应用 Bair Hugger™ 上半身保暖毯对手腕部位进行核心体温测量:一项前瞻性观察研究。

IF 3.2
Anesthesia and pain medicine Pub Date : 2024-01-01 Epub Date: 2024-01-30 DOI:10.17085/apm.23107
Kyung Seo Oh, Yong-Hee Park, Chongwha Baek, Young-Cheol Woo
{"title":"应用 Bair Hugger™ 上半身保暖毯对手腕部位进行核心体温测量:一项前瞻性观察研究。","authors":"Kyung Seo Oh, Yong-Hee Park, Chongwha Baek, Young-Cheol Woo","doi":"10.17085/apm.23107","DOIUrl":null,"url":null,"abstract":"<p><strong>Background: </strong>Body temperature monitoring is essential during the perioperative period. However, core body temperature measurement requires invasive device that may cause complications. This study aimed to evaluate the accuracy of non-invasive Bair Hugger™ core body temperature monitoring system (BHTMS) at the wrist compared with esophageal temperature under general anesthesia.</p><p><strong>Methods: </strong>Twenty adult patients of the American Society of Anesthesiologists physical status I or II were enrolled. BHTMS sensor was applied at wrist region. After tracheal intubation, an esophageal probe was inserted. Bair Hugger™ upper body warming blankets were used. Esophageal temperature (Teso) and BHTMS at wrist (Twrist) were recorded every 10 min.</p><p><strong>Results: </strong>Total of 257 pairs of data sets were analyzed: Teso and Twrist had no statistically significant difference (P = 0.103). Median of Teso and Twrist were 36.5°C and 36.4°C. Bland-Altman analysis showed Teso - Twrist of 0.14°C ± 1.44. Subsequently, 99 pairs of 0-40 min data set were analyzed and showed significant difference at 0 and 10 min (P < 0.001) but no significant difference at 20, 30 and 40 min. Bland- Altman plot by times showed difference (Teso - Twrist) of 1.49°C ± 2.00, 0.82°C ± 1.30, 0.29°C ± 1.32, -0.03°C ± 0.84, and -0.12°C ± 0.82 at 0, 10, 20, 30 and 40 min respectively.</p><p><strong>Conclusions: </strong>BHTMS at wrist area under the upper body warming blanket is a potential alternative other than esophageal temperature for monitoring body temperature after 30 min of anesthesia induction.</p>","PeriodicalId":101360,"journal":{"name":"Anesthesia and pain medicine","volume":"19 1","pages":"35-43"},"PeriodicalIF":3.2000,"publicationDate":"2024-01-01","publicationTypes":"Journal Article","fieldsOfStudy":null,"isOpenAccess":false,"openAccessPdf":"https://www.ncbi.nlm.nih.gov/pmc/articles/PMC10846997/pdf/","citationCount":"0","resultStr":"{\"title\":\"Application of the Bair Hugger™ core body temperature at wrist region with upper body warming blanket: a prospective observational study.\",\"authors\":\"Kyung Seo Oh, Yong-Hee Park, Chongwha Baek, Young-Cheol Woo\",\"doi\":\"10.17085/apm.23107\",\"DOIUrl\":null,\"url\":null,\"abstract\":\"<p><strong>Background: </strong>Body temperature monitoring is essential during the perioperative period. However, core body temperature measurement requires invasive device that may cause complications. This study aimed to evaluate the accuracy of non-invasive Bair Hugger™ core body temperature monitoring system (BHTMS) at the wrist compared with esophageal temperature under general anesthesia.</p><p><strong>Methods: </strong>Twenty adult patients of the American Society of Anesthesiologists physical status I or II were enrolled. BHTMS sensor was applied at wrist region. After tracheal intubation, an esophageal probe was inserted. Bair Hugger™ upper body warming blankets were used. Esophageal temperature (Teso) and BHTMS at wrist (Twrist) were recorded every 10 min.</p><p><strong>Results: </strong>Total of 257 pairs of data sets were analyzed: Teso and Twrist had no statistically significant difference (P = 0.103). Median of Teso and Twrist were 36.5°C and 36.4°C. Bland-Altman analysis showed Teso - Twrist of 0.14°C ± 1.44. Subsequently, 99 pairs of 0-40 min data set were analyzed and showed significant difference at 0 and 10 min (P < 0.001) but no significant difference at 20, 30 and 40 min. Bland- Altman plot by times showed difference (Teso - Twrist) of 1.49°C ± 2.00, 0.82°C ± 1.30, 0.29°C ± 1.32, -0.03°C ± 0.84, and -0.12°C ± 0.82 at 0, 10, 20, 30 and 40 min respectively.</p><p><strong>Conclusions: </strong>BHTMS at wrist area under the upper body warming blanket is a potential alternative other than esophageal temperature for monitoring body temperature after 30 min of anesthesia induction.</p>\",\"PeriodicalId\":101360,\"journal\":{\"name\":\"Anesthesia and pain medicine\",\"volume\":\"19 1\",\"pages\":\"35-43\"},\"PeriodicalIF\":3.2000,\"publicationDate\":\"2024-01-01\",\"publicationTypes\":\"Journal Article\",\"fieldsOfStudy\":null,\"isOpenAccess\":false,\"openAccessPdf\":\"https://www.ncbi.nlm.nih.gov/pmc/articles/PMC10846997/pdf/\",\"citationCount\":\"0\",\"resultStr\":null,\"platform\":\"Semanticscholar\",\"paperid\":null,\"PeriodicalName\":\"Anesthesia and pain medicine\",\"FirstCategoryId\":\"1085\",\"ListUrlMain\":\"https://doi.org/10.17085/apm.23107\",\"RegionNum\":0,\"RegionCategory\":null,\"ArticlePicture\":[],\"TitleCN\":null,\"AbstractTextCN\":null,\"PMCID\":null,\"EPubDate\":\"2024/1/30 0:00:00\",\"PubModel\":\"Epub\",\"JCR\":\"\",\"JCRName\":\"\",\"Score\":null,\"Total\":0}","platform":"Semanticscholar","paperid":null,"PeriodicalName":"Anesthesia and pain medicine","FirstCategoryId":"1085","ListUrlMain":"https://doi.org/10.17085/apm.23107","RegionNum":0,"RegionCategory":null,"ArticlePicture":[],"TitleCN":null,"AbstractTextCN":null,"PMCID":null,"EPubDate":"2024/1/30 0:00:00","PubModel":"Epub","JCR":"","JCRName":"","Score":null,"Total":0}
引用次数: 0

摘要

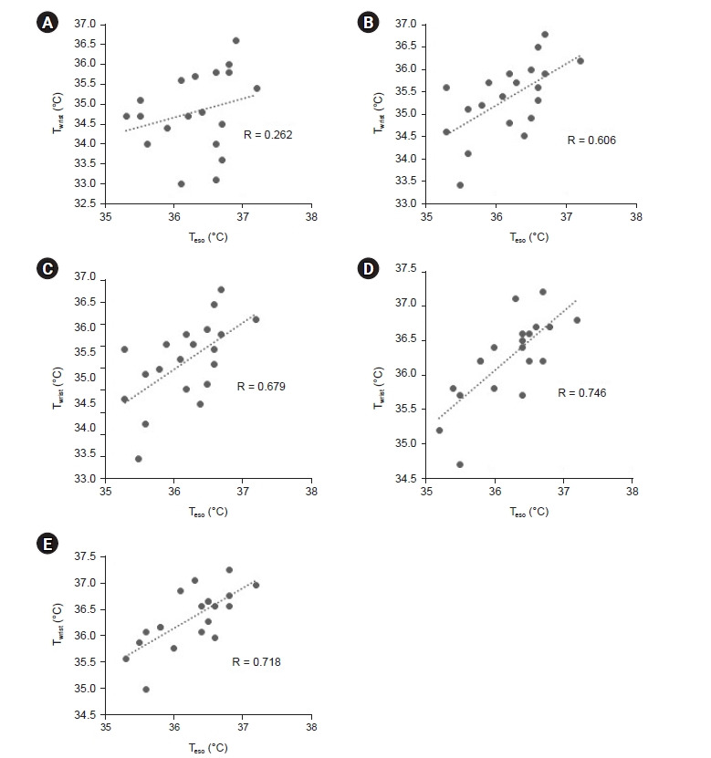
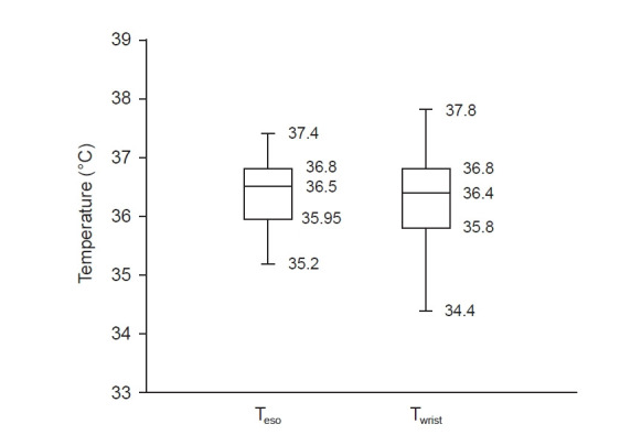
背景:体温监测在围手术期至关重要。然而,核心体温测量需要侵入性设备,可能会引起并发症。本研究旨在评估无创 Bair Hugger™ 核心体温监测系统(BHTMS)与食道体温在全身麻醉下的准确性:方法:20 名美国麻醉医师协会体能状态 I 或 II 的成年患者入选。将 BHTMS 传感器安装在手腕部位。气管插管后,插入食管探针。使用 Bair Hugger™ 上身保暖毯。每 10 分钟记录一次食管温度(Teso)和手腕处的 BHTMS(Twrist):共分析了 257 对数据集:Teso和Twrist在统计学上无显著差异(P = 0.103)。Teso和Twrist的中位数分别为36.5°C和36.4°C。Bland-Altman 分析显示,Teso - Twrist 为 0.14°C ± 1.44。随后,对 99 对 0-40 分钟的数据集进行了分析,结果显示 0 和 10 分钟时有显著差异(P < 0.001),但 20、30 和 40 分钟时无显著差异。按时间绘制的 Bland- Altman 图显示,0、10、20、30 和 40 分钟的差异(Teso - Twrist)分别为 1.49°C ± 2.00、0.82°C ± 1.30、0.29°C ± 1.32、-0.03°C ± 0.84 和 -0.12°C ± 0.82:结论:上半身保暖毯下手腕部位的 BHTMS 是麻醉诱导 30 分钟后监测体温的食道温度以外的一种潜在替代方法。
本文章由计算机程序翻译,如有差异,请以英文原文为准。

Application of the Bair Hugger™ core body temperature at wrist region with upper body warming blanket: a prospective observational study.

Application of the Bair Hugger™ core body temperature at wrist region with upper body warming blanket: a prospective observational study.

Application of the Bair Hugger™ core body temperature at wrist region with upper body warming blanket: a prospective observational study.

Application of the Bair Hugger™ core body temperature at wrist region with upper body warming blanket: a prospective observational study.

Background: Body temperature monitoring is essential during the perioperative period. However, core body temperature measurement requires invasive device that may cause complications. This study aimed to evaluate the accuracy of non-invasive Bair Hugger™ core body temperature monitoring system (BHTMS) at the wrist compared with esophageal temperature under general anesthesia.

Methods: Twenty adult patients of the American Society of Anesthesiologists physical status I or II were enrolled. BHTMS sensor was applied at wrist region. After tracheal intubation, an esophageal probe was inserted. Bair Hugger™ upper body warming blankets were used. Esophageal temperature (Teso) and BHTMS at wrist (Twrist) were recorded every 10 min.

Results: Total of 257 pairs of data sets were analyzed: Teso and Twrist had no statistically significant difference (P = 0.103). Median of Teso and Twrist were 36.5°C and 36.4°C. Bland-Altman analysis showed Teso - Twrist of 0.14°C ± 1.44. Subsequently, 99 pairs of 0-40 min data set were analyzed and showed significant difference at 0 and 10 min (P < 0.001) but no significant difference at 20, 30 and 40 min. Bland- Altman plot by times showed difference (Teso - Twrist) of 1.49°C ± 2.00, 0.82°C ± 1.30, 0.29°C ± 1.32, -0.03°C ± 0.84, and -0.12°C ± 0.82 at 0, 10, 20, 30 and 40 min respectively.

Conclusions: BHTMS at wrist area under the upper body warming blanket is a potential alternative other than esophageal temperature for monitoring body temperature after 30 min of anesthesia induction.

求助全文
通过发布文献求助,成功后即可免费获取论文全文。 去求助
来源期刊
CiteScore
2.30
自引率
0.00%
发文量
0
×
引用
GB/T 7714-2015
复制
MLA
复制
APA
复制
导出至
BibTeX EndNote RefMan NoteFirst NoteExpress
×
提示
您的信息不完整,为了账户安全,请先补充。
现在去补充
×
提示
您因"违规操作"
具体请查看互助需知
我知道了
×
提示
确定
请完成安全验证×
copy
已复制链接
快去分享给好友吧!
我知道了
右上角分享
点击右上角分享
0
联系我们:info@booksci.cn Book学术提供免费学术资源搜索服务,方便国内外学者检索中英文文献。致力于提供最便捷和优质的服务体验。 Copyright © 2023 布克学术 All rights reserved.
京ICP备2023020795号-1
ghs 京公网安备 11010802042870号
Book学术文献互助
Book学术文献互助群
群 号:604180095
Book学术官方微信