关于心脏植入式电子设备故障发生率和风险因素的系统性回顾和 Meta 分析。

IF 1.3 Q4 CARDIAC & CARDIOVASCULAR SYSTEMS
Journal of the Saudi Heart Association Pub Date : 2023-11-24 eCollection Date: 2023-01-01 DOI:10.37616/2212-5043.1359
Abdullah Saeed, Abdullah AlShafea, Monerah AlQthami, Abdulrahman Bin Saeed, Foton A AlAhmri, Norah S AlQahtani, Fatimah A Al-Muslat, Atheer AlQahtani
{"title":"关于心脏植入式电子设备故障发生率和风险因素的系统性回顾和 Meta 分析。","authors":"Abdullah Saeed, Abdullah AlShafea, Monerah AlQthami, Abdulrahman Bin Saeed, Foton A AlAhmri, Norah S AlQahtani, Fatimah A Al-Muslat, Atheer AlQahtani","doi":"10.37616/2212-5043.1359","DOIUrl":null,"url":null,"abstract":"<p><strong>Introduction: </strong>Cardiac implantable electronic devices (CIED) include permanent pacemakers (PPMs), implantable cardioverter defibrillators (ICDs), and cardiac resynchronization therapy (CRT) devices. They treat several cardiac issues and are dependent on batteries; however, similar to any medical equipment, they can fail. The prevalence and risk factors for CIED malfunction must be understood for earlier detection and better patient outcomes.</p><p><strong>Material and methods: </strong>A comprehensive search was conducted through electronic bibliographic sources (PubMed and Cochrane) until January 2023 in order to identify reviews, cohort studies and case reports pertaining to CIED. The primary outcome is the probability of CIED malfunction. The secondary outcome concerned significant risk factors. Two authors independently extracted articles by utilizing pre-established data fields. Using a random-effects model, the aggregated prevalence and 95 % confidence intervals (CIs) were computed.</p><p><strong>Results: </strong>The meta-analysis comprised eight review articles, twenty-two retrospective studies, and thirty-seven case reports from the systematic review. The eight review articles contained a CIED malfunction of 4.03 % (random-effects model). The pooled prevalence of CIED malfunction in the meta-analysis of 22 retrospective studies was 0.41 percent (using a fixed-effects model) and 8.01 percent (using a random-effects model). Moreover, age, pre-existing cardiac conditions, CIED type, lead placement, and medical device interactions all contributed to an increase in the heterogeneity (I2 = 98.90 %) of the risk of CIED malfunction.</p><p><strong>Conclusion: </strong>CIED malfunction is common and more likely to occur in elderly individuals and in certain types of CIED. Clinicians should focus on risk factors and closely monitor the patients with higher probability for CIED malfunction with short intervals.</p>","PeriodicalId":17319,"journal":{"name":"Journal of the Saudi Heart Association","volume":"35 4","pages":"311-334"},"PeriodicalIF":1.3000,"publicationDate":"2023-11-24","publicationTypes":"Journal Article","fieldsOfStudy":null,"isOpenAccess":false,"openAccessPdf":"https://www.ncbi.nlm.nih.gov/pmc/articles/PMC10766167/pdf/","citationCount":"0","resultStr":"{\"title\":\"A Systematic Review and Meta-analysis of the Prevalence and Risk Factors in Cardiac Implantable Electronic Device Malfunction.\",\"authors\":\"Abdullah Saeed, Abdullah AlShafea, Monerah AlQthami, Abdulrahman Bin Saeed, Foton A AlAhmri, Norah S AlQahtani, Fatimah A Al-Muslat, Atheer AlQahtani\",\"doi\":\"10.37616/2212-5043.1359\",\"DOIUrl\":null,\"url\":null,\"abstract\":\"<p><strong>Introduction: </strong>Cardiac implantable electronic devices (CIED) include permanent pacemakers (PPMs), implantable cardioverter defibrillators (ICDs), and cardiac resynchronization therapy (CRT) devices. They treat several cardiac issues and are dependent on batteries; however, similar to any medical equipment, they can fail. The prevalence and risk factors for CIED malfunction must be understood for earlier detection and better patient outcomes.</p><p><strong>Material and methods: </strong>A comprehensive search was conducted through electronic bibliographic sources (PubMed and Cochrane) until January 2023 in order to identify reviews, cohort studies and case reports pertaining to CIED. The primary outcome is the probability of CIED malfunction. The secondary outcome concerned significant risk factors. Two authors independently extracted articles by utilizing pre-established data fields. Using a random-effects model, the aggregated prevalence and 95 % confidence intervals (CIs) were computed.</p><p><strong>Results: </strong>The meta-analysis comprised eight review articles, twenty-two retrospective studies, and thirty-seven case reports from the systematic review. The eight review articles contained a CIED malfunction of 4.03 % (random-effects model). The pooled prevalence of CIED malfunction in the meta-analysis of 22 retrospective studies was 0.41 percent (using a fixed-effects model) and 8.01 percent (using a random-effects model). Moreover, age, pre-existing cardiac conditions, CIED type, lead placement, and medical device interactions all contributed to an increase in the heterogeneity (I2 = 98.90 %) of the risk of CIED malfunction.</p><p><strong>Conclusion: </strong>CIED malfunction is common and more likely to occur in elderly individuals and in certain types of CIED. Clinicians should focus on risk factors and closely monitor the patients with higher probability for CIED malfunction with short intervals.</p>\",\"PeriodicalId\":17319,\"journal\":{\"name\":\"Journal of the Saudi Heart Association\",\"volume\":\"35 4\",\"pages\":\"311-334\"},\"PeriodicalIF\":1.3000,\"publicationDate\":\"2023-11-24\",\"publicationTypes\":\"Journal Article\",\"fieldsOfStudy\":null,\"isOpenAccess\":false,\"openAccessPdf\":\"https://www.ncbi.nlm.nih.gov/pmc/articles/PMC10766167/pdf/\",\"citationCount\":\"0\",\"resultStr\":null,\"platform\":\"Semanticscholar\",\"paperid\":null,\"PeriodicalName\":\"Journal of the Saudi Heart Association\",\"FirstCategoryId\":\"1085\",\"ListUrlMain\":\"https://doi.org/10.37616/2212-5043.1359\",\"RegionNum\":0,\"RegionCategory\":null,\"ArticlePicture\":[],\"TitleCN\":null,\"AbstractTextCN\":null,\"PMCID\":null,\"EPubDate\":\"2023/1/1 0:00:00\",\"PubModel\":\"eCollection\",\"JCR\":\"Q4\",\"JCRName\":\"CARDIAC & CARDIOVASCULAR SYSTEMS\",\"Score\":null,\"Total\":0}","platform":"Semanticscholar","paperid":null,"PeriodicalName":"Journal of the Saudi Heart Association","FirstCategoryId":"1085","ListUrlMain":"https://doi.org/10.37616/2212-5043.1359","RegionNum":0,"RegionCategory":null,"ArticlePicture":[],"TitleCN":null,"AbstractTextCN":null,"PMCID":null,"EPubDate":"2023/1/1 0:00:00","PubModel":"eCollection","JCR":"Q4","JCRName":"CARDIAC & CARDIOVASCULAR SYSTEMS","Score":null,"Total":0}
引用次数: 0

摘要

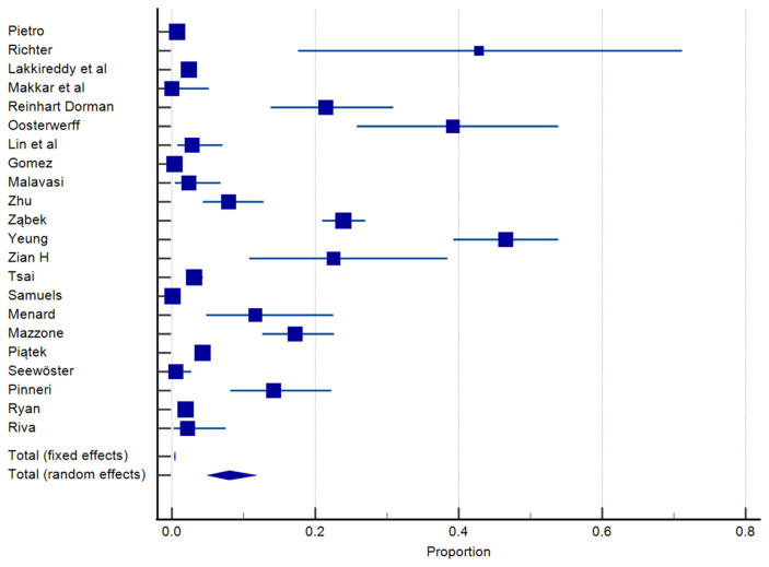
导言:心脏植入式电子设备(CIED)包括永久起搏器(PPM)、植入式心律转复除颤器(ICD)和心脏再同步治疗(CRT)设备。这些设备可治疗多种心脏问题,并依赖于电池;然而,与任何医疗设备类似,它们也会发生故障。必须了解 CIED 故障的发生率和风险因素,以便及早发现并改善患者的治疗效果:在 2023 年 1 月之前,我们通过电子文献来源(PubMed 和 Cochrane)进行了一次全面搜索,以确定有关 CIED 的综述、队列研究和病例报告。主要结果是CIED发生故障的概率。次要结果涉及重要的风险因素。两位作者利用预先确定的数据字段独立提取文章。结果:荟萃分析包括系统综述中的 8 篇综述文章、22 项回顾性研究和 37 份病例报告。八篇综述文章中,CIED故障率为4.03%(随机效应模型)。在对22项回顾性研究进行的荟萃分析中,CIED故障的总发生率为0.41%(采用固定效应模型)和8.01%(采用随机效应模型)。此外,年龄、预先存在的心脏疾病、CIED类型、导联位置和医疗设备交互作用都增加了CIED故障风险的异质性(I2 = 98.90 %):结论:CIED故障很常见,更容易发生在老年人和某些类型的CIED中。临床医生应关注风险因素,并密切监测CIED故障概率较高的患者,间隔时间不宜过长。
本文章由计算机程序翻译,如有差异,请以英文原文为准。

A Systematic Review and Meta-analysis of the Prevalence and Risk Factors in Cardiac Implantable Electronic Device Malfunction.

A Systematic Review and Meta-analysis of the Prevalence and Risk Factors in Cardiac Implantable Electronic Device Malfunction.

A Systematic Review and Meta-analysis of the Prevalence and Risk Factors in Cardiac Implantable Electronic Device Malfunction.

A Systematic Review and Meta-analysis of the Prevalence and Risk Factors in Cardiac Implantable Electronic Device Malfunction.

Introduction: Cardiac implantable electronic devices (CIED) include permanent pacemakers (PPMs), implantable cardioverter defibrillators (ICDs), and cardiac resynchronization therapy (CRT) devices. They treat several cardiac issues and are dependent on batteries; however, similar to any medical equipment, they can fail. The prevalence and risk factors for CIED malfunction must be understood for earlier detection and better patient outcomes.

Material and methods: A comprehensive search was conducted through electronic bibliographic sources (PubMed and Cochrane) until January 2023 in order to identify reviews, cohort studies and case reports pertaining to CIED. The primary outcome is the probability of CIED malfunction. The secondary outcome concerned significant risk factors. Two authors independently extracted articles by utilizing pre-established data fields. Using a random-effects model, the aggregated prevalence and 95 % confidence intervals (CIs) were computed.

Results: The meta-analysis comprised eight review articles, twenty-two retrospective studies, and thirty-seven case reports from the systematic review. The eight review articles contained a CIED malfunction of 4.03 % (random-effects model). The pooled prevalence of CIED malfunction in the meta-analysis of 22 retrospective studies was 0.41 percent (using a fixed-effects model) and 8.01 percent (using a random-effects model). Moreover, age, pre-existing cardiac conditions, CIED type, lead placement, and medical device interactions all contributed to an increase in the heterogeneity (I2 = 98.90 %) of the risk of CIED malfunction.

Conclusion: CIED malfunction is common and more likely to occur in elderly individuals and in certain types of CIED. Clinicians should focus on risk factors and closely monitor the patients with higher probability for CIED malfunction with short intervals.

求助全文
通过发布文献求助,成功后即可免费获取论文全文。 去求助
来源期刊
Journal of the Saudi Heart Association
Journal of the Saudi Heart Association CARDIAC & CARDIOVASCULAR SYSTEMS-
CiteScore
1.40
自引率
0.00%
发文量
30
审稿时长
15 weeks
×
引用
GB/T 7714-2015
复制
MLA
复制
APA
复制
导出至
BibTeX EndNote RefMan NoteFirst NoteExpress
×
提示
您的信息不完整,为了账户安全,请先补充。
现在去补充
×
提示
您因"违规操作"
具体请查看互助需知
我知道了
×
提示
确定
请完成安全验证×
copy
已复制链接
快去分享给好友吧!
我知道了
右上角分享
点击右上角分享
0
联系我们:info@booksci.cn Book学术提供免费学术资源搜索服务,方便国内外学者检索中英文文献。致力于提供最便捷和优质的服务体验。 Copyright © 2023 布克学术 All rights reserved.
京ICP备2023020795号-1
ghs 京公网安备 11010802042870号
Book学术文献互助
Book学术文献互助群
群 号:604180095
Book学术官方微信