注意缺陷/多动症和自闭症谱系障碍与创伤后应激障碍的因果关系。

IF 1.4 4区 医学 Q4 GENETICS & HEREDITY
Psychiatric Genetics Pub Date : 2024-04-01 Epub Date: 2024-01-23 DOI:10.1097/YPG.0000000000000357
Yuqing Song, Yi Zhao, Ancha Baranova, Hongbao Cao, Weihua Yue, Fuquan Zhang
{"title":"注意缺陷/多动症和自闭症谱系障碍与创伤后应激障碍的因果关系。","authors":"Yuqing Song, Yi Zhao, Ancha Baranova, Hongbao Cao, Weihua Yue, Fuquan Zhang","doi":"10.1097/YPG.0000000000000357","DOIUrl":null,"url":null,"abstract":"<p><strong>Background: </strong>Attention-deficit/hyperactivity disorder (ADHD) and autism spectrum disorder (ASD) are two neurodevelopmental disorders that often result in individuals experiencing traumatic events. However, little is known about the connection between ADHD/ASD and post-traumatic stress disorder (PTSD). This study aimed to investigate the genetic associations between these disorders.</p><p><strong>Methods: </strong>Genetic correlation analysis was used to examine the genetic components shared between ADHD (38 691 cases and 275 986 controls), ASD (18 381 cases and 27 969 controls) and PTSD (23 212 cases and 151 447 controls). Two-sample Mendelian randomization analyses were employed to explore the bidirectional causal relationships between ADHD/ASD and PTSD.</p><p><strong>Results: </strong>The results of the genetic correlation analysis revealed significant positive correlations of PTSD with ADHD(r g  = 0.70) and ASD (r g  = 0.34). Furthermore, the Mendelian randomization analysis revealed that genetic liabilities to ADHD [odds ratio (OR) = 1.14; 95% confidence interval (CI), 1.06-1.24; P  = 7.88 × 10 -4 ] and ASD (OR = 1.04; CI, 1.01-1.08; P  = 0.014) were associated with an increased risk of developing PTSD later in life. However, no evidence supported that genetic liability to PTSD could elevate the risk of ADHD or ASD.</p><p><strong>Conclusion: </strong>The findings of this study supported that ADHD and ASD may increase the risk of PTSD, but not vice versa.</p>","PeriodicalId":20734,"journal":{"name":"Psychiatric Genetics","volume":" ","pages":"37-42"},"PeriodicalIF":1.4000,"publicationDate":"2024-04-01","publicationTypes":"Journal Article","fieldsOfStudy":null,"isOpenAccess":false,"openAccessPdf":"https://www.ncbi.nlm.nih.gov/pmc/articles/PMC10919267/pdf/","citationCount":"0","resultStr":"{\"title\":\"Causal association of attention-deficit/hyperactivity disorder and autism spectrum disorder with post-traumatic stress disorder.\",\"authors\":\"Yuqing Song, Yi Zhao, Ancha Baranova, Hongbao Cao, Weihua Yue, Fuquan Zhang\",\"doi\":\"10.1097/YPG.0000000000000357\",\"DOIUrl\":null,\"url\":null,\"abstract\":\"<p><strong>Background: </strong>Attention-deficit/hyperactivity disorder (ADHD) and autism spectrum disorder (ASD) are two neurodevelopmental disorders that often result in individuals experiencing traumatic events. However, little is known about the connection between ADHD/ASD and post-traumatic stress disorder (PTSD). This study aimed to investigate the genetic associations between these disorders.</p><p><strong>Methods: </strong>Genetic correlation analysis was used to examine the genetic components shared between ADHD (38 691 cases and 275 986 controls), ASD (18 381 cases and 27 969 controls) and PTSD (23 212 cases and 151 447 controls). Two-sample Mendelian randomization analyses were employed to explore the bidirectional causal relationships between ADHD/ASD and PTSD.</p><p><strong>Results: </strong>The results of the genetic correlation analysis revealed significant positive correlations of PTSD with ADHD(r g  = 0.70) and ASD (r g  = 0.34). Furthermore, the Mendelian randomization analysis revealed that genetic liabilities to ADHD [odds ratio (OR) = 1.14; 95% confidence interval (CI), 1.06-1.24; P  = 7.88 × 10 -4 ] and ASD (OR = 1.04; CI, 1.01-1.08; P  = 0.014) were associated with an increased risk of developing PTSD later in life. However, no evidence supported that genetic liability to PTSD could elevate the risk of ADHD or ASD.</p><p><strong>Conclusion: </strong>The findings of this study supported that ADHD and ASD may increase the risk of PTSD, but not vice versa.</p>\",\"PeriodicalId\":20734,\"journal\":{\"name\":\"Psychiatric Genetics\",\"volume\":\" \",\"pages\":\"37-42\"},\"PeriodicalIF\":1.4000,\"publicationDate\":\"2024-04-01\",\"publicationTypes\":\"Journal Article\",\"fieldsOfStudy\":null,\"isOpenAccess\":false,\"openAccessPdf\":\"https://www.ncbi.nlm.nih.gov/pmc/articles/PMC10919267/pdf/\",\"citationCount\":\"0\",\"resultStr\":null,\"platform\":\"Semanticscholar\",\"paperid\":null,\"PeriodicalName\":\"Psychiatric Genetics\",\"FirstCategoryId\":\"3\",\"ListUrlMain\":\"https://doi.org/10.1097/YPG.0000000000000357\",\"RegionNum\":4,\"RegionCategory\":\"医学\",\"ArticlePicture\":[],\"TitleCN\":null,\"AbstractTextCN\":null,\"PMCID\":null,\"EPubDate\":\"2024/1/23 0:00:00\",\"PubModel\":\"Epub\",\"JCR\":\"Q4\",\"JCRName\":\"GENETICS & HEREDITY\",\"Score\":null,\"Total\":0}","platform":"Semanticscholar","paperid":null,"PeriodicalName":"Psychiatric Genetics","FirstCategoryId":"3","ListUrlMain":"https://doi.org/10.1097/YPG.0000000000000357","RegionNum":4,"RegionCategory":"医学","ArticlePicture":[],"TitleCN":null,"AbstractTextCN":null,"PMCID":null,"EPubDate":"2024/1/23 0:00:00","PubModel":"Epub","JCR":"Q4","JCRName":"GENETICS & HEREDITY","Score":null,"Total":0}
引用次数: 0

摘要

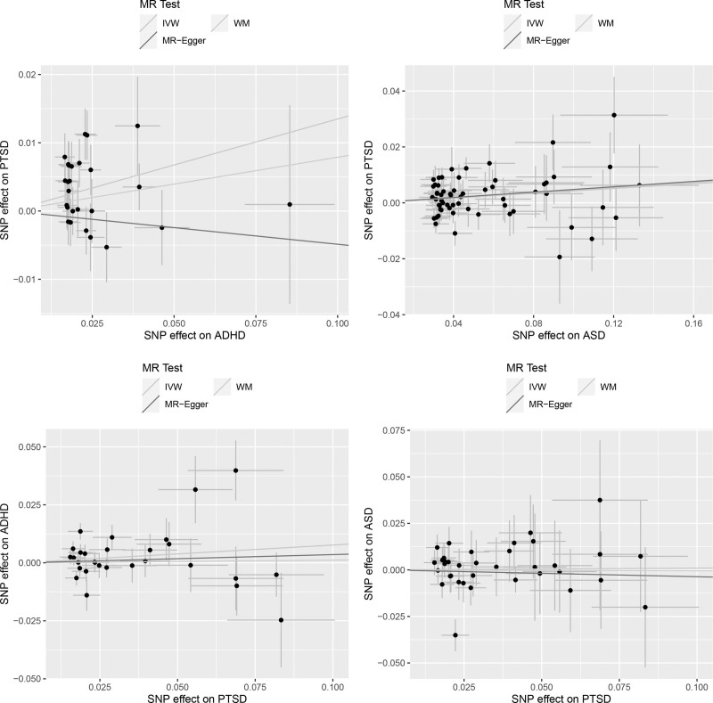
背景:注意力缺陷/多动障碍(ADHD)和自闭症谱系障碍(ASD)是两种神经发育障碍,通常会导致患者经历创伤事件。然而,人们对ADHD/ASD与创伤后应激障碍(PTSD)之间的关系知之甚少。本研究旨在调查这些疾病之间的遗传关联:遗传相关性分析用于研究多动症(38 691 例病例和 275 986 例对照)、自闭症(18 381 例病例和 27 969 例对照)和创伤后应激障碍(23 212 例病例和 151 447 例对照)之间的共同遗传成分。研究人员采用双样本孟德尔随机分析法探讨了ADHD/ASD与创伤后应激障碍之间的双向因果关系:遗传相关性分析结果显示,创伤后应激障碍与多动症(rg = 0.70)和自闭症(rg = 0.34)呈显著正相关。此外,孟德尔随机分析表明,ADHD [几率比(OR)= 1.14;95% 置信区间(CI),1.06-1.24;P = 7.88 × 10-4]和 ASD [几率比(OR)= 1.04;CI,1.01-1.08;P = 0.014]的遗传责任与日后患创伤后应激障碍的风险增加有关。然而,没有证据表明创伤后应激障碍的遗传易感性会增加患多动症或自闭症的风险:本研究结果表明,多动症和自闭症可能会增加创伤后应激障碍的发病风险,但反之亦然。
本文章由计算机程序翻译,如有差异,请以英文原文为准。

Causal association of attention-deficit/hyperactivity disorder and autism spectrum disorder with post-traumatic stress disorder.

Causal association of attention-deficit/hyperactivity disorder and autism spectrum disorder with post-traumatic stress disorder.

Background: Attention-deficit/hyperactivity disorder (ADHD) and autism spectrum disorder (ASD) are two neurodevelopmental disorders that often result in individuals experiencing traumatic events. However, little is known about the connection between ADHD/ASD and post-traumatic stress disorder (PTSD). This study aimed to investigate the genetic associations between these disorders.

Methods: Genetic correlation analysis was used to examine the genetic components shared between ADHD (38 691 cases and 275 986 controls), ASD (18 381 cases and 27 969 controls) and PTSD (23 212 cases and 151 447 controls). Two-sample Mendelian randomization analyses were employed to explore the bidirectional causal relationships between ADHD/ASD and PTSD.

Results: The results of the genetic correlation analysis revealed significant positive correlations of PTSD with ADHD(r g  = 0.70) and ASD (r g  = 0.34). Furthermore, the Mendelian randomization analysis revealed that genetic liabilities to ADHD [odds ratio (OR) = 1.14; 95% confidence interval (CI), 1.06-1.24; P  = 7.88 × 10 -4 ] and ASD (OR = 1.04; CI, 1.01-1.08; P  = 0.014) were associated with an increased risk of developing PTSD later in life. However, no evidence supported that genetic liability to PTSD could elevate the risk of ADHD or ASD.

Conclusion: The findings of this study supported that ADHD and ASD may increase the risk of PTSD, but not vice versa.

求助全文
通过发布文献求助,成功后即可免费获取论文全文。 去求助
来源期刊
Psychiatric Genetics
Psychiatric Genetics 医学-神经科学
CiteScore
2.30
自引率
0.00%
发文量
39
审稿时长
3 months
期刊介绍: ​​​​​​The journal aims to publish papers which bring together clinical observations, psychological and behavioural abnormalities and genetic data. All papers are fully refereed. Psychiatric Genetics is also a forum for reporting new approaches to genetic research in psychiatry and neurology utilizing novel techniques or methodologies. Psychiatric Genetics publishes original Research Reports dealing with inherited factors involved in psychiatric and neurological disorders. This encompasses gene localization and chromosome markers, changes in neuronal gene expression related to psychiatric disease, linkage genetics analyses, family, twin and adoption studies, and genetically based animal models of neuropsychiatric disease. The journal covers areas such as molecular neurobiology and molecular genetics relevant to mental illness. Reviews of the literature and Commentaries in areas of current interest will be considered for publication. Reviews and Commentaries in areas outside psychiatric genetics, but of interest and importance to Psychiatric Genetics, will also be considered. Psychiatric Genetics also publishes Book Reviews, Brief Reports and Conference Reports.
×
引用
GB/T 7714-2015
复制
MLA
复制
APA
复制
导出至
BibTeX EndNote RefMan NoteFirst NoteExpress
×
提示
您的信息不完整,为了账户安全,请先补充。
现在去补充
×
提示
您因"违规操作"
具体请查看互助需知
我知道了
×
提示
确定
请完成安全验证×
copy
已复制链接
快去分享给好友吧!
我知道了
右上角分享
点击右上角分享
0
联系我们:info@booksci.cn Book学术提供免费学术资源搜索服务,方便国内外学者检索中英文文献。致力于提供最便捷和优质的服务体验。 Copyright © 2023 布克学术 All rights reserved.
京ICP备2023020795号-1
ghs 京公网安备 11010802042870号
Book学术文献互助
Book学术文献互助群
群 号:604180095
Book学术官方微信