COVID-19 肺炎幸存者两年的扩散能力轨迹。

IF 2.3 3区 医学 Q2 RESPIRATORY SYSTEM
Marlise P de Roos, Rick M Heijnen, Nynke G Dijkstra, Kees Brinkman, Nini H Jonkman, Paul Bresser
{"title":"COVID-19 肺炎幸存者两年的扩散能力轨迹。","authors":"Marlise P de Roos, Rick M Heijnen, Nynke G Dijkstra, Kees Brinkman, Nini H Jonkman, Paul Bresser","doi":"10.1177/14799731231222284","DOIUrl":null,"url":null,"abstract":"<p><p>Reduced diffusion capacity (DLCO) after COVID 19 pneumonia was reported in hospitalised patients after discharge. Here, we studied the restoration of DLCO over a 24 months period in COVID-19 pneumonia survivors (<i>n</i> = 317), who were categorised into \"moderate\" cases (no oxygen supply; no need for hospitalisation), \"severe\" cases (respiratory frequency > 30/min and/or peripheral oxygen SpO2 < 93%), and \"critical\" cases (respiratory failure and admission into the intensive care unit). COVID-19 pneumonia survivors with a decreased DLCO (<80%) at 3 months (<i>n</i> = 133) were invited for 6- and 24-months follow-up. At 3 months, impairment of DLCO was more severe in critical case (<i>p</i> < .01). Over time, the subgroups showed a similar level of improvement; and, there was no difference in recovery over time between the subgroups. At 24 months, the DLCO did not differ between the subgroups, with a mean DLCO of 73% for all patients. At 24 months, 65% of patients still had a DLCO < 80%, and in 40% of patients DLCO was <70% of predicted. Regardless the initial disease severity, all COVID-19 survivors showed improvement in DLCO during follow-up; however, DLCO had not normalised in the majority of patients with a DLCO <80% 3 months after hospital discharge.</p>","PeriodicalId":10217,"journal":{"name":"Chronic Respiratory Disease","volume":"21 ","pages":"14799731231222284"},"PeriodicalIF":2.3000,"publicationDate":"2024-01-01","publicationTypes":"Journal Article","fieldsOfStudy":null,"isOpenAccess":false,"openAccessPdf":"https://www.ncbi.nlm.nih.gov/pmc/articles/PMC10858671/pdf/","citationCount":"0","resultStr":"{\"title\":\"Two-year diffusion capacity trajectory in COVID-19 pneumonia survivors.\",\"authors\":\"Marlise P de Roos, Rick M Heijnen, Nynke G Dijkstra, Kees Brinkman, Nini H Jonkman, Paul Bresser\",\"doi\":\"10.1177/14799731231222284\",\"DOIUrl\":null,\"url\":null,\"abstract\":\"<p><p>Reduced diffusion capacity (DLCO) after COVID 19 pneumonia was reported in hospitalised patients after discharge. Here, we studied the restoration of DLCO over a 24 months period in COVID-19 pneumonia survivors (<i>n</i> = 317), who were categorised into \\\"moderate\\\" cases (no oxygen supply; no need for hospitalisation), \\\"severe\\\" cases (respiratory frequency > 30/min and/or peripheral oxygen SpO2 < 93%), and \\\"critical\\\" cases (respiratory failure and admission into the intensive care unit). COVID-19 pneumonia survivors with a decreased DLCO (<80%) at 3 months (<i>n</i> = 133) were invited for 6- and 24-months follow-up. At 3 months, impairment of DLCO was more severe in critical case (<i>p</i> < .01). Over time, the subgroups showed a similar level of improvement; and, there was no difference in recovery over time between the subgroups. At 24 months, the DLCO did not differ between the subgroups, with a mean DLCO of 73% for all patients. At 24 months, 65% of patients still had a DLCO < 80%, and in 40% of patients DLCO was <70% of predicted. Regardless the initial disease severity, all COVID-19 survivors showed improvement in DLCO during follow-up; however, DLCO had not normalised in the majority of patients with a DLCO <80% 3 months after hospital discharge.</p>\",\"PeriodicalId\":10217,\"journal\":{\"name\":\"Chronic Respiratory Disease\",\"volume\":\"21 \",\"pages\":\"14799731231222284\"},\"PeriodicalIF\":2.3000,\"publicationDate\":\"2024-01-01\",\"publicationTypes\":\"Journal Article\",\"fieldsOfStudy\":null,\"isOpenAccess\":false,\"openAccessPdf\":\"https://www.ncbi.nlm.nih.gov/pmc/articles/PMC10858671/pdf/\",\"citationCount\":\"0\",\"resultStr\":null,\"platform\":\"Semanticscholar\",\"paperid\":null,\"PeriodicalName\":\"Chronic Respiratory Disease\",\"FirstCategoryId\":\"3\",\"ListUrlMain\":\"https://doi.org/10.1177/14799731231222284\",\"RegionNum\":3,\"RegionCategory\":\"医学\",\"ArticlePicture\":[],\"TitleCN\":null,\"AbstractTextCN\":null,\"PMCID\":null,\"EPubDate\":\"\",\"PubModel\":\"\",\"JCR\":\"Q2\",\"JCRName\":\"RESPIRATORY SYSTEM\",\"Score\":null,\"Total\":0}","platform":"Semanticscholar","paperid":null,"PeriodicalName":"Chronic Respiratory Disease","FirstCategoryId":"3","ListUrlMain":"https://doi.org/10.1177/14799731231222284","RegionNum":3,"RegionCategory":"医学","ArticlePicture":[],"TitleCN":null,"AbstractTextCN":null,"PMCID":null,"EPubDate":"","PubModel":"","JCR":"Q2","JCRName":"RESPIRATORY SYSTEM","Score":null,"Total":0}
引用次数: 0

摘要

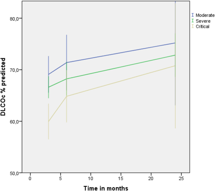
有报道称,COVID-19 肺炎患者出院后弥散能力(DLCO)下降。在此,我们对 COVID-19 肺炎幸存者(n = 317)24 个月内 DLCO 的恢复情况进行了研究,这些幸存者被分为 "中度 "病例(无供氧;无需住院)、"重度 "病例(呼吸频率 > 30/min 和/或外周氧 SpO2 < 93%)和 "危重 "病例(呼吸衰竭和入住重症监护室)。邀请 DLCO 下降的 COVID-19 肺炎幸存者(n = 133)进行 6 个月和 24 个月的随访。3 个月时,危重病例的 DLCO 受损更为严重(p < .01)。随着时间的推移,亚组的改善程度相似;而且亚组之间的恢复情况没有差异。24 个月时,亚组之间的 DLCO 没有差异,所有患者的平均 DLCO 为 73%。24 个月时,65% 的患者的 DLCO 仍小于 80%,40% 的患者的 DLCO 低于 80%。
本文章由计算机程序翻译,如有差异,请以英文原文为准。

Two-year diffusion capacity trajectory in COVID-19 pneumonia survivors.

Two-year diffusion capacity trajectory in COVID-19 pneumonia survivors.

Two-year diffusion capacity trajectory in COVID-19 pneumonia survivors.

Two-year diffusion capacity trajectory in COVID-19 pneumonia survivors.

Reduced diffusion capacity (DLCO) after COVID 19 pneumonia was reported in hospitalised patients after discharge. Here, we studied the restoration of DLCO over a 24 months period in COVID-19 pneumonia survivors (n = 317), who were categorised into "moderate" cases (no oxygen supply; no need for hospitalisation), "severe" cases (respiratory frequency > 30/min and/or peripheral oxygen SpO2 < 93%), and "critical" cases (respiratory failure and admission into the intensive care unit). COVID-19 pneumonia survivors with a decreased DLCO (<80%) at 3 months (n = 133) were invited for 6- and 24-months follow-up. At 3 months, impairment of DLCO was more severe in critical case (p < .01). Over time, the subgroups showed a similar level of improvement; and, there was no difference in recovery over time between the subgroups. At 24 months, the DLCO did not differ between the subgroups, with a mean DLCO of 73% for all patients. At 24 months, 65% of patients still had a DLCO < 80%, and in 40% of patients DLCO was <70% of predicted. Regardless the initial disease severity, all COVID-19 survivors showed improvement in DLCO during follow-up; however, DLCO had not normalised in the majority of patients with a DLCO <80% 3 months after hospital discharge.

求助全文
通过发布文献求助,成功后即可免费获取论文全文。 去求助
来源期刊
Chronic Respiratory Disease
Chronic Respiratory Disease RESPIRATORY SYSTEM-
CiteScore
5.90
自引率
7.30%
发文量
47
审稿时长
11 weeks
期刊介绍: Chronic Respiratory Disease is a peer-reviewed, open access, scholarly journal, created in response to the rising incidence of chronic respiratory diseases worldwide. It publishes high quality research papers and original articles that have immediate relevance to clinical practice and its multi-disciplinary perspective reflects the nature of modern treatment. The journal provides a high quality, multi-disciplinary focus for the publication of original papers, reviews and commentary in the broad area of chronic respiratory disease, particularly its treatment and management.
×
引用
GB/T 7714-2015
复制
MLA
复制
APA
复制
导出至
BibTeX EndNote RefMan NoteFirst NoteExpress
×
提示
您的信息不完整,为了账户安全,请先补充。
现在去补充
×
提示
您因"违规操作"
具体请查看互助需知
我知道了
×
提示
确定
请完成安全验证×
copy
已复制链接
快去分享给好友吧!
我知道了
右上角分享
点击右上角分享
0
联系我们:info@booksci.cn Book学术提供免费学术资源搜索服务,方便国内外学者检索中英文文献。致力于提供最便捷和优质的服务体验。 Copyright © 2023 布克学术 All rights reserved.
京ICP备2023020795号-1
ghs 京公网安备 11010802042870号
Book学术文献互助
Book学术文献互助群
群 号:604180095
Book学术官方微信