为研究用猕猴开发新型灵长类动物福利评估工具。

IF 2.3 4区 农林科学 Q2 VETERINARY SCIENCES
Animal Welfare Pub Date : 2024-01-24 eCollection Date: 2024-01-01 DOI:10.1017/awf.2024.3
Emilie A Paterson, Carly I O'Malley, Dawn M Abney, William J Archibald, Patricia V Turner
{"title":"为研究用猕猴开发新型灵长类动物福利评估工具。","authors":"Emilie A Paterson, Carly I O'Malley, Dawn M Abney, William J Archibald, Patricia V Turner","doi":"10.1017/awf.2024.3","DOIUrl":null,"url":null,"abstract":"<p><p>Primates are important species for biomedical research and ensuring their good welfare is critical for research translatability and ethical responsibility. Systematic animal welfare assessments can support continuous programme improvements and build institutional awareness of areas requiring more attention. A multi-facility, collaborative project aimed to develop and implement a novel primate welfare assessment tool (PWAT) for use with research macaques. PWAT development involved: establishing an internal focus group of primate subject matter experts, identifying animal welfare categories and descriptors based on literature review, developing a preliminary tool, beta-testing the tool to ensure practicality and final consensus on descriptors, finalising the tool in a database with semi-automated data analysis, and delivering the tool to 13 sites across four countries. The tool uses input- and outcome-based measures from six categories: physical, behavioural, training, environmental, procedural, and culture of care. The final tool has 133 descriptors weighted based upon welfare impact, and is split into three forms for ease of use (room level, site level, and personnel interviews). The PWAT was trialled across facilities in March and September 2022 for benchmarking current macaque behavioural management programmes. The tool successfully distinguished strengths and challenges at the facility level and across sites. Following this benchmarking, the tool is being applied semi-annually to assess and monitor progress in behavioural management programmes. The development process of the PWAT demonstrates that evidence-based assessment tools can be developed through collaboration and consensus building, which are important for uptake and applicability, and ultimately for promoting global improvements in research macaque welfare.</p>","PeriodicalId":7894,"journal":{"name":"Animal Welfare","volume":"33 ","pages":"e3"},"PeriodicalIF":2.3000,"publicationDate":"2024-01-24","publicationTypes":"Journal Article","fieldsOfStudy":null,"isOpenAccess":false,"openAccessPdf":"https://www.ncbi.nlm.nih.gov/pmc/articles/PMC10936341/pdf/","citationCount":"0","resultStr":"{\"title\":\"Development of a novel primate welfare assessment tool for research macaques.\",\"authors\":\"Emilie A Paterson, Carly I O'Malley, Dawn M Abney, William J Archibald, Patricia V Turner\",\"doi\":\"10.1017/awf.2024.3\",\"DOIUrl\":null,\"url\":null,\"abstract\":\"<p><p>Primates are important species for biomedical research and ensuring their good welfare is critical for research translatability and ethical responsibility. Systematic animal welfare assessments can support continuous programme improvements and build institutional awareness of areas requiring more attention. A multi-facility, collaborative project aimed to develop and implement a novel primate welfare assessment tool (PWAT) for use with research macaques. PWAT development involved: establishing an internal focus group of primate subject matter experts, identifying animal welfare categories and descriptors based on literature review, developing a preliminary tool, beta-testing the tool to ensure practicality and final consensus on descriptors, finalising the tool in a database with semi-automated data analysis, and delivering the tool to 13 sites across four countries. The tool uses input- and outcome-based measures from six categories: physical, behavioural, training, environmental, procedural, and culture of care. The final tool has 133 descriptors weighted based upon welfare impact, and is split into three forms for ease of use (room level, site level, and personnel interviews). The PWAT was trialled across facilities in March and September 2022 for benchmarking current macaque behavioural management programmes. The tool successfully distinguished strengths and challenges at the facility level and across sites. Following this benchmarking, the tool is being applied semi-annually to assess and monitor progress in behavioural management programmes. The development process of the PWAT demonstrates that evidence-based assessment tools can be developed through collaboration and consensus building, which are important for uptake and applicability, and ultimately for promoting global improvements in research macaque welfare.</p>\",\"PeriodicalId\":7894,\"journal\":{\"name\":\"Animal Welfare\",\"volume\":\"33 \",\"pages\":\"e3\"},\"PeriodicalIF\":2.3000,\"publicationDate\":\"2024-01-24\",\"publicationTypes\":\"Journal Article\",\"fieldsOfStudy\":null,\"isOpenAccess\":false,\"openAccessPdf\":\"https://www.ncbi.nlm.nih.gov/pmc/articles/PMC10936341/pdf/\",\"citationCount\":\"0\",\"resultStr\":null,\"platform\":\"Semanticscholar\",\"paperid\":null,\"PeriodicalName\":\"Animal Welfare\",\"FirstCategoryId\":\"97\",\"ListUrlMain\":\"https://doi.org/10.1017/awf.2024.3\",\"RegionNum\":4,\"RegionCategory\":\"农林科学\",\"ArticlePicture\":[],\"TitleCN\":null,\"AbstractTextCN\":null,\"PMCID\":null,\"EPubDate\":\"2024/1/1 0:00:00\",\"PubModel\":\"eCollection\",\"JCR\":\"Q2\",\"JCRName\":\"VETERINARY SCIENCES\",\"Score\":null,\"Total\":0}","platform":"Semanticscholar","paperid":null,"PeriodicalName":"Animal Welfare","FirstCategoryId":"97","ListUrlMain":"https://doi.org/10.1017/awf.2024.3","RegionNum":4,"RegionCategory":"农林科学","ArticlePicture":[],"TitleCN":null,"AbstractTextCN":null,"PMCID":null,"EPubDate":"2024/1/1 0:00:00","PubModel":"eCollection","JCR":"Q2","JCRName":"VETERINARY SCIENCES","Score":null,"Total":0}
引用次数: 0

摘要

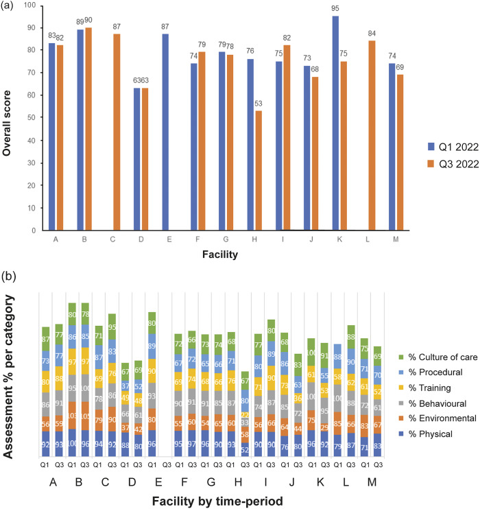
灵长类动物是生物医学研究的重要物种,确保其良好的福利对研究的可转化性和伦理责任至关重要。系统的动物福利评估可以支持项目的持续改进,并建立机构对需要更多关注领域的认识。一个多机构合作项目旨在开发和实施一种用于研究猕猴的新型灵长类动物福利评估工具(PWAT)。灵长类动物福利评估工具的开发包括:建立一个由灵长类动物主题专家组成的内部焦点小组,根据文献审查确定动物福利类别和描述符,开发一个初步工具,对工具进行测试以确保实用性并就描述符达成最终共识,在一个具有半自动数据分析功能的数据库中最终确定工具,以及向四个国家的 13 个研究机构提供该工具。该工具采用了以投入和结果为基础的措施,包括六个类别:物理、行为、培训、环境、程序和护理文化。最终工具有 133 个描述符,根据对福利的影响进行加权,并分为三种形式以方便使用(房间级、现场级和人员访谈)。公共福利评估工具于 2022 年 3 月和 9 月在各机构进行了试用,以确定当前猕猴行为管理计划的基准。该工具成功区分了设施层面和不同地点的优势和挑战。基准测试结束后,该工具将每半年使用一次,以评估和监测行为管理计划的进展情况。猕猴行为评估工具的开发过程表明,可以通过合作和建立共识来开发基于证据的评估工具,这对工具的吸收和应用以及最终促进全球猕猴福利研究的改善都非常重要。
本文章由计算机程序翻译,如有差异,请以英文原文为准。

Development of a novel primate welfare assessment tool for research macaques.

Development of a novel primate welfare assessment tool for research macaques.

Development of a novel primate welfare assessment tool for research macaques.

Development of a novel primate welfare assessment tool for research macaques.

Primates are important species for biomedical research and ensuring their good welfare is critical for research translatability and ethical responsibility. Systematic animal welfare assessments can support continuous programme improvements and build institutional awareness of areas requiring more attention. A multi-facility, collaborative project aimed to develop and implement a novel primate welfare assessment tool (PWAT) for use with research macaques. PWAT development involved: establishing an internal focus group of primate subject matter experts, identifying animal welfare categories and descriptors based on literature review, developing a preliminary tool, beta-testing the tool to ensure practicality and final consensus on descriptors, finalising the tool in a database with semi-automated data analysis, and delivering the tool to 13 sites across four countries. The tool uses input- and outcome-based measures from six categories: physical, behavioural, training, environmental, procedural, and culture of care. The final tool has 133 descriptors weighted based upon welfare impact, and is split into three forms for ease of use (room level, site level, and personnel interviews). The PWAT was trialled across facilities in March and September 2022 for benchmarking current macaque behavioural management programmes. The tool successfully distinguished strengths and challenges at the facility level and across sites. Following this benchmarking, the tool is being applied semi-annually to assess and monitor progress in behavioural management programmes. The development process of the PWAT demonstrates that evidence-based assessment tools can be developed through collaboration and consensus building, which are important for uptake and applicability, and ultimately for promoting global improvements in research macaque welfare.

求助全文
通过发布文献求助,成功后即可免费获取论文全文。 去求助
来源期刊
Animal Welfare
Animal Welfare 农林科学-动物学
CiteScore
2.30
自引率
8.30%
发文量
43
审稿时长
18-36 weeks
期刊介绍: Animal Welfare is an international scientific and technical journal. It publishes the results of peer-reviewed scientific research, technical studies and reviews relating to the welfare of kept animals (eg on farms, in laboratories, zoos and as companions) and of those in the wild whose welfare is compromised by human activities. Papers on related ethical, social, and legal issues and interdisciplinary papers will also be considered for publication. Studies that are derivative or which replicate existing publications will only be considered if they are adequately justified. Papers will only be considered if they bring new knowledge (for research papers), new perspectives (for reviews) or develop new techniques. Papers must have the potential to improve animal welfare, and the way in which they achieve this, or are likely to do so, must be clearly specified in the section on Animal welfare implications.
×
引用
GB/T 7714-2015
复制
MLA
复制
APA
复制
导出至
BibTeX EndNote RefMan NoteFirst NoteExpress
×
提示
您的信息不完整,为了账户安全,请先补充。
现在去补充
×
提示
您因"违规操作"
具体请查看互助需知
我知道了
×
提示
确定
请完成安全验证×
copy
已复制链接
快去分享给好友吧!
我知道了
右上角分享
点击右上角分享
0
联系我们:info@booksci.cn Book学术提供免费学术资源搜索服务,方便国内外学者检索中英文文献。致力于提供最便捷和优质的服务体验。 Copyright © 2023 布克学术 All rights reserved.
京ICP备2023020795号-1
ghs 京公网安备 11010802042870号
Book学术文献互助
Book学术文献互助群
群 号:604180095
Book学术官方微信