利用数据提取和纵向趋势分析 (DELTA) 系统分析冠状动脉支架安全性,测试基于云的医疗器械主动监测模型。

IF 1.5 Q4 ENGINEERING, BIOMEDICAL
Medical Devices-Evidence and Research Pub Date : 2024-02-27 eCollection Date: 2024-01-01 DOI:10.2147/MDER.S445160
Joseph P Drozda, Henry Ssemaganda, Edward A Frankenberger, Eric Brandt, Susan Robbins, Neha Khairnar, Alexandra Cha, Frederic S Resnic
{"title":"利用数据提取和纵向趋势分析 (DELTA) 系统分析冠状动脉支架安全性,测试基于云的医疗器械主动监测模型。","authors":"Joseph P Drozda, Henry Ssemaganda, Edward A Frankenberger, Eric Brandt, Susan Robbins, Neha Khairnar, Alexandra Cha, Frederic S Resnic","doi":"10.2147/MDER.S445160","DOIUrl":null,"url":null,"abstract":"<p><strong>Objective: </strong>To demonstrate the use of the Data Extraction and Longitudinal Trend Analysis (DELTA) system in the National Evaluation System for health Technology's (NEST) medical device surveillance cloud environment by analyzing coronary stent safety using real world clinical data and comparing results to clinical trial findings.</p><p><strong>Design and setting: </strong>Electronic health record (EHR) data from two health systems, the Social Security Death Master File, and device databases were ingested into the NEST cloud, and safety analyses of two stents were performed using DELTA.</p><p><strong>Participants and interventions: </strong>This is an observational study of patients receiving zotarolimus drug-eluting coronary stents (ZES) or everolimus eluting coronary stents (EES) between July 1, 2015 and December 31, 2017.</p><p><strong>Results: </strong>After exclusions, 3334 patients receiving EES and 1002 receiving ZES were available for study. Analysis using inverse probability weighting showed no significant difference in one-year mortality or major adverse cardiac events (MACE) for EES compared to ZES [Mortality Odds Ratio 0.94 (95% CI 0.81-1.175); p = 0.780] [MACE Odds Ratio 1.04 (95% CI 0.92-1.16; p = 0.551]). Analysis using propensity matching showed no significant difference in EES one-year mortality (547 of 992 alive and available after censoring) compared to ZES (546 of 992) [Log-Rank statistic 0.3348 (p = 0.563)].</p><p><strong>Conclusion: </strong>Automated cloud-based medical device safety surveillance using EHR data is feasible and was efficiently performed using DELTA. No statistically significant differences in 1-year safety outcomes between ZES and EES were identified using two statistical approaches, consistent with randomized trial findings.</p>","PeriodicalId":47140,"journal":{"name":"Medical Devices-Evidence and Research","volume":"17 ","pages":"97-105"},"PeriodicalIF":1.5000,"publicationDate":"2024-02-27","publicationTypes":"Journal Article","fieldsOfStudy":null,"isOpenAccess":false,"openAccessPdf":"https://www.ncbi.nlm.nih.gov/pmc/articles/PMC10908332/pdf/","citationCount":"0","resultStr":"{\"title\":\"Testing a Cloud-Based Model for Active Surveillance of Medical Devices with Analyses of Coronary Stent Safety Using the Data Extraction and Longitudinal Trend Analysis (DELTA) System.\",\"authors\":\"Joseph P Drozda, Henry Ssemaganda, Edward A Frankenberger, Eric Brandt, Susan Robbins, Neha Khairnar, Alexandra Cha, Frederic S Resnic\",\"doi\":\"10.2147/MDER.S445160\",\"DOIUrl\":null,\"url\":null,\"abstract\":\"<p><strong>Objective: </strong>To demonstrate the use of the Data Extraction and Longitudinal Trend Analysis (DELTA) system in the National Evaluation System for health Technology's (NEST) medical device surveillance cloud environment by analyzing coronary stent safety using real world clinical data and comparing results to clinical trial findings.</p><p><strong>Design and setting: </strong>Electronic health record (EHR) data from two health systems, the Social Security Death Master File, and device databases were ingested into the NEST cloud, and safety analyses of two stents were performed using DELTA.</p><p><strong>Participants and interventions: </strong>This is an observational study of patients receiving zotarolimus drug-eluting coronary stents (ZES) or everolimus eluting coronary stents (EES) between July 1, 2015 and December 31, 2017.</p><p><strong>Results: </strong>After exclusions, 3334 patients receiving EES and 1002 receiving ZES were available for study. Analysis using inverse probability weighting showed no significant difference in one-year mortality or major adverse cardiac events (MACE) for EES compared to ZES [Mortality Odds Ratio 0.94 (95% CI 0.81-1.175); p = 0.780] [MACE Odds Ratio 1.04 (95% CI 0.92-1.16; p = 0.551]). Analysis using propensity matching showed no significant difference in EES one-year mortality (547 of 992 alive and available after censoring) compared to ZES (546 of 992) [Log-Rank statistic 0.3348 (p = 0.563)].</p><p><strong>Conclusion: </strong>Automated cloud-based medical device safety surveillance using EHR data is feasible and was efficiently performed using DELTA. No statistically significant differences in 1-year safety outcomes between ZES and EES were identified using two statistical approaches, consistent with randomized trial findings.</p>\",\"PeriodicalId\":47140,\"journal\":{\"name\":\"Medical Devices-Evidence and Research\",\"volume\":\"17 \",\"pages\":\"97-105\"},\"PeriodicalIF\":1.5000,\"publicationDate\":\"2024-02-27\",\"publicationTypes\":\"Journal Article\",\"fieldsOfStudy\":null,\"isOpenAccess\":false,\"openAccessPdf\":\"https://www.ncbi.nlm.nih.gov/pmc/articles/PMC10908332/pdf/\",\"citationCount\":\"0\",\"resultStr\":null,\"platform\":\"Semanticscholar\",\"paperid\":null,\"PeriodicalName\":\"Medical Devices-Evidence and Research\",\"FirstCategoryId\":\"1085\",\"ListUrlMain\":\"https://doi.org/10.2147/MDER.S445160\",\"RegionNum\":0,\"RegionCategory\":null,\"ArticlePicture\":[],\"TitleCN\":null,\"AbstractTextCN\":null,\"PMCID\":null,\"EPubDate\":\"2024/1/1 0:00:00\",\"PubModel\":\"eCollection\",\"JCR\":\"Q4\",\"JCRName\":\"ENGINEERING, BIOMEDICAL\",\"Score\":null,\"Total\":0}","platform":"Semanticscholar","paperid":null,"PeriodicalName":"Medical Devices-Evidence and Research","FirstCategoryId":"1085","ListUrlMain":"https://doi.org/10.2147/MDER.S445160","RegionNum":0,"RegionCategory":null,"ArticlePicture":[],"TitleCN":null,"AbstractTextCN":null,"PMCID":null,"EPubDate":"2024/1/1 0:00:00","PubModel":"eCollection","JCR":"Q4","JCRName":"ENGINEERING, BIOMEDICAL","Score":null,"Total":0}
引用次数: 0

摘要

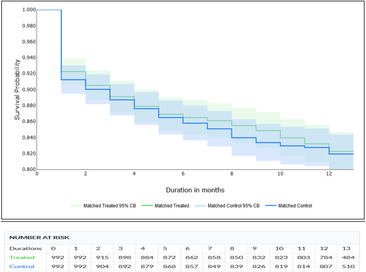
目的通过使用真实世界的临床数据分析冠状动脉支架的安全性,并将结果与临床试验结果进行比较,展示数据提取和纵向趋势分析(DELTA)系统在国家卫生技术评估系统(NEST)医疗设备监控云环境中的应用:将来自两个医疗系统的电子健康记录(EHR)数据、社会保障死亡主文件和设备数据库输入 NEST 云,并使用 DELTA 对两个支架进行安全性分析:这是一项观察性研究,研究对象为2015年7月1日至2017年12月31日期间接受佐他莫司药物洗脱冠状动脉支架(ZES)或依维莫司洗脱冠状动脉支架(EES)的患者:经排除后,有3334名接受EES的患者和1002名接受ZES的患者可供研究。采用反概率加权法进行的分析表明,EES与ZES相比,在一年死亡率或主要心脏不良事件(MACE)方面无显著差异[死亡率比值比0.94(95% CI 0.81-1.175);p = 0.780] [MACE比值比1.04(95% CI 0.92-1.16;p = 0.551]]。使用倾向匹配进行的分析表明,与ZES(992例中的546例)相比,EES的一年死亡率(992例中有547例存活且在删选后可用)没有显著差异[对数-Rank统计量为0.3348 (p = 0.563)]:结论:使用电子病历数据进行基于云的自动医疗器械安全监测是可行的,而且使用 DELTA 可以高效地进行监测。使用两种统计方法发现,ZES 和 EES 的 1 年安全性结果在统计学上没有明显差异,这与随机试验结果一致。
本文章由计算机程序翻译,如有差异,请以英文原文为准。

Testing a Cloud-Based Model for Active Surveillance of Medical Devices with Analyses of Coronary Stent Safety Using the Data Extraction and Longitudinal Trend Analysis (DELTA) System.

Testing a Cloud-Based Model for Active Surveillance of Medical Devices with Analyses of Coronary Stent Safety Using the Data Extraction and Longitudinal Trend Analysis (DELTA) System.

Testing a Cloud-Based Model for Active Surveillance of Medical Devices with Analyses of Coronary Stent Safety Using the Data Extraction and Longitudinal Trend Analysis (DELTA) System.

Objective: To demonstrate the use of the Data Extraction and Longitudinal Trend Analysis (DELTA) system in the National Evaluation System for health Technology's (NEST) medical device surveillance cloud environment by analyzing coronary stent safety using real world clinical data and comparing results to clinical trial findings.

Design and setting: Electronic health record (EHR) data from two health systems, the Social Security Death Master File, and device databases were ingested into the NEST cloud, and safety analyses of two stents were performed using DELTA.

Participants and interventions: This is an observational study of patients receiving zotarolimus drug-eluting coronary stents (ZES) or everolimus eluting coronary stents (EES) between July 1, 2015 and December 31, 2017.

Results: After exclusions, 3334 patients receiving EES and 1002 receiving ZES were available for study. Analysis using inverse probability weighting showed no significant difference in one-year mortality or major adverse cardiac events (MACE) for EES compared to ZES [Mortality Odds Ratio 0.94 (95% CI 0.81-1.175); p = 0.780] [MACE Odds Ratio 1.04 (95% CI 0.92-1.16; p = 0.551]). Analysis using propensity matching showed no significant difference in EES one-year mortality (547 of 992 alive and available after censoring) compared to ZES (546 of 992) [Log-Rank statistic 0.3348 (p = 0.563)].

Conclusion: Automated cloud-based medical device safety surveillance using EHR data is feasible and was efficiently performed using DELTA. No statistically significant differences in 1-year safety outcomes between ZES and EES were identified using two statistical approaches, consistent with randomized trial findings.

求助全文
通过发布文献求助,成功后即可免费获取论文全文。 去求助
来源期刊
Medical Devices-Evidence and Research
Medical Devices-Evidence and Research ENGINEERING, BIOMEDICAL-
CiteScore
2.80
自引率
0.00%
发文量
41
审稿时长
16 weeks
×
引用
GB/T 7714-2015
复制
MLA
复制
APA
复制
导出至
BibTeX EndNote RefMan NoteFirst NoteExpress
×
提示
您的信息不完整,为了账户安全,请先补充。
现在去补充
×
提示
您因"违规操作"
具体请查看互助需知
我知道了
×
提示
确定
请完成安全验证×
copy
已复制链接
快去分享给好友吧!
我知道了
右上角分享
点击右上角分享
0
联系我们:info@booksci.cn Book学术提供免费学术资源搜索服务,方便国内外学者检索中英文文献。致力于提供最便捷和优质的服务体验。 Copyright © 2023 布克学术 All rights reserved.
京ICP备2023020795号-1
ghs 京公网安备 11010802042870号
Book学术文献互助
Book学术文献互助群
群 号:604180095
Book学术官方微信