基于 Q 值的提名图在管理儿童与成人角膜病方面的效果:一项前瞻性干预研究。

Q2 Medicine
Mohammed Iqbal, Abdallah Hammour, Ahmed Elsayed, Ahmed Gad
{"title":"基于 Q 值的提名图在管理儿童与成人角膜病方面的效果:一项前瞻性干预研究。","authors":"Mohammed Iqbal, Abdallah Hammour, Ahmed Elsayed, Ahmed Gad","doi":"10.51329/mehdiophthal1473","DOIUrl":null,"url":null,"abstract":"<p><strong>Background: </strong>Keratoconus (KCN) is an ectatic disorder of the cornea characterized by stromal weakness and apical protrusion of the cornea, and is associated with a gradual and painless reduction in visual acuity. KCN in pediatric patients has certain important characteristics, such as a progressive and aggressive nature. We aimed to analyze the visual, refractive, and topographic outcomes of implanting a single 210° arc-length Keraring segment according to a novel, objective, Q value-based nomogram (Q-N) for the treatment of pediatric versus adult KCN.</p><p><strong>Methods: </strong>This prospective, multicenter, non-randomized, open-label trial included 47 eyes of 47 patients who were allocated to one of two groups. The <i>adult group</i> included 33 eyes of patients ≥ 18 years of age, whereas the <i>pediatric group</i> included 14 eyes of patients aged 14 - 17 years. All patients underwent femtosecond laser-assisted implantation of a single 210° arc-length Keraring segment according to the Q-N and were followed up for 6 months. All eyes underwent visual acuity measurement, cycloplegic refraction, and corneal topography at baseline and 6 months after surgery.</p><p><strong>Results: </strong>The study groups were comparable in terms of sex proportions and KCN grades (both <i>P</i> > 0.05). The adult group exhibited significant postoperative improvements in mean uncorrected distance visual acuity (UDVA), corrected distance visual acuity (CDVA), sphere, cylinder, spherical equivalent (SE), and Kmax (all <i>P</i> < 0.001) with a mean change of -0.56 logarithm of the minimal angle of resolution (logMAR), - 0.40 logMAR, 3.07 diopters (D), 0.70 D, 3.42 D, and - 5.26 D, respectively. The pediatric group exhibited significant postoperative improvements in mean UDVA, CDVA, sphere, SE, and Kmax (all <i>P</i> < 0.05) with a mean change of - 0.62 logMAR, - 0.34 logMAR, 3.18 D, 3.67 D, and - 5.37 D, respectively. There were no significant differences between the groups in terms of the mean change in visual, refractive, and topographic variables (all <i>P</i> > 0.05). No postoperative complications were observed in either group.</p><p><strong>Conclusions: </strong>Use of the objective Q-N was efficient in the treatment of pediatric KCN, with postoperative improvements in the mean visual, refractive, and topographic parameters, comparable to outcomes in adult keratoconus. Q-N achieved good corneal remodeling with subsequent improvements in visual, refractive, and topographic outcomes in both adult and pediatric patients with keratoconus. To verify our preliminary findings, we recommend further multicenter randomized clinical trials using the Q-N nomogram in a larger sample of pediatric patients with KCN as an adjunct treatment before or after CXL.</p>","PeriodicalId":36524,"journal":{"name":"Medical Hypothesis, Discovery, and Innovation in Ophthalmology","volume":"12 2","pages":"78-89"},"PeriodicalIF":0.0000,"publicationDate":"2023-12-31","publicationTypes":"Journal Article","fieldsOfStudy":null,"isOpenAccess":false,"openAccessPdf":"https://www.ncbi.nlm.nih.gov/pmc/articles/PMC10862023/pdf/","citationCount":"0","resultStr":"{\"title\":\"Outcomes of the Q value-based nomogram in managing pediatric versus adult keratoconus: a prospective interventional study.\",\"authors\":\"Mohammed Iqbal, Abdallah Hammour, Ahmed Elsayed, Ahmed Gad\",\"doi\":\"10.51329/mehdiophthal1473\",\"DOIUrl\":null,\"url\":null,\"abstract\":\"<p><strong>Background: </strong>Keratoconus (KCN) is an ectatic disorder of the cornea characterized by stromal weakness and apical protrusion of the cornea, and is associated with a gradual and painless reduction in visual acuity. KCN in pediatric patients has certain important characteristics, such as a progressive and aggressive nature. We aimed to analyze the visual, refractive, and topographic outcomes of implanting a single 210° arc-length Keraring segment according to a novel, objective, Q value-based nomogram (Q-N) for the treatment of pediatric versus adult KCN.</p><p><strong>Methods: </strong>This prospective, multicenter, non-randomized, open-label trial included 47 eyes of 47 patients who were allocated to one of two groups. The <i>adult group</i> included 33 eyes of patients ≥ 18 years of age, whereas the <i>pediatric group</i> included 14 eyes of patients aged 14 - 17 years. All patients underwent femtosecond laser-assisted implantation of a single 210° arc-length Keraring segment according to the Q-N and were followed up for 6 months. All eyes underwent visual acuity measurement, cycloplegic refraction, and corneal topography at baseline and 6 months after surgery.</p><p><strong>Results: </strong>The study groups were comparable in terms of sex proportions and KCN grades (both <i>P</i> > 0.05). The adult group exhibited significant postoperative improvements in mean uncorrected distance visual acuity (UDVA), corrected distance visual acuity (CDVA), sphere, cylinder, spherical equivalent (SE), and Kmax (all <i>P</i> < 0.001) with a mean change of -0.56 logarithm of the minimal angle of resolution (logMAR), - 0.40 logMAR, 3.07 diopters (D), 0.70 D, 3.42 D, and - 5.26 D, respectively. The pediatric group exhibited significant postoperative improvements in mean UDVA, CDVA, sphere, SE, and Kmax (all <i>P</i> < 0.05) with a mean change of - 0.62 logMAR, - 0.34 logMAR, 3.18 D, 3.67 D, and - 5.37 D, respectively. There were no significant differences between the groups in terms of the mean change in visual, refractive, and topographic variables (all <i>P</i> > 0.05). No postoperative complications were observed in either group.</p><p><strong>Conclusions: </strong>Use of the objective Q-N was efficient in the treatment of pediatric KCN, with postoperative improvements in the mean visual, refractive, and topographic parameters, comparable to outcomes in adult keratoconus. Q-N achieved good corneal remodeling with subsequent improvements in visual, refractive, and topographic outcomes in both adult and pediatric patients with keratoconus. To verify our preliminary findings, we recommend further multicenter randomized clinical trials using the Q-N nomogram in a larger sample of pediatric patients with KCN as an adjunct treatment before or after CXL.</p>\",\"PeriodicalId\":36524,\"journal\":{\"name\":\"Medical Hypothesis, Discovery, and Innovation in Ophthalmology\",\"volume\":\"12 2\",\"pages\":\"78-89\"},\"PeriodicalIF\":0.0000,\"publicationDate\":\"2023-12-31\",\"publicationTypes\":\"Journal Article\",\"fieldsOfStudy\":null,\"isOpenAccess\":false,\"openAccessPdf\":\"https://www.ncbi.nlm.nih.gov/pmc/articles/PMC10862023/pdf/\",\"citationCount\":\"0\",\"resultStr\":null,\"platform\":\"Semanticscholar\",\"paperid\":null,\"PeriodicalName\":\"Medical Hypothesis, Discovery, and Innovation in Ophthalmology\",\"FirstCategoryId\":\"1085\",\"ListUrlMain\":\"https://doi.org/10.51329/mehdiophthal1473\",\"RegionNum\":0,\"RegionCategory\":null,\"ArticlePicture\":[],\"TitleCN\":null,\"AbstractTextCN\":null,\"PMCID\":null,\"EPubDate\":\"2023/1/1 0:00:00\",\"PubModel\":\"eCollection\",\"JCR\":\"Q2\",\"JCRName\":\"Medicine\",\"Score\":null,\"Total\":0}","platform":"Semanticscholar","paperid":null,"PeriodicalName":"Medical Hypothesis, Discovery, and Innovation in Ophthalmology","FirstCategoryId":"1085","ListUrlMain":"https://doi.org/10.51329/mehdiophthal1473","RegionNum":0,"RegionCategory":null,"ArticlePicture":[],"TitleCN":null,"AbstractTextCN":null,"PMCID":null,"EPubDate":"2023/1/1 0:00:00","PubModel":"eCollection","JCR":"Q2","JCRName":"Medicine","Score":null,"Total":0}
引用次数: 0

摘要

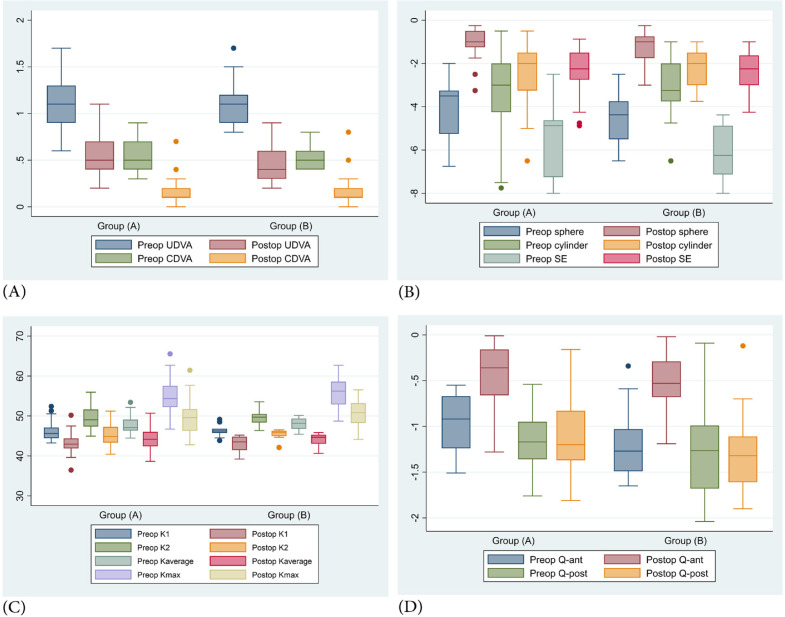
背景:角膜炎(KCN)是一种角膜异位性疾病,以角膜基质薄弱和角膜顶端突出为特征,与视力逐渐下降和无痛性降低有关。儿童患者的 KCN 具有某些重要特征,如进行性和侵袭性。我们的目的是根据一种新颖、客观、基于 Q 值的提名图(Q-N),分析植入单个 210° 弧长 Keraring 节段治疗儿童与成人 KCN 的视觉、屈光和地形图效果:这项前瞻性、多中心、非随机、开放标签试验包括 47 名患者的 47 只眼睛,他们被分配到两组中的一组。成人组包括 33 只年龄≥ 18 岁患者的眼睛,而儿童组包括 14 - 17 岁患者的 14 只眼睛。所有患者都接受了飞秒激光辅助下的单个 210° 弧长 Keraring 节段植入术(根据 Q-N 标准),并接受了 6 个月的随访。所有患者均在基线和术后 6 个月接受了视力测量、屈光度检查和角膜地形图检查:研究组的性别比例和 KCN 等级相当(P 均大于 0.05)。成人组的术后平均未矫正远视力(UDVA)、矫正远视力(CDVA)、球面、柱面、球面等值(SE)和 Kmax 均有明显改善(均 P P > 0.05)。两组患者均未出现术后并发症:结论:使用客观Q-N治疗小儿KCN是有效的,术后平均视力、屈光度和地形参数均有改善,与成人角膜病的治疗效果相当。Q-N 可实现良好的角膜重塑,从而改善成人和儿童角膜病患者的视力、屈光度和地形图。为了验证我们的初步研究结果,我们建议在更大样本的儿童 KCN 患者中进一步开展多中心随机临床试验,将 Q-N 提名图作为 CXL 前后的辅助治疗方法。
本文章由计算机程序翻译,如有差异,请以英文原文为准。

Outcomes of the Q value-based nomogram in managing pediatric versus adult keratoconus: a prospective interventional study.

Outcomes of the Q value-based nomogram in managing pediatric versus adult keratoconus: a prospective interventional study.

Outcomes of the Q value-based nomogram in managing pediatric versus adult keratoconus: a prospective interventional study.

Outcomes of the Q value-based nomogram in managing pediatric versus adult keratoconus: a prospective interventional study.

Background: Keratoconus (KCN) is an ectatic disorder of the cornea characterized by stromal weakness and apical protrusion of the cornea, and is associated with a gradual and painless reduction in visual acuity. KCN in pediatric patients has certain important characteristics, such as a progressive and aggressive nature. We aimed to analyze the visual, refractive, and topographic outcomes of implanting a single 210° arc-length Keraring segment according to a novel, objective, Q value-based nomogram (Q-N) for the treatment of pediatric versus adult KCN.

Methods: This prospective, multicenter, non-randomized, open-label trial included 47 eyes of 47 patients who were allocated to one of two groups. The adult group included 33 eyes of patients ≥ 18 years of age, whereas the pediatric group included 14 eyes of patients aged 14 - 17 years. All patients underwent femtosecond laser-assisted implantation of a single 210° arc-length Keraring segment according to the Q-N and were followed up for 6 months. All eyes underwent visual acuity measurement, cycloplegic refraction, and corneal topography at baseline and 6 months after surgery.

Results: The study groups were comparable in terms of sex proportions and KCN grades (both P > 0.05). The adult group exhibited significant postoperative improvements in mean uncorrected distance visual acuity (UDVA), corrected distance visual acuity (CDVA), sphere, cylinder, spherical equivalent (SE), and Kmax (all P < 0.001) with a mean change of -0.56 logarithm of the minimal angle of resolution (logMAR), - 0.40 logMAR, 3.07 diopters (D), 0.70 D, 3.42 D, and - 5.26 D, respectively. The pediatric group exhibited significant postoperative improvements in mean UDVA, CDVA, sphere, SE, and Kmax (all P < 0.05) with a mean change of - 0.62 logMAR, - 0.34 logMAR, 3.18 D, 3.67 D, and - 5.37 D, respectively. There were no significant differences between the groups in terms of the mean change in visual, refractive, and topographic variables (all P > 0.05). No postoperative complications were observed in either group.

Conclusions: Use of the objective Q-N was efficient in the treatment of pediatric KCN, with postoperative improvements in the mean visual, refractive, and topographic parameters, comparable to outcomes in adult keratoconus. Q-N achieved good corneal remodeling with subsequent improvements in visual, refractive, and topographic outcomes in both adult and pediatric patients with keratoconus. To verify our preliminary findings, we recommend further multicenter randomized clinical trials using the Q-N nomogram in a larger sample of pediatric patients with KCN as an adjunct treatment before or after CXL.

求助全文
通过发布文献求助,成功后即可免费获取论文全文。 去求助
来源期刊
CiteScore
2.00
自引率
0.00%
发文量
19
×
引用
GB/T 7714-2015
复制
MLA
复制
APA
复制
导出至
BibTeX EndNote RefMan NoteFirst NoteExpress
×
提示
您的信息不完整,为了账户安全,请先补充。
现在去补充
×
提示
您因"违规操作"
具体请查看互助需知
我知道了
×
提示
确定
请完成安全验证×
copy
已复制链接
快去分享给好友吧!
我知道了
右上角分享
点击右上角分享
0
联系我们:info@booksci.cn Book学术提供免费学术资源搜索服务,方便国内外学者检索中英文文献。致力于提供最便捷和优质的服务体验。 Copyright © 2023 布克学术 All rights reserved.
京ICP备2023020795号-1
ghs 京公网安备 11010802042870号
Book学术文献互助
Book学术文献互助群
群 号:604180095
Book学术官方微信