我们是否都以同样的方式看待年龄歧视的经历?年龄歧视认知的跨文化差异及其与生活满意度的关系。

IF 3.5 2区 社会学 Q1 GERONTOLOGY
M Clara P de Paula Couto, Jana Nikitin, Sylvie Graf, Helene H Fung, Thomas M Hess, Shyhnan Liou, Klaus Rothermund
{"title":"我们是否都以同样的方式看待年龄歧视的经历?年龄歧视认知的跨文化差异及其与生活满意度的关系。","authors":"M Clara P de Paula Couto, Jana Nikitin, Sylvie Graf, Helene H Fung, Thomas M Hess, Shyhnan Liou, Klaus Rothermund","doi":"10.1007/s10433-023-00790-x","DOIUrl":null,"url":null,"abstract":"<p><p>Age discrimination is pervasive in most societies and bears far-reaching consequences for individuals' psychological well-being. Despite that, studies that examine cross-cultural differences in age discrimination are still lacking. Likewise, whether the detrimental association between age discrimination and psychological well-being varies across contexts remains an open question. In this study, therefore, we examined cross-cultural differences in perceived experiences of age discrimination and their detrimental association with a specific indicator of psychological well-being, which is life satisfaction. The sample was drawn from the Ageing as Future study and comprised 1653 older adults (60-90 years) from the Czech Republic, Germany, Hong Kong, Taiwan, and the USA. Participants self-reported their experiences of age discrimination and their life satisfaction. Findings indicated that participants from Hong Kong and Taiwan reported experiences of perceived age discrimination more often than participants from the Czech Republic, Germany, and the USA. Furthermore, experiences of age discrimination were negatively associated with life satisfaction. Cultural context moderated this relation: We found a smaller detrimental association between perceived experiences of age discrimination and life satisfaction in Eastern cultures, that is, in contexts where such experiences were perceived to be more prevalent. These findings highlight the importance of examining age discrimination across cultures. Experiences of age discrimination are clearly undesirable in that they negatively affect psychological well-being. Our results indicate that a higher self-reported prevalence of perceived age discrimination in the samples studied weakens this negative association. We discuss these findings in terms of adaptation (versus sensitization) in response to discrimination.</p>","PeriodicalId":47766,"journal":{"name":"European Journal of Ageing","volume":"20 1","pages":"43"},"PeriodicalIF":3.5000,"publicationDate":"2023-11-16","publicationTypes":"Journal Article","fieldsOfStudy":null,"isOpenAccess":false,"openAccessPdf":"https://www.ncbi.nlm.nih.gov/pmc/articles/PMC10654333/pdf/","citationCount":"0","resultStr":"{\"title\":\"Do we all perceive experiences of age discrimination in the same way? Cross-cultural differences in perceived age discrimination and its association with life satisfaction.\",\"authors\":\"M Clara P de Paula Couto, Jana Nikitin, Sylvie Graf, Helene H Fung, Thomas M Hess, Shyhnan Liou, Klaus Rothermund\",\"doi\":\"10.1007/s10433-023-00790-x\",\"DOIUrl\":null,\"url\":null,\"abstract\":\"<p><p>Age discrimination is pervasive in most societies and bears far-reaching consequences for individuals' psychological well-being. Despite that, studies that examine cross-cultural differences in age discrimination are still lacking. Likewise, whether the detrimental association between age discrimination and psychological well-being varies across contexts remains an open question. In this study, therefore, we examined cross-cultural differences in perceived experiences of age discrimination and their detrimental association with a specific indicator of psychological well-being, which is life satisfaction. The sample was drawn from the Ageing as Future study and comprised 1653 older adults (60-90 years) from the Czech Republic, Germany, Hong Kong, Taiwan, and the USA. Participants self-reported their experiences of age discrimination and their life satisfaction. Findings indicated that participants from Hong Kong and Taiwan reported experiences of perceived age discrimination more often than participants from the Czech Republic, Germany, and the USA. Furthermore, experiences of age discrimination were negatively associated with life satisfaction. Cultural context moderated this relation: We found a smaller detrimental association between perceived experiences of age discrimination and life satisfaction in Eastern cultures, that is, in contexts where such experiences were perceived to be more prevalent. These findings highlight the importance of examining age discrimination across cultures. Experiences of age discrimination are clearly undesirable in that they negatively affect psychological well-being. Our results indicate that a higher self-reported prevalence of perceived age discrimination in the samples studied weakens this negative association. We discuss these findings in terms of adaptation (versus sensitization) in response to discrimination.</p>\",\"PeriodicalId\":47766,\"journal\":{\"name\":\"European Journal of Ageing\",\"volume\":\"20 1\",\"pages\":\"43\"},\"PeriodicalIF\":3.5000,\"publicationDate\":\"2023-11-16\",\"publicationTypes\":\"Journal Article\",\"fieldsOfStudy\":null,\"isOpenAccess\":false,\"openAccessPdf\":\"https://www.ncbi.nlm.nih.gov/pmc/articles/PMC10654333/pdf/\",\"citationCount\":\"0\",\"resultStr\":null,\"platform\":\"Semanticscholar\",\"paperid\":null,\"PeriodicalName\":\"European Journal of Ageing\",\"FirstCategoryId\":\"90\",\"ListUrlMain\":\"https://doi.org/10.1007/s10433-023-00790-x\",\"RegionNum\":2,\"RegionCategory\":\"社会学\",\"ArticlePicture\":[],\"TitleCN\":null,\"AbstractTextCN\":null,\"PMCID\":null,\"EPubDate\":\"\",\"PubModel\":\"\",\"JCR\":\"Q1\",\"JCRName\":\"GERONTOLOGY\",\"Score\":null,\"Total\":0}","platform":"Semanticscholar","paperid":null,"PeriodicalName":"European Journal of Ageing","FirstCategoryId":"90","ListUrlMain":"https://doi.org/10.1007/s10433-023-00790-x","RegionNum":2,"RegionCategory":"社会学","ArticlePicture":[],"TitleCN":null,"AbstractTextCN":null,"PMCID":null,"EPubDate":"","PubModel":"","JCR":"Q1","JCRName":"GERONTOLOGY","Score":null,"Total":0}
引用次数: 0

摘要

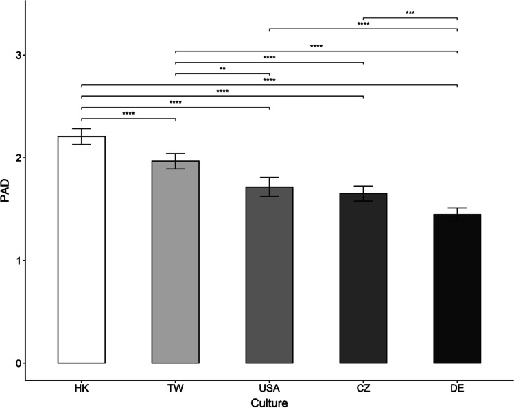
年龄歧视在大多数社会普遍存在,对个人的心理健康产生深远的影响。尽管如此,关于年龄歧视的跨文化差异的研究仍然缺乏。同样,年龄歧视与心理健康之间的有害联系是否在不同背景下有所不同,仍然是一个悬而未决的问题。因此,在本研究中,我们考察了年龄歧视感知经历的跨文化差异,以及它们与心理健康的一个特定指标——生活满意度——的有害关联。样本来自老龄化作为未来研究,包括1653名老年人(60-90岁),他们来自捷克共和国、德国、香港、台湾和美国。参与者自我报告了他们的年龄歧视经历和生活满意度。研究结果显示,香港和台湾的受访者比捷克、德国和美国的受访者更常报告感受到年龄歧视。此外,年龄歧视经历与生活满意度呈负相关。文化背景缓和了这一关系:我们发现,在东方文化中,年龄歧视的感知经历与生活满意度之间存在较小的有害关联,也就是说,在这种体验被认为更普遍的环境中。这些发现强调了研究跨文化年龄歧视的重要性。年龄歧视的经历显然是不可取的,因为它们对心理健康产生负面影响。我们的研究结果表明,在研究的样本中,较高的自我报告的年龄歧视患病率削弱了这种负相关。我们从对歧视的适应(与敏感化)方面讨论了这些发现。
本文章由计算机程序翻译,如有差异,请以英文原文为准。

Do we all perceive experiences of age discrimination in the same way? Cross-cultural differences in perceived age discrimination and its association with life satisfaction.

Do we all perceive experiences of age discrimination in the same way? Cross-cultural differences in perceived age discrimination and its association with life satisfaction.

Do we all perceive experiences of age discrimination in the same way? Cross-cultural differences in perceived age discrimination and its association with life satisfaction.

Age discrimination is pervasive in most societies and bears far-reaching consequences for individuals' psychological well-being. Despite that, studies that examine cross-cultural differences in age discrimination are still lacking. Likewise, whether the detrimental association between age discrimination and psychological well-being varies across contexts remains an open question. In this study, therefore, we examined cross-cultural differences in perceived experiences of age discrimination and their detrimental association with a specific indicator of psychological well-being, which is life satisfaction. The sample was drawn from the Ageing as Future study and comprised 1653 older adults (60-90 years) from the Czech Republic, Germany, Hong Kong, Taiwan, and the USA. Participants self-reported their experiences of age discrimination and their life satisfaction. Findings indicated that participants from Hong Kong and Taiwan reported experiences of perceived age discrimination more often than participants from the Czech Republic, Germany, and the USA. Furthermore, experiences of age discrimination were negatively associated with life satisfaction. Cultural context moderated this relation: We found a smaller detrimental association between perceived experiences of age discrimination and life satisfaction in Eastern cultures, that is, in contexts where such experiences were perceived to be more prevalent. These findings highlight the importance of examining age discrimination across cultures. Experiences of age discrimination are clearly undesirable in that they negatively affect psychological well-being. Our results indicate that a higher self-reported prevalence of perceived age discrimination in the samples studied weakens this negative association. We discuss these findings in terms of adaptation (versus sensitization) in response to discrimination.

求助全文
通过发布文献求助,成功后即可免费获取论文全文。 去求助
来源期刊
CiteScore
6.50
自引率
7.90%
发文量
72
期刊介绍: The European Journal of Ageing: Social, Behavioural and Health Perspectives is an interdisciplinary journal devoted to the understanding of ageing in European societies and the world over. EJA publishes original articles on the social, behavioral and population health aspects of ageing and encourages an integrated approach between these aspects. Emphasis is put on publishing empirical research (including meta-analyses), but conceptual papers (including narrative reviews) and methodological contributions will also be considered. EJA welcomes expert opinions on critical issues in ageing. By stimulating communication between researchers and those using research findings, it aims to contribute to the formulation of better policies and the development of better practice in serving older adults. To further specify, with the term ''social'' is meant the full scope of social science of ageing related research from the micro to the macro level of analysis. With the term ''behavioural'' the full scope of psychological ageing research including life span approaches based on a range of age groups from young to old is envisaged. The term ''population health-related'' denotes social-epidemiological and public health oriented research including research on functional health in the widest possible sense.
×
引用
GB/T 7714-2015
复制
MLA
复制
APA
复制
导出至
BibTeX EndNote RefMan NoteFirst NoteExpress
×
提示
您的信息不完整,为了账户安全,请先补充。
现在去补充
×
提示
您因"违规操作"
具体请查看互助需知
我知道了
×
提示
确定
请完成安全验证×
copy
已复制链接
快去分享给好友吧!
我知道了
右上角分享
点击右上角分享
0
联系我们:info@booksci.cn Book学术提供免费学术资源搜索服务,方便国内外学者检索中英文文献。致力于提供最便捷和优质的服务体验。 Copyright © 2023 布克学术 All rights reserved.
京ICP备2023020795号-1
ghs 京公网安备 11010802042870号
Book学术文献互助
Book学术文献互助群
群 号:604180095
Book学术官方微信