植物提取物在促进生长和治理洋葱紫斑病方面的功效:通过气相色谱质谱揭示楝树叶提取物的代谢物指纹图谱

IF 1.9 3区 农林科学 Q2 AGRONOMY
Shubham Saini, Kushal Raj, Anil Kumar Saini, Rakesh Kumar Chugh, Makhan Lal, Mukul Kumar Bhambhu
{"title":"植物提取物在促进生长和治理洋葱紫斑病方面的功效:通过气相色谱质谱揭示楝树叶提取物的代谢物指纹图谱","authors":"Shubham Saini, Kushal Raj, Anil Kumar Saini, Rakesh Kumar Chugh, Makhan Lal, Mukul Kumar Bhambhu","doi":"10.1007/s10658-023-02810-z","DOIUrl":null,"url":null,"abstract":"<p>Onion is affected by several biotic and abiotic stresses. This study aimed to evaluate the impact of onion seed priming with different plant extracts. The results show that neem leaf extract treated seeds exhibited the highest mean seedling establishment (71.50 per cent), seedling length (11.21 cm), seedling dry weight (15.88 mg) and seedling vigour indices (800.70 and 1135.27). The biochemical analysis of primed seedlings showed significant enhancement in enzymatic and non-enzymatic antioxidants. Purple blotch caused by <i>Alternaria porri</i> is the most important foliar disease of onion leading to significant losses. The evaluation of plant extracts against <i>Alternaria porri</i> showed that neem leaf extract at a concentration of 25 per cent inhibits mycelial growth of pathogen by 81.18 per cent. The GC MS analysis of the crude extract of neem indicated the presence of forty different chemical compounds, among which the main components included Benzene, 1,4-bis (phenylmethyl)- (15.05%), Naphthalene, 1,6-dimethyl- (10.98%), 3-(2,4-Dimethoxyphenyl) butan-2-one (8.63%) and Phytol (7.99%). Evaluation of the four promising botanicals viz<i>.</i>, neem, congress grass, turmeric and ginger under field conditions indicated foliar sprays of neem leaf extract to be effective in both managing purple blotch disease (23.08 per cent disease management) and enhancing yield attributes (5.24 per cent seed yield increase). This study establishes the antimycotic and plant growth promoting potential of neem leaf extract for managing onion purple blotch.</p>","PeriodicalId":12052,"journal":{"name":"European Journal of Plant Pathology","volume":"23 1","pages":""},"PeriodicalIF":1.9000,"publicationDate":"2023-12-30","publicationTypes":"Journal Article","fieldsOfStudy":null,"isOpenAccess":false,"openAccessPdf":"","citationCount":"0","resultStr":"{\"title\":\"Efficacy of plant extracts in growth promotion and onion purple blotch management: Unveiling metabolite fingerprinting of promising neem leaf extracts through GC MS\",\"authors\":\"Shubham Saini, Kushal Raj, Anil Kumar Saini, Rakesh Kumar Chugh, Makhan Lal, Mukul Kumar Bhambhu\",\"doi\":\"10.1007/s10658-023-02810-z\",\"DOIUrl\":null,\"url\":null,\"abstract\":\"<p>Onion is affected by several biotic and abiotic stresses. This study aimed to evaluate the impact of onion seed priming with different plant extracts. The results show that neem leaf extract treated seeds exhibited the highest mean seedling establishment (71.50 per cent), seedling length (11.21 cm), seedling dry weight (15.88 mg) and seedling vigour indices (800.70 and 1135.27). The biochemical analysis of primed seedlings showed significant enhancement in enzymatic and non-enzymatic antioxidants. Purple blotch caused by <i>Alternaria porri</i> is the most important foliar disease of onion leading to significant losses. The evaluation of plant extracts against <i>Alternaria porri</i> showed that neem leaf extract at a concentration of 25 per cent inhibits mycelial growth of pathogen by 81.18 per cent. The GC MS analysis of the crude extract of neem indicated the presence of forty different chemical compounds, among which the main components included Benzene, 1,4-bis (phenylmethyl)- (15.05%), Naphthalene, 1,6-dimethyl- (10.98%), 3-(2,4-Dimethoxyphenyl) butan-2-one (8.63%) and Phytol (7.99%). Evaluation of the four promising botanicals viz<i>.</i>, neem, congress grass, turmeric and ginger under field conditions indicated foliar sprays of neem leaf extract to be effective in both managing purple blotch disease (23.08 per cent disease management) and enhancing yield attributes (5.24 per cent seed yield increase). This study establishes the antimycotic and plant growth promoting potential of neem leaf extract for managing onion purple blotch.</p>\",\"PeriodicalId\":12052,\"journal\":{\"name\":\"European Journal of Plant Pathology\",\"volume\":\"23 1\",\"pages\":\"\"},\"PeriodicalIF\":1.9000,\"publicationDate\":\"2023-12-30\",\"publicationTypes\":\"Journal Article\",\"fieldsOfStudy\":null,\"isOpenAccess\":false,\"openAccessPdf\":\"\",\"citationCount\":\"0\",\"resultStr\":null,\"platform\":\"Semanticscholar\",\"paperid\":null,\"PeriodicalName\":\"European Journal of Plant Pathology\",\"FirstCategoryId\":\"97\",\"ListUrlMain\":\"https://doi.org/10.1007/s10658-023-02810-z\",\"RegionNum\":3,\"RegionCategory\":\"农林科学\",\"ArticlePicture\":[],\"TitleCN\":null,\"AbstractTextCN\":null,\"PMCID\":null,\"EPubDate\":\"\",\"PubModel\":\"\",\"JCR\":\"Q2\",\"JCRName\":\"AGRONOMY\",\"Score\":null,\"Total\":0}","platform":"Semanticscholar","paperid":null,"PeriodicalName":"European Journal of Plant Pathology","FirstCategoryId":"97","ListUrlMain":"https://doi.org/10.1007/s10658-023-02810-z","RegionNum":3,"RegionCategory":"农林科学","ArticlePicture":[],"TitleCN":null,"AbstractTextCN":null,"PMCID":null,"EPubDate":"","PubModel":"","JCR":"Q2","JCRName":"AGRONOMY","Score":null,"Total":0}
引用次数: 0

摘要

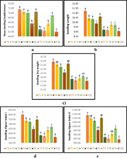
洋葱受到多种生物和非生物胁迫的影响。本研究旨在评估不同植物提取物对洋葱种子的影响。结果表明,楝树叶提取物处理过的种子表现出最高的平均成苗率(71.50%)、苗长(11.21 厘米)、苗干重(15.88 毫克)和幼苗活力指数(800.70 和 1135.27)。对打了底的秧苗进行的生化分析表明,酶和非酶抗氧化剂都有显著提高。由多孔菌(Alternaria porri)引起的紫斑病是洋葱最重要的叶面病害,会导致重大损失。对植物萃取物防治多孔菌的评估表明,楝树叶萃取物的浓度为 25%,对病原体菌丝生长的抑制率为 81.18%。楝树粗提取物的气相色谱-质谱分析表明,其中存在 40 种不同的化学物质,主要成分包括苯、1,4-双(苯基甲基)-(15.05%)、萘、1,6-二甲基-(10.98%)、3-(2,4-二甲氧基苯基)丁-2-酮(8.63%)和植物醇(7.99%)。在田间条件下对印楝、大会草、姜黄和生姜这四种有前景的植物药进行的评估表明,叶面喷洒印楝叶提取物既能有效防治紫斑病(病害防治率为 23.08%),又能提高产量属性(种子增产 5.24%)。这项研究证实了印楝叶提取物在防治洋葱紫斑病方面具有抗霉菌和促进植物生长的潜力。
本文章由计算机程序翻译,如有差异,请以英文原文为准。

Efficacy of plant extracts in growth promotion and onion purple blotch management: Unveiling metabolite fingerprinting of promising neem leaf extracts through GC MS

Efficacy of plant extracts in growth promotion and onion purple blotch management: Unveiling metabolite fingerprinting of promising neem leaf extracts through GC MS

Onion is affected by several biotic and abiotic stresses. This study aimed to evaluate the impact of onion seed priming with different plant extracts. The results show that neem leaf extract treated seeds exhibited the highest mean seedling establishment (71.50 per cent), seedling length (11.21 cm), seedling dry weight (15.88 mg) and seedling vigour indices (800.70 and 1135.27). The biochemical analysis of primed seedlings showed significant enhancement in enzymatic and non-enzymatic antioxidants. Purple blotch caused by Alternaria porri is the most important foliar disease of onion leading to significant losses. The evaluation of plant extracts against Alternaria porri showed that neem leaf extract at a concentration of 25 per cent inhibits mycelial growth of pathogen by 81.18 per cent. The GC MS analysis of the crude extract of neem indicated the presence of forty different chemical compounds, among which the main components included Benzene, 1,4-bis (phenylmethyl)- (15.05%), Naphthalene, 1,6-dimethyl- (10.98%), 3-(2,4-Dimethoxyphenyl) butan-2-one (8.63%) and Phytol (7.99%). Evaluation of the four promising botanicals viz., neem, congress grass, turmeric and ginger under field conditions indicated foliar sprays of neem leaf extract to be effective in both managing purple blotch disease (23.08 per cent disease management) and enhancing yield attributes (5.24 per cent seed yield increase). This study establishes the antimycotic and plant growth promoting potential of neem leaf extract for managing onion purple blotch.

求助全文
通过发布文献求助,成功后即可免费获取论文全文。 去求助
来源期刊
European Journal of Plant Pathology
European Journal of Plant Pathology 农林科学-农艺学
CiteScore
4.20
自引率
5.60%
发文量
183
审稿时长
3 months
期刊介绍: The European Journal of Plant Pathology is an international journal publishing original articles in English dealing with fundamental and applied aspects of plant pathology; considering disease in agricultural and horticultural crops, forestry, and in natural plant populations. The types of articles published are :Original Research at the molecular, physiological, whole-plant and population levels; Mini-reviews on topics which are timely and of global rather than national or regional significance; Short Communications for important research findings that can be presented in an abbreviated format; and Letters-to-the-Editor, where these raise issues related to articles previously published in the journal. Submissions relating to disease vector biology and integrated crop protection are welcome. However, routine screenings of plant protection products, varietal trials for disease resistance, and biological control agents are not published in the journal unless framed in the context of strategic approaches to disease management.
×
引用
GB/T 7714-2015
复制
MLA
复制
APA
复制
导出至
BibTeX EndNote RefMan NoteFirst NoteExpress
×
提示
您的信息不完整,为了账户安全,请先补充。
现在去补充
×
提示
您因"违规操作"
具体请查看互助需知
我知道了
×
提示
确定
请完成安全验证×
copy
已复制链接
快去分享给好友吧!
我知道了
右上角分享
点击右上角分享
0
联系我们:info@booksci.cn Book学术提供免费学术资源搜索服务,方便国内外学者检索中英文文献。致力于提供最便捷和优质的服务体验。 Copyright © 2023 布克学术 All rights reserved.
京ICP备2023020795号-1
ghs 京公网安备 11010802042870号
Book学术文献互助
Book学术文献互助群
群 号:604180095
Book学术官方微信