使用Braak分期淀粉样蛋白生物标志物和机器学习预测认知功能障碍和区域中心。

IF 4.5 Q1 Computer Science
Puskar Bhattarai, Ahmed Taha, Bhavin Soni, Deepa S Thakuri, Erin Ritter, Ganesh B Chand
{"title":"使用Braak分期淀粉样蛋白生物标志物和机器学习预测认知功能障碍和区域中心。","authors":"Puskar Bhattarai, Ahmed Taha, Bhavin Soni, Deepa S Thakuri, Erin Ritter, Ganesh B Chand","doi":"10.1186/s40708-023-00213-8","DOIUrl":null,"url":null,"abstract":"<p><p>Mild cognitive impairment (MCI) is a transitional stage between normal aging and early Alzheimer's disease (AD). The presence of extracellular amyloid-beta (Aβ) in Braak regions suggests a connection with cognitive dysfunction in MCI/AD. Investigating the multivariate predictive relationships between regional Aβ biomarkers and cognitive function can aid in the early detection and prevention of AD. We introduced machine learning approaches to estimate cognitive dysfunction from regional Aβ biomarkers and identify the Aβ-related dominant brain regions involved with cognitive impairment. We employed Aβ biomarkers and cognitive measurements from the same individuals to train support vector regression (SVR) and artificial neural network (ANN) models and predict cognitive performance solely based on Aβ biomarkers on the test set. To identify Aβ-related dominant brain regions involved in cognitive prediction, we built the local interpretable model-agnostic explanations (LIME) model. We found elevated Aβ in MCI compared to controls and a stronger correlation between Aβ and cognition, particularly in Braak stages III-IV and V-VII (p < 0.05) biomarkers. Both SVR and ANN, especially ANN, showed strong predictive relationships between regional Aβ biomarkers and cognitive impairment (p < 0.05). LIME integrated with ANN showed that the parahippocampal gyrus, inferior temporal gyrus, and hippocampus were the most decisive Braak regions for predicting cognitive decline. Consistent with previous findings, this new approach suggests relationships between Aβ biomarkers and cognitive impairment. The proposed analytical framework can estimate cognitive impairment from Braak staging Aβ biomarkers and delineate the dominant brain regions collectively involved in AD pathophysiology.</p>","PeriodicalId":37465,"journal":{"name":"Brain Informatics","volume":"10 1","pages":"33"},"PeriodicalIF":4.5000,"publicationDate":"2023-12-03","publicationTypes":"Journal Article","fieldsOfStudy":null,"isOpenAccess":false,"openAccessPdf":"https://www.ncbi.nlm.nih.gov/pmc/articles/PMC10694120/pdf/","citationCount":"0","resultStr":"{\"title\":\"Predicting cognitive dysfunction and regional hubs using Braak staging amyloid-beta biomarkers and machine learning.\",\"authors\":\"Puskar Bhattarai, Ahmed Taha, Bhavin Soni, Deepa S Thakuri, Erin Ritter, Ganesh B Chand\",\"doi\":\"10.1186/s40708-023-00213-8\",\"DOIUrl\":null,\"url\":null,\"abstract\":\"<p><p>Mild cognitive impairment (MCI) is a transitional stage between normal aging and early Alzheimer's disease (AD). The presence of extracellular amyloid-beta (Aβ) in Braak regions suggests a connection with cognitive dysfunction in MCI/AD. Investigating the multivariate predictive relationships between regional Aβ biomarkers and cognitive function can aid in the early detection and prevention of AD. We introduced machine learning approaches to estimate cognitive dysfunction from regional Aβ biomarkers and identify the Aβ-related dominant brain regions involved with cognitive impairment. We employed Aβ biomarkers and cognitive measurements from the same individuals to train support vector regression (SVR) and artificial neural network (ANN) models and predict cognitive performance solely based on Aβ biomarkers on the test set. To identify Aβ-related dominant brain regions involved in cognitive prediction, we built the local interpretable model-agnostic explanations (LIME) model. We found elevated Aβ in MCI compared to controls and a stronger correlation between Aβ and cognition, particularly in Braak stages III-IV and V-VII (p < 0.05) biomarkers. Both SVR and ANN, especially ANN, showed strong predictive relationships between regional Aβ biomarkers and cognitive impairment (p < 0.05). LIME integrated with ANN showed that the parahippocampal gyrus, inferior temporal gyrus, and hippocampus were the most decisive Braak regions for predicting cognitive decline. Consistent with previous findings, this new approach suggests relationships between Aβ biomarkers and cognitive impairment. The proposed analytical framework can estimate cognitive impairment from Braak staging Aβ biomarkers and delineate the dominant brain regions collectively involved in AD pathophysiology.</p>\",\"PeriodicalId\":37465,\"journal\":{\"name\":\"Brain Informatics\",\"volume\":\"10 1\",\"pages\":\"33\"},\"PeriodicalIF\":4.5000,\"publicationDate\":\"2023-12-03\",\"publicationTypes\":\"Journal Article\",\"fieldsOfStudy\":null,\"isOpenAccess\":false,\"openAccessPdf\":\"https://www.ncbi.nlm.nih.gov/pmc/articles/PMC10694120/pdf/\",\"citationCount\":\"0\",\"resultStr\":null,\"platform\":\"Semanticscholar\",\"paperid\":null,\"PeriodicalName\":\"Brain Informatics\",\"FirstCategoryId\":\"1085\",\"ListUrlMain\":\"https://doi.org/10.1186/s40708-023-00213-8\",\"RegionNum\":0,\"RegionCategory\":null,\"ArticlePicture\":[],\"TitleCN\":null,\"AbstractTextCN\":null,\"PMCID\":null,\"EPubDate\":\"\",\"PubModel\":\"\",\"JCR\":\"Q1\",\"JCRName\":\"Computer Science\",\"Score\":null,\"Total\":0}","platform":"Semanticscholar","paperid":null,"PeriodicalName":"Brain Informatics","FirstCategoryId":"1085","ListUrlMain":"https://doi.org/10.1186/s40708-023-00213-8","RegionNum":0,"RegionCategory":null,"ArticlePicture":[],"TitleCN":null,"AbstractTextCN":null,"PMCID":null,"EPubDate":"","PubModel":"","JCR":"Q1","JCRName":"Computer Science","Score":null,"Total":0}
引用次数: 0

摘要

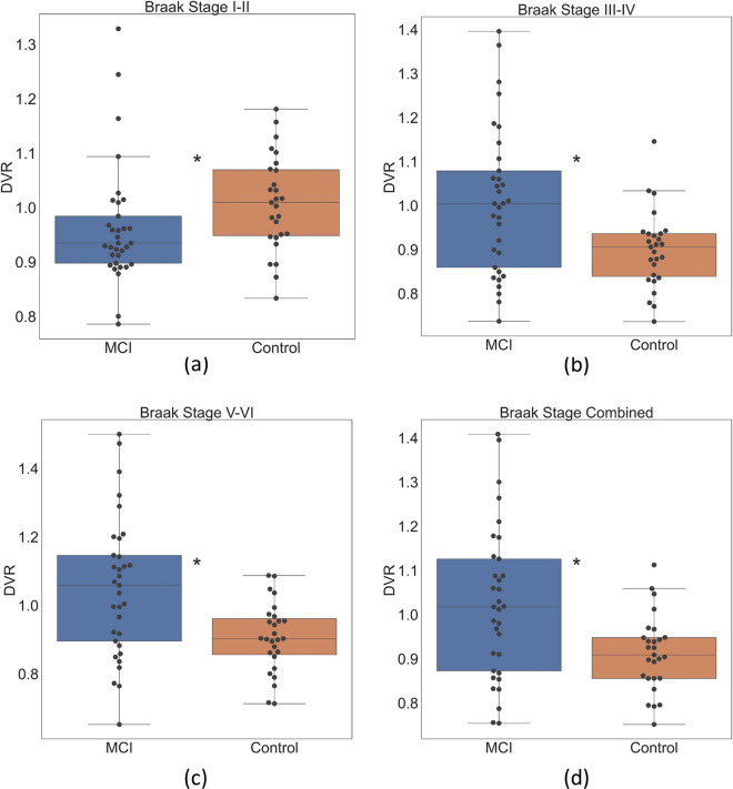
轻度认知障碍(MCI)是介于正常衰老和早期阿尔茨海默病(AD)之间的过渡阶段。细胞外淀粉样蛋白β (a β)在Braak区域的存在表明与MCI/AD的认知功能障碍有关。研究区域Aβ生物标志物与认知功能之间的多变量预测关系有助于AD的早期发现和预防。我们引入机器学习方法,从区域Aβ生物标志物估计认知功能障碍,并确定与Aβ相关的主导脑区域参与认知障碍。我们使用来自同一个体的Aβ生物标志物和认知测量值来训练支持向量回归(SVR)和人工神经网络(ANN)模型,并仅基于测试集上的Aβ生物标志物来预测认知表现。为了确定与a β相关的主导脑区参与认知预测,我们建立了局部可解释模型-不可知论解释(LIME)模型。我们发现,与对照组相比,MCI中a β升高,a β与认知之间存在更强的相关性,特别是在Braak III-IV期和V-VII期
本文章由计算机程序翻译,如有差异,请以英文原文为准。

Predicting cognitive dysfunction and regional hubs using Braak staging amyloid-beta biomarkers and machine learning.

Predicting cognitive dysfunction and regional hubs using Braak staging amyloid-beta biomarkers and machine learning.

Predicting cognitive dysfunction and regional hubs using Braak staging amyloid-beta biomarkers and machine learning.

Predicting cognitive dysfunction and regional hubs using Braak staging amyloid-beta biomarkers and machine learning.

Mild cognitive impairment (MCI) is a transitional stage between normal aging and early Alzheimer's disease (AD). The presence of extracellular amyloid-beta (Aβ) in Braak regions suggests a connection with cognitive dysfunction in MCI/AD. Investigating the multivariate predictive relationships between regional Aβ biomarkers and cognitive function can aid in the early detection and prevention of AD. We introduced machine learning approaches to estimate cognitive dysfunction from regional Aβ biomarkers and identify the Aβ-related dominant brain regions involved with cognitive impairment. We employed Aβ biomarkers and cognitive measurements from the same individuals to train support vector regression (SVR) and artificial neural network (ANN) models and predict cognitive performance solely based on Aβ biomarkers on the test set. To identify Aβ-related dominant brain regions involved in cognitive prediction, we built the local interpretable model-agnostic explanations (LIME) model. We found elevated Aβ in MCI compared to controls and a stronger correlation between Aβ and cognition, particularly in Braak stages III-IV and V-VII (p < 0.05) biomarkers. Both SVR and ANN, especially ANN, showed strong predictive relationships between regional Aβ biomarkers and cognitive impairment (p < 0.05). LIME integrated with ANN showed that the parahippocampal gyrus, inferior temporal gyrus, and hippocampus were the most decisive Braak regions for predicting cognitive decline. Consistent with previous findings, this new approach suggests relationships between Aβ biomarkers and cognitive impairment. The proposed analytical framework can estimate cognitive impairment from Braak staging Aβ biomarkers and delineate the dominant brain regions collectively involved in AD pathophysiology.

求助全文
通过发布文献求助,成功后即可免费获取论文全文。 去求助
来源期刊
Brain Informatics
Brain Informatics Computer Science-Computer Science Applications
CiteScore
9.50
自引率
0.00%
发文量
27
审稿时长
13 weeks
期刊介绍: Brain Informatics is an international, peer-reviewed, interdisciplinary open-access journal published under the brand SpringerOpen, which provides a unique platform for researchers and practitioners to disseminate original research on computational and informatics technologies related to brain. This journal addresses the computational, cognitive, physiological, biological, physical, ecological and social perspectives of brain informatics. It also welcomes emerging information technologies and advanced neuro-imaging technologies, such as big data analytics and interactive knowledge discovery related to various large-scale brain studies and their applications. This journal will publish high-quality original research papers, brief reports and critical reviews in all theoretical, technological, clinical and interdisciplinary studies that make up the field of brain informatics and its applications in brain-machine intelligence, brain-inspired intelligent systems, mental health and brain disorders, etc. The scope of papers includes the following five tracks: Track 1: Cognitive and Computational Foundations of Brain Science Track 2: Human Information Processing Systems Track 3: Brain Big Data Analytics, Curation and Management Track 4: Informatics Paradigms for Brain and Mental Health Research Track 5: Brain-Machine Intelligence and Brain-Inspired Computing
×
引用
GB/T 7714-2015
复制
MLA
复制
APA
复制
导出至
BibTeX EndNote RefMan NoteFirst NoteExpress
×
提示
您的信息不完整,为了账户安全,请先补充。
现在去补充
×
提示
您因"违规操作"
具体请查看互助需知
我知道了
×
提示
确定
请完成安全验证×
copy
已复制链接
快去分享给好友吧!
我知道了
右上角分享
点击右上角分享
0
联系我们:info@booksci.cn Book学术提供免费学术资源搜索服务,方便国内外学者检索中英文文献。致力于提供最便捷和优质的服务体验。 Copyright © 2023 布克学术 All rights reserved.
京ICP备2023020795号-1
ghs 京公网安备 11010802042870号
Book学术文献互助
Book学术文献互助群
群 号:604180095
Book学术官方微信