卒中后与健康相关的生活质量的变化:来自长期随访的手臂康复临床试验的见解

0 REHABILITATION
Advances in rehabilitation science and practice Pub Date : 2023-11-29 eCollection Date: 2023-01-01 DOI:10.1177/27536351231214845
Giada Milani, Linda Mantovani, Andrea Baroni, Nicola Lamberti, Nino Basaglia, Susanna Lavezzi, Fabio Manfredini, Sofia Straudi
{"title":"卒中后与健康相关的生活质量的变化:来自长期随访的手臂康复临床试验的见解","authors":"Giada Milani, Linda Mantovani, Andrea Baroni, Nicola Lamberti, Nino Basaglia, Susanna Lavezzi, Fabio Manfredini, Sofia Straudi","doi":"10.1177/27536351231214845","DOIUrl":null,"url":null,"abstract":"<p><p>Despite rehabilitation, stroke patients continue to have impaired function and reduced health-related quality of life (HRQoL) even in a chronic stage. However, no clear information is available on long-term variations in HRQoL. In this study, we aimed to report the short- and long-term changes in HRQoL in a subacute stroke sample that was enrolled in a clinical trial on arm rehabilitation. Thirty-nine stroke survivors (62% male, mean age 68 years) were assessed using the Stroke Impact Scale Version 2.0 (SIS 2.0) pre and post rehabilitation and at 6 months and 6 years follow-up. Long-term changes in physical function were explored through clinically meaningful changes in the Stroke Impact Scale-16 (SIS-16). After rehabilitation (<i>P</i> < .001), an overall improvement was found in all SIS domains except the memory and thinking, emotions, and communication domains. The baseline SIS-16 score (<i>P</i> < .001), the presence of a sensory deficit, and rehabilitation setting (<i>P</i> < .05) were factors related to the SIS-16 domain scores at the end of rehabilitation and at 6 months follow-up. Patients showed the most deterioration in the mobility (<i>P</i> < .001), strength (<i>P</i> < .003), and hand function (<i>P</i> < .05) domains 6 years after stroke. Stroke severity, male gender, and age ⩾65 years are related with a long-term HRQoL reduction after stroke.</p>","PeriodicalId":72107,"journal":{"name":"Advances in rehabilitation science and practice","volume":"12 ","pages":"27536351231214845"},"PeriodicalIF":0.0000,"publicationDate":"2023-11-29","publicationTypes":"Journal Article","fieldsOfStudy":null,"isOpenAccess":false,"openAccessPdf":"https://www.ncbi.nlm.nih.gov/pmc/articles/PMC10687933/pdf/","citationCount":"0","resultStr":"{\"title\":\"Variations in Health-Related Quality of Life After Stroke: Insights From a Clinical Trial on Arm Rehabilitation With a Long-Term Follow-Up.\",\"authors\":\"Giada Milani, Linda Mantovani, Andrea Baroni, Nicola Lamberti, Nino Basaglia, Susanna Lavezzi, Fabio Manfredini, Sofia Straudi\",\"doi\":\"10.1177/27536351231214845\",\"DOIUrl\":null,\"url\":null,\"abstract\":\"<p><p>Despite rehabilitation, stroke patients continue to have impaired function and reduced health-related quality of life (HRQoL) even in a chronic stage. However, no clear information is available on long-term variations in HRQoL. In this study, we aimed to report the short- and long-term changes in HRQoL in a subacute stroke sample that was enrolled in a clinical trial on arm rehabilitation. Thirty-nine stroke survivors (62% male, mean age 68 years) were assessed using the Stroke Impact Scale Version 2.0 (SIS 2.0) pre and post rehabilitation and at 6 months and 6 years follow-up. Long-term changes in physical function were explored through clinically meaningful changes in the Stroke Impact Scale-16 (SIS-16). After rehabilitation (<i>P</i> < .001), an overall improvement was found in all SIS domains except the memory and thinking, emotions, and communication domains. The baseline SIS-16 score (<i>P</i> < .001), the presence of a sensory deficit, and rehabilitation setting (<i>P</i> < .05) were factors related to the SIS-16 domain scores at the end of rehabilitation and at 6 months follow-up. Patients showed the most deterioration in the mobility (<i>P</i> < .001), strength (<i>P</i> < .003), and hand function (<i>P</i> < .05) domains 6 years after stroke. Stroke severity, male gender, and age ⩾65 years are related with a long-term HRQoL reduction after stroke.</p>\",\"PeriodicalId\":72107,\"journal\":{\"name\":\"Advances in rehabilitation science and practice\",\"volume\":\"12 \",\"pages\":\"27536351231214845\"},\"PeriodicalIF\":0.0000,\"publicationDate\":\"2023-11-29\",\"publicationTypes\":\"Journal Article\",\"fieldsOfStudy\":null,\"isOpenAccess\":false,\"openAccessPdf\":\"https://www.ncbi.nlm.nih.gov/pmc/articles/PMC10687933/pdf/\",\"citationCount\":\"0\",\"resultStr\":null,\"platform\":\"Semanticscholar\",\"paperid\":null,\"PeriodicalName\":\"Advances in rehabilitation science and practice\",\"FirstCategoryId\":\"1085\",\"ListUrlMain\":\"https://doi.org/10.1177/27536351231214845\",\"RegionNum\":0,\"RegionCategory\":null,\"ArticlePicture\":[],\"TitleCN\":null,\"AbstractTextCN\":null,\"PMCID\":null,\"EPubDate\":\"2023/1/1 0:00:00\",\"PubModel\":\"eCollection\",\"JCR\":\"0\",\"JCRName\":\"REHABILITATION\",\"Score\":null,\"Total\":0}","platform":"Semanticscholar","paperid":null,"PeriodicalName":"Advances in rehabilitation science and practice","FirstCategoryId":"1085","ListUrlMain":"https://doi.org/10.1177/27536351231214845","RegionNum":0,"RegionCategory":null,"ArticlePicture":[],"TitleCN":null,"AbstractTextCN":null,"PMCID":null,"EPubDate":"2023/1/1 0:00:00","PubModel":"eCollection","JCR":"0","JCRName":"REHABILITATION","Score":null,"Total":0}
引用次数: 0

摘要

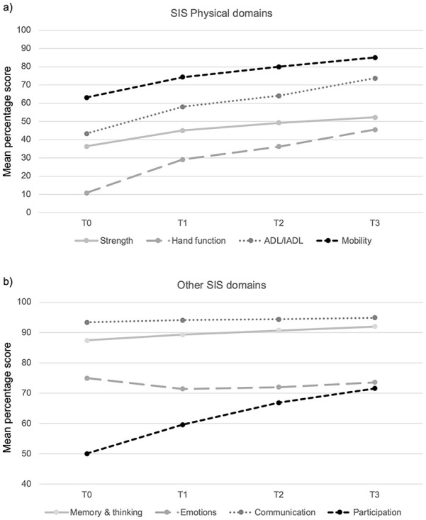
尽管康复,中风患者仍然有功能受损和健康相关生活质量(HRQoL)下降,即使在慢性阶段。然而,没有关于HRQoL长期变化的明确信息。在这项研究中,我们的目的是报告一个亚急性中风样本的短期和长期HRQoL的变化,该样本参加了一项关于手臂康复的临床试验。39名中风幸存者(62%男性,平均年龄68岁)在康复前后以及随访6个月和6年时使用中风影响量表2.0版(SIS 2.0)进行评估。通过卒中影响量表-16 (SIS-16)的临床意义变化来探讨身体功能的长期变化。康复后(P P P P P P
本文章由计算机程序翻译,如有差异,请以英文原文为准。

Variations in Health-Related Quality of Life After Stroke: Insights From a Clinical Trial on Arm Rehabilitation With a Long-Term Follow-Up.

Variations in Health-Related Quality of Life After Stroke: Insights From a Clinical Trial on Arm Rehabilitation With a Long-Term Follow-Up.

Variations in Health-Related Quality of Life After Stroke: Insights From a Clinical Trial on Arm Rehabilitation With a Long-Term Follow-Up.

Variations in Health-Related Quality of Life After Stroke: Insights From a Clinical Trial on Arm Rehabilitation With a Long-Term Follow-Up.

Despite rehabilitation, stroke patients continue to have impaired function and reduced health-related quality of life (HRQoL) even in a chronic stage. However, no clear information is available on long-term variations in HRQoL. In this study, we aimed to report the short- and long-term changes in HRQoL in a subacute stroke sample that was enrolled in a clinical trial on arm rehabilitation. Thirty-nine stroke survivors (62% male, mean age 68 years) were assessed using the Stroke Impact Scale Version 2.0 (SIS 2.0) pre and post rehabilitation and at 6 months and 6 years follow-up. Long-term changes in physical function were explored through clinically meaningful changes in the Stroke Impact Scale-16 (SIS-16). After rehabilitation (P < .001), an overall improvement was found in all SIS domains except the memory and thinking, emotions, and communication domains. The baseline SIS-16 score (P < .001), the presence of a sensory deficit, and rehabilitation setting (P < .05) were factors related to the SIS-16 domain scores at the end of rehabilitation and at 6 months follow-up. Patients showed the most deterioration in the mobility (P < .001), strength (P < .003), and hand function (P < .05) domains 6 years after stroke. Stroke severity, male gender, and age ⩾65 years are related with a long-term HRQoL reduction after stroke.

求助全文
通过发布文献求助,成功后即可免费获取论文全文。 去求助
来源期刊
自引率
0.00%
发文量
0
×
引用
GB/T 7714-2015
复制
MLA
复制
APA
复制
导出至
BibTeX EndNote RefMan NoteFirst NoteExpress
×
提示
您的信息不完整,为了账户安全,请先补充。
现在去补充
×
提示
您因"违规操作"
具体请查看互助需知
我知道了
×
提示
确定
请完成安全验证×
copy
已复制链接
快去分享给好友吧!
我知道了
右上角分享
点击右上角分享
0
联系我们:info@booksci.cn Book学术提供免费学术资源搜索服务,方便国内外学者检索中英文文献。致力于提供最便捷和优质的服务体验。 Copyright © 2023 布克学术 All rights reserved.
京ICP备2023020795号-1
ghs 京公网安备 11010802042870号
Book学术文献互助
Book学术文献互助群
群 号:604180095
Book学术官方微信