儿科血液肿瘤患者的体外膜氧合支持疗效。

IF 2 Q3 CRITICAL CARE MEDICINE
Acute and Critical Care Pub Date : 2024-02-01 Epub Date: 2024-01-24 DOI:10.4266/acc.2023.01088
Hong Yul An, Hyoung Jin Kang, June Dong Park
{"title":"儿科血液肿瘤患者的体外膜氧合支持疗效。","authors":"Hong Yul An, Hyoung Jin Kang, June Dong Park","doi":"10.4266/acc.2023.01088","DOIUrl":null,"url":null,"abstract":"<p><strong>Background: </strong>In this study, we reviewed the outcomes of pediatric patients with malignancies who underwent hematopoietic stem cell transplantation (HSCT) and extracorporeal membrane oxygenation (ECMO).</p><p><strong>Methods: </strong>We retrospectively analyzed the records of pediatric hemato-oncology patients treated with chemotherapy or HSCT and who received ECMO in the pediatric intensive care unit (PICU) at Seoul National University Children's Hospital from January 2012 to December 2020.</p><p><strong>Results: </strong>Over a 9-year period, 21 patients (14 males and 7 females) received ECMO at a single pediatric institute; 10 patients (48%) received veno-arterial (VA) ECMO for septic shock (n=5), acute respiratory distress syndrome (ARDS) (n=3), stress-induced myopathy (n=1), or hepatopulmonary syndrome (n=1); and 11 patients (52%) received veno-venous (VV) ECMO for ARDS due to pneumocystis pneumonia (n=1), air leak (n=3), influenza (n=1), pulmonary hemorrhage (n=1), or unknown etiology (n=5). All patients received chemotherapy; 9 received anthracycline drugs and 14 (67%) underwent HSCT. Thirteen patients (62%) were diagnosed with malignancies and 8 (38%) were diagnosed with non-malignant disease. Among the 21 patients, 6 (29%) survived ECMO in the PICU and 5 (24%) survived to hospital discharge. Among patients treated for septic shock, 3 of 5 patients (60%) who underwent ECMO and 5 of 10 patients (50%) who underwent VA ECMO survived. However, all the patients who underwent VA ECMO or VV ECMO for ARDS died.</p><p><strong>Conclusions: </strong>ECMO is a feasible treatment option for respiratory or heart failure in pediatric patients receiving chemotherapy or undergoing HSCT.</p>","PeriodicalId":44118,"journal":{"name":"Acute and Critical Care","volume":" ","pages":"108-116"},"PeriodicalIF":2.0000,"publicationDate":"2024-02-01","publicationTypes":"Journal Article","fieldsOfStudy":null,"isOpenAccess":false,"openAccessPdf":"https://www.ncbi.nlm.nih.gov/pmc/articles/PMC11002627/pdf/","citationCount":"0","resultStr":"{\"title\":\"Outcomes of extracorporeal membrane oxygenation support in pediatric hemato-oncology patients.\",\"authors\":\"Hong Yul An, Hyoung Jin Kang, June Dong Park\",\"doi\":\"10.4266/acc.2023.01088\",\"DOIUrl\":null,\"url\":null,\"abstract\":\"<p><strong>Background: </strong>In this study, we reviewed the outcomes of pediatric patients with malignancies who underwent hematopoietic stem cell transplantation (HSCT) and extracorporeal membrane oxygenation (ECMO).</p><p><strong>Methods: </strong>We retrospectively analyzed the records of pediatric hemato-oncology patients treated with chemotherapy or HSCT and who received ECMO in the pediatric intensive care unit (PICU) at Seoul National University Children's Hospital from January 2012 to December 2020.</p><p><strong>Results: </strong>Over a 9-year period, 21 patients (14 males and 7 females) received ECMO at a single pediatric institute; 10 patients (48%) received veno-arterial (VA) ECMO for septic shock (n=5), acute respiratory distress syndrome (ARDS) (n=3), stress-induced myopathy (n=1), or hepatopulmonary syndrome (n=1); and 11 patients (52%) received veno-venous (VV) ECMO for ARDS due to pneumocystis pneumonia (n=1), air leak (n=3), influenza (n=1), pulmonary hemorrhage (n=1), or unknown etiology (n=5). All patients received chemotherapy; 9 received anthracycline drugs and 14 (67%) underwent HSCT. Thirteen patients (62%) were diagnosed with malignancies and 8 (38%) were diagnosed with non-malignant disease. Among the 21 patients, 6 (29%) survived ECMO in the PICU and 5 (24%) survived to hospital discharge. Among patients treated for septic shock, 3 of 5 patients (60%) who underwent ECMO and 5 of 10 patients (50%) who underwent VA ECMO survived. However, all the patients who underwent VA ECMO or VV ECMO for ARDS died.</p><p><strong>Conclusions: </strong>ECMO is a feasible treatment option for respiratory or heart failure in pediatric patients receiving chemotherapy or undergoing HSCT.</p>\",\"PeriodicalId\":44118,\"journal\":{\"name\":\"Acute and Critical Care\",\"volume\":\" \",\"pages\":\"108-116\"},\"PeriodicalIF\":2.0000,\"publicationDate\":\"2024-02-01\",\"publicationTypes\":\"Journal Article\",\"fieldsOfStudy\":null,\"isOpenAccess\":false,\"openAccessPdf\":\"https://www.ncbi.nlm.nih.gov/pmc/articles/PMC11002627/pdf/\",\"citationCount\":\"0\",\"resultStr\":null,\"platform\":\"Semanticscholar\",\"paperid\":null,\"PeriodicalName\":\"Acute and Critical Care\",\"FirstCategoryId\":\"1085\",\"ListUrlMain\":\"https://doi.org/10.4266/acc.2023.01088\",\"RegionNum\":0,\"RegionCategory\":null,\"ArticlePicture\":[],\"TitleCN\":null,\"AbstractTextCN\":null,\"PMCID\":null,\"EPubDate\":\"2024/1/24 0:00:00\",\"PubModel\":\"Epub\",\"JCR\":\"Q3\",\"JCRName\":\"CRITICAL CARE MEDICINE\",\"Score\":null,\"Total\":0}","platform":"Semanticscholar","paperid":null,"PeriodicalName":"Acute and Critical Care","FirstCategoryId":"1085","ListUrlMain":"https://doi.org/10.4266/acc.2023.01088","RegionNum":0,"RegionCategory":null,"ArticlePicture":[],"TitleCN":null,"AbstractTextCN":null,"PMCID":null,"EPubDate":"2024/1/24 0:00:00","PubModel":"Epub","JCR":"Q3","JCRName":"CRITICAL CARE MEDICINE","Score":null,"Total":0}
引用次数: 0

摘要

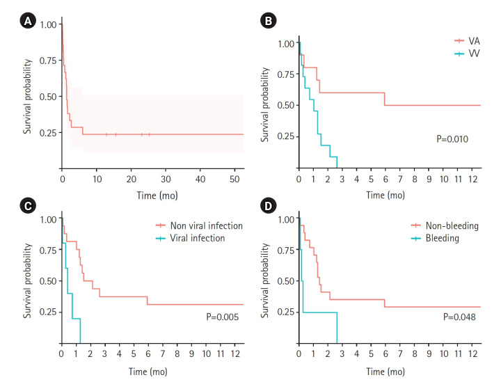
背景在这项研究中,我们回顾了接受造血干细胞移植(HSCT)和体外膜氧合(ECMO)的儿科恶性肿瘤患者的治疗结果:我们回顾性分析了2012年1月至2020年12月期间接受化疗或造血干细胞移植治疗并在首尔大学儿童医院儿科重症监护室(PICU)接受ECMO治疗的儿科血液肿瘤患者的病历:9年间,21名患者(14男7女)在一家儿科医院接受了ECMO治疗;10名患者(48%)因脓毒性休克(5人)、急性呼吸窘迫综合征(3人)、应激性肌病(1人)或肝肺综合征(1人)接受了静脉-动脉(VA)ECMO治疗;11名患者(52%)接受了静脉-静脉(VV)ECMO,以治疗因肺囊虫肺炎(n=1)、气漏(n=3)、流感(n=1)、肺出血(n=1)或病因不明(n=5)引起的 ARDS。所有患者都接受了化疗,其中9人接受了蒽环类药物治疗,14人(67%)接受了造血干细胞移植。13名患者(62%)被确诊为恶性肿瘤,8名患者(38%)被确诊为非恶性疾病。在 21 名患者中,6 人(29%)在重症监护病房接受 ECMO 后存活,5 人(24%)存活出院。在接受脓毒性休克治疗的患者中,接受 ECMO 的 5 名患者中有 3 名(60%)存活,接受 VA ECMO 的 10 名患者中有 5 名(50%)存活。然而,接受 VA ECMO 或 VV ECMO 治疗 ARDS 的患者全部死亡:结论:对于接受化疗或造血干细胞移植的儿科患者,ECMO 是治疗呼吸衰竭或心力衰竭的可行方案。
本文章由计算机程序翻译,如有差异,请以英文原文为准。

Outcomes of extracorporeal membrane oxygenation support in pediatric hemato-oncology patients.

Outcomes of extracorporeal membrane oxygenation support in pediatric hemato-oncology patients.

Background: In this study, we reviewed the outcomes of pediatric patients with malignancies who underwent hematopoietic stem cell transplantation (HSCT) and extracorporeal membrane oxygenation (ECMO).

Methods: We retrospectively analyzed the records of pediatric hemato-oncology patients treated with chemotherapy or HSCT and who received ECMO in the pediatric intensive care unit (PICU) at Seoul National University Children's Hospital from January 2012 to December 2020.

Results: Over a 9-year period, 21 patients (14 males and 7 females) received ECMO at a single pediatric institute; 10 patients (48%) received veno-arterial (VA) ECMO for septic shock (n=5), acute respiratory distress syndrome (ARDS) (n=3), stress-induced myopathy (n=1), or hepatopulmonary syndrome (n=1); and 11 patients (52%) received veno-venous (VV) ECMO for ARDS due to pneumocystis pneumonia (n=1), air leak (n=3), influenza (n=1), pulmonary hemorrhage (n=1), or unknown etiology (n=5). All patients received chemotherapy; 9 received anthracycline drugs and 14 (67%) underwent HSCT. Thirteen patients (62%) were diagnosed with malignancies and 8 (38%) were diagnosed with non-malignant disease. Among the 21 patients, 6 (29%) survived ECMO in the PICU and 5 (24%) survived to hospital discharge. Among patients treated for septic shock, 3 of 5 patients (60%) who underwent ECMO and 5 of 10 patients (50%) who underwent VA ECMO survived. However, all the patients who underwent VA ECMO or VV ECMO for ARDS died.

Conclusions: ECMO is a feasible treatment option for respiratory or heart failure in pediatric patients receiving chemotherapy or undergoing HSCT.

求助全文
通过发布文献求助,成功后即可免费获取论文全文。 去求助
来源期刊
Acute and Critical Care
Acute and Critical Care CRITICAL CARE MEDICINE-
CiteScore
2.80
自引率
11.10%
发文量
87
审稿时长
12 weeks
×
引用
GB/T 7714-2015
复制
MLA
复制
APA
复制
导出至
BibTeX EndNote RefMan NoteFirst NoteExpress
×
提示
您的信息不完整,为了账户安全,请先补充。
现在去补充
×
提示
您因"违规操作"
具体请查看互助需知
我知道了
×
提示
确定
请完成安全验证×
copy
已复制链接
快去分享给好友吧!
我知道了
右上角分享
点击右上角分享
0
联系我们:info@booksci.cn Book学术提供免费学术资源搜索服务,方便国内外学者检索中英文文献。致力于提供最便捷和优质的服务体验。 Copyright © 2023 布克学术 All rights reserved.
京ICP备2023020795号-1
ghs 京公网安备 11010802042870号
Book学术文献互助
Book学术文献互助群
群 号:604180095
Book学术官方微信
小红书