p><p><strong>Results: </strong>After matching, 767 patients each were included in the COPD and non-COPD groups; mean age was 71.6 and 71.4 years (P = .7), respectively; 29.3% and 32% (P = .2) were women, respectively. Intraoperatively, median (IQR) operating room time was higher in the COPD group than in the non-COPD group (5.9 [5.2-7.0] hours vs 5.8 [5.1-6.7] hours, respectively; P = .01). Postoperatively, intensive care unit stay (P = .03), hospital length of stay (P = .0004), and fresh frozen plasma transfusion units (P = .012) were higher in the COPD group than in the non-COPD group. Thirty-day mortality was not different between groups (1.3% in the COPD group vs 1% in the non-COPD group; P = .4). Median follow-up time was 4.0 years. The rate of all-cause death was higher in the COPD group than in the non-COPD group (138 patients [18.3%] vs 109 patients [14.5%], respectively; P = .042). Periprocedural risk predictors for all-cause death in patients with COPD were atrial fibrillation, diabetes, male sex, dialysis, ejection fraction less than 50%, peripheral vascular disease, and Society of Thoracic Surgeons Predicted Risk of Mortality score greater than 4%.</p><p><strong>Conclusion: </strong>Patients with COPD undergoing isolated CABG had a significantly higher incidence of all-cause death than those without COPD. Herein, risk predictors are provided for all-cause death in patients undergoing isolated CABG.</p>","PeriodicalId":48680,"journal":{"name":"Texas Heart Institute Journal","volume":"51 1","pages":""},"PeriodicalIF":0.9000,"publicationDate":"2024-03-18","publicationTypes":"Journal Article","fieldsOfStudy":null,"isOpenAccess":false,"openAccessPdf":"https://www.ncbi.nlm.nih.gov/pmc/articles/PMC11075519/pdf/","citationCount":"0","resultStr":"{\"title\":\"Periprocedural Risk Predictors Affecting Long-Term Prognosis in Patients With Chronic Obstructive Pulmonary Disease Undergoing Coronary Artery Bypass Grafting.\",\"authors\":\"Aleksander Dokollari, Serge Sicouri, Leila Hosseinian, Ozgun Erten, Basel Ramlawi, Gianluigi Bisleri, Massimo Bonacchi, Noah Sicouri, Gianluca Torregrossa, Francis P Sutter\",\"doi\":\"10.14503/THIJ-23-8199\",\"DOIUrl\":null,\"url\":null,\"abstract\":\"<p><strong>Objective: </strong>This study sought to identify periprocedural risk predictors that affect long-term prognosis in patients with chronic obstructive pulmonary disease (COPD) undergoing isolated coronary artery bypass grafting (CABG).</p><p><strong>Methods: </strong>All consecutive 4,871 patients undergoing isolated CABG between May 2005 and June 2021 were included. Patients with and without COPD were compared for baseline demographics and preoperative characteristics. A propensity-matched analysis was used to compare the 2 groups. The primary outcome was long-term incidence of all-cause death.</p><p><strong>Results: </strong>After matching, 767 patients each were included in the COPD and non-COPD groups; mean age was 71.6 and 71.4 years (P = .7), respectively; 29.3% and 32% (P = .2) were women, respectively. Intraoperatively, median (IQR) operating room time was higher in the COPD group than in the non-COPD group (5.9 [5.2-7.0] hours vs 5.8 [5.1-6.7] hours, respectively; P = .01). Postoperatively, intensive care unit stay (P = .03), hospital length of stay (P = .0004), and fresh frozen plasma transfusion units (P = .012) were higher in the COPD group than in the non-COPD group. Thirty-day mortality was not different between groups (1.3% in the COPD group vs 1% in the non-COPD group; P = .4). Median follow-up time was 4.0 years. The rate of all-cause death was higher in the COPD group than in the non-COPD group (138 patients [18.3%] vs 109 patients [14.5%], respectively; P = .042). Periprocedural risk predictors for all-cause death in patients with COPD were atrial fibrillation, diabetes, male sex, dialysis, ejection fraction less than 50%, peripheral vascular disease, and Society of Thoracic Surgeons Predicted Risk of Mortality score greater than 4%.</p><p><strong>Conclusion: </strong>Patients with COPD undergoing isolated CABG had a significantly higher incidence of all-cause death than those without COPD. Herein, risk predictors are provided for all-cause death in patients undergoing isolated CABG.</p>\",\"PeriodicalId\":48680,\"journal\":{\"name\":\"Texas Heart Institute Journal\",\"volume\":\"51 1\",\"pages\":\"\"},\"PeriodicalIF\":0.9000,\"publicationDate\":\"2024-03-18\",\"publicationTypes\":\"Journal Article\",\"fieldsOfStudy\":null,\"isOpenAccess\":false,\"openAccessPdf\":\"https://www.ncbi.nlm.nih.gov/pmc/articles/PMC11075519/pdf/\",\"citationCount\":\"0\",\"resultStr\":null,\"platform\":\"Semanticscholar\",\"paperid\":null,\"PeriodicalName\":\"Texas Heart Institute Journal\",\"FirstCategoryId\":\"3\",\"ListUrlMain\":\"https://doi.org/10.14503/THIJ-23-8199\",\"RegionNum\":4,\"RegionCategory\":\"医学\",\"ArticlePicture\":[],\"TitleCN\":null,\"AbstractTextCN\":null,\"PMCID\":null,\"EPubDate\":\"\",\"PubModel\":\"\",\"JCR\":\"\",\"JCRName\":\"\",\"Score\":null,\"Total\":0}","platform":"Semanticscholar","paperid":null,"PeriodicalName":"Texas Heart Institute Journal","FirstCategoryId":"3","ListUrlMain":"https://doi.org/10.14503/THIJ-23-8199","RegionNum":4,"RegionCategory":"医学","ArticlePicture":[],"TitleCN":null,"AbstractTextCN":null,"PMCID":null,"EPubDate":"","PubModel":"","JCR":"","JCRName":"","Score":null,"Total":0}
引用次数: 0

摘要

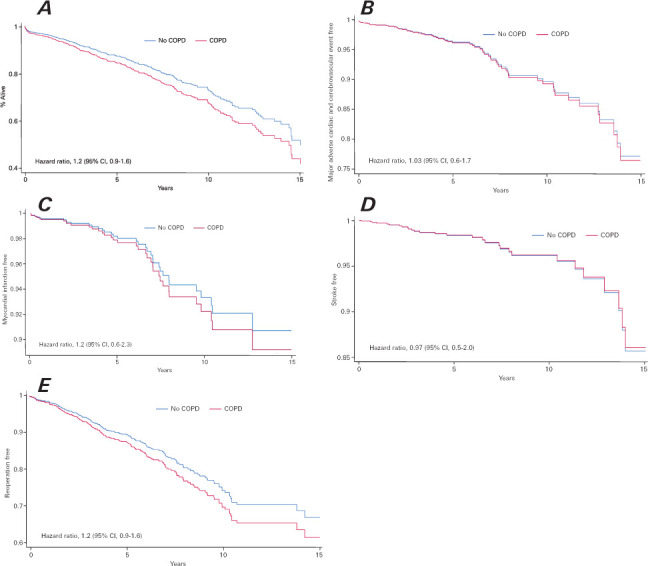
研究目的本研究旨在确定影响接受孤立冠状动脉旁路移植术(CABG)的慢性阻塞性肺病(COPD)患者长期预后的围手术期风险预测因素:方法:纳入2005年5月至2021年6月期间连续接受分离式冠状动脉旁路移植术的4871名患者。对患有和未患有慢性阻塞性肺病的患者进行基线人口统计学和术前特征比较。采用倾向匹配分析对两组患者进行比较。主要结果是全因死亡的长期发生率:匹配后,慢性阻塞性肺病组和非慢性阻塞性肺病组各有 767 名患者;平均年龄分别为 71.6 岁和 71.4 岁(P = .7);女性分别占 29.3% 和 32% (P = .2)。术中,慢性阻塞性肺病组的手术室时间中位数(IQR)高于非慢性阻塞性肺病组(分别为 5.9 [5.2-7.0] 小时 vs 5.8 [5.1-6.7] 小时;P = .01)。术后,慢性阻塞性肺病组的重症监护室住院时间(P = .03)、住院时间(P = .0004)和新鲜冰冻血浆输注单位(P = .012)均高于非慢性阻塞性肺病组。慢性阻塞性肺病组与非慢性阻塞性肺病组的 30 天死亡率没有差异(慢性阻塞性肺病组为 1.3%,非慢性阻塞性肺病组为 1%;P = .4)。中位随访时间为 4.0 年。慢性阻塞性肺病组的全因死亡率高于非慢性阻塞性肺病组(分别为 138 名患者 [18.3%] vs 109 名患者 [14.5%];P = .042)。COPD患者全因死亡的围手术期风险预测因素包括心房颤动、糖尿病、男性、透析、射血分数小于50%、外周血管疾病以及胸外科医师协会预测死亡风险评分大于4%:结论:接受孤立CABG手术的慢性阻塞性肺病患者的全因死亡发生率明显高于非慢性阻塞性肺病患者。本文提供了接受孤立的 CABG 患者全因死亡的风险预测指标。
本文章由计算机程序翻译,如有差异,请以英文原文为准。

Periprocedural Risk Predictors Affecting Long-Term Prognosis in Patients With Chronic Obstructive Pulmonary Disease Undergoing Coronary Artery Bypass Grafting.

Periprocedural Risk Predictors Affecting Long-Term Prognosis in Patients With Chronic Obstructive Pulmonary Disease Undergoing Coronary Artery Bypass Grafting.

Objective: This study sought to identify periprocedural risk predictors that affect long-term prognosis in patients with chronic obstructive pulmonary disease (COPD) undergoing isolated coronary artery bypass grafting (CABG).

Methods: All consecutive 4,871 patients undergoing isolated CABG between May 2005 and June 2021 were included. Patients with and without COPD were compared for baseline demographics and preoperative characteristics. A propensity-matched analysis was used to compare the 2 groups. The primary outcome was long-term incidence of all-cause death.

Results: After matching, 767 patients each were included in the COPD and non-COPD groups; mean age was 71.6 and 71.4 years (P = .7), respectively; 29.3% and 32% (P = .2) were women, respectively. Intraoperatively, median (IQR) operating room time was higher in the COPD group than in the non-COPD group (5.9 [5.2-7.0] hours vs 5.8 [5.1-6.7] hours, respectively; P = .01). Postoperatively, intensive care unit stay (P = .03), hospital length of stay (P = .0004), and fresh frozen plasma transfusion units (P = .012) were higher in the COPD group than in the non-COPD group. Thirty-day mortality was not different between groups (1.3% in the COPD group vs 1% in the non-COPD group; P = .4). Median follow-up time was 4.0 years. The rate of all-cause death was higher in the COPD group than in the non-COPD group (138 patients [18.3%] vs 109 patients [14.5%], respectively; P = .042). Periprocedural risk predictors for all-cause death in patients with COPD were atrial fibrillation, diabetes, male sex, dialysis, ejection fraction less than 50%, peripheral vascular disease, and Society of Thoracic Surgeons Predicted Risk of Mortality score greater than 4%.

Conclusion: Patients with COPD undergoing isolated CABG had a significantly higher incidence of all-cause death than those without COPD. Herein, risk predictors are provided for all-cause death in patients undergoing isolated CABG.

求助全文
通过发布文献求助,成功后即可免费获取论文全文。 去求助
来源期刊
Texas Heart Institute Journal
Texas Heart Institute Journal CARDIAC & CARDIOVASCULAR SYSTEMS-
自引率
11.10%
发文量
131
期刊介绍: For more than 45 years, the Texas Heart Institute Journal has been published by the Texas Heart Institute as part of its medical education program. Our bimonthly peer-reviewed journal enjoys a global audience of physicians, scientists, and healthcare professionals who are contributing to the prevention, diagnosis, and treatment of cardiovascular disease. The Journal was printed under the name of Cardiovascular Diseases from 1974 through 1981 (ISSN 0093-3546). The name was changed to Texas Heart Institute Journal in 1982 and was printed through 2013 (ISSN 0730-2347). In 2014, the Journal moved to online-only publication. It is indexed by Index Medicus/MEDLINE and by other indexing and abstracting services worldwide. Our full archive is available at PubMed Central. The Journal invites authors to submit these article types for review: -Clinical Investigations- Laboratory Investigations- Reviews- Techniques- Coronary Anomalies- History of Medicine- Case Reports/Case Series (Submission Fee: $70.00 USD)- Images in Cardiovascular Medicine (Submission Fee: $35.00 USD)- Guest Editorials- Peabody’s Corner- Letters to the Editor
×
引用
GB/T 7714-2015
复制
MLA
复制
APA
复制
导出至
BibTeX EndNote RefMan NoteFirst NoteExpress
×
提示
您的信息不完整,为了账户安全,请先补充。
现在去补充
×
提示
您因"违规操作"
具体请查看互助需知
我知道了
×
提示
确定
请完成安全验证×
copy
已复制链接
快去分享给好友吧!
我知道了
右上角分享
点击右上角分享
0
联系我们:info@booksci.cn Book学术提供免费学术资源搜索服务,方便国内外学者检索中英文文献。致力于提供最便捷和优质的服务体验。 Copyright © 2023 布克学术 All rights reserved.
京ICP备2023020795号-1
ghs 京公网安备 11010802042870号
Book学术文献互助
Book学术文献互助群
群 号:604180095
Book学术官方微信