评价韩国个人健康记录的现状:国家卫生信息化调查的结果。

IF 2.1 Q3 MEDICAL INFORMATICS
Healthcare Informatics Research Pub Date : 2023-10-01 Epub Date: 2023-10-31 DOI:10.4258/hir.2023.29.4.386
Kyehwa Lee, Yura Lee, Jae-Ho Lee
{"title":"评价韩国个人健康记录的现状:国家卫生信息化调查的结果。","authors":"Kyehwa Lee, Yura Lee, Jae-Ho Lee","doi":"10.4258/hir.2023.29.4.386","DOIUrl":null,"url":null,"abstract":"<p><strong>Objectives: </strong>This study examined the adoption and utilization of personal health records (PHR) across Korean medical institutions using data from the 2020 National Health and Medical Informatization Survey.</p><p><strong>Methods: </strong>Spearheaded by the Ministry of Health and Welfare and prominent academic societies, this study surveyed PHR utilization in 574 medical institutions.</p><p><strong>Results: </strong>Among these institutions, 84.9% (487 hospitals) maintained medical portals. However, just 14.1% (81 hospitals) had web-based or mobile PHRs, with 66.7% (28 of 42) of tertiary care hospitals adopting them. Tertiary hospitals led in PHR services: 87.8% offered certification issuance, 51.2% provided educational information, 63.4% supported online payment, and 95.1% managed appointment reservations. In contrast, general and smaller hospitals had lower rates. Online medical information viewing was prominent in tertiary hospitals (64.3%). Most patients accessed test results via PHRs, but other data types were less frequent, and only a few allowed downloads. Despite the widespread access to medical data through PHRs, integration with wearables and biometric data transfers to electronic medical records remained low, with limited plans for expansion in the coming three years.</p><p><strong>Conclusions: </strong>Approximately two-thirds of the surveyed medical institutions provided PHRs, but hospitals and clinics in charge of community care had very limited PHR implementation. Government-led leadership is required to invigorate the use of PHRs in medical institutions.</p>","PeriodicalId":12947,"journal":{"name":"Healthcare Informatics Research","volume":"29 4","pages":"386-393"},"PeriodicalIF":2.1000,"publicationDate":"2023-10-01","publicationTypes":"Journal Article","fieldsOfStudy":null,"isOpenAccess":false,"openAccessPdf":"https://www.ncbi.nlm.nih.gov/pmc/articles/PMC10651406/pdf/","citationCount":"0","resultStr":"{\"title\":\"Evaluating the Landscape of Personal Health Records in Korea: Results of the National Health Informatization Survey.\",\"authors\":\"Kyehwa Lee, Yura Lee, Jae-Ho Lee\",\"doi\":\"10.4258/hir.2023.29.4.386\",\"DOIUrl\":null,\"url\":null,\"abstract\":\"<p><strong>Objectives: </strong>This study examined the adoption and utilization of personal health records (PHR) across Korean medical institutions using data from the 2020 National Health and Medical Informatization Survey.</p><p><strong>Methods: </strong>Spearheaded by the Ministry of Health and Welfare and prominent academic societies, this study surveyed PHR utilization in 574 medical institutions.</p><p><strong>Results: </strong>Among these institutions, 84.9% (487 hospitals) maintained medical portals. However, just 14.1% (81 hospitals) had web-based or mobile PHRs, with 66.7% (28 of 42) of tertiary care hospitals adopting them. Tertiary hospitals led in PHR services: 87.8% offered certification issuance, 51.2% provided educational information, 63.4% supported online payment, and 95.1% managed appointment reservations. In contrast, general and smaller hospitals had lower rates. Online medical information viewing was prominent in tertiary hospitals (64.3%). Most patients accessed test results via PHRs, but other data types were less frequent, and only a few allowed downloads. Despite the widespread access to medical data through PHRs, integration with wearables and biometric data transfers to electronic medical records remained low, with limited plans for expansion in the coming three years.</p><p><strong>Conclusions: </strong>Approximately two-thirds of the surveyed medical institutions provided PHRs, but hospitals and clinics in charge of community care had very limited PHR implementation. Government-led leadership is required to invigorate the use of PHRs in medical institutions.</p>\",\"PeriodicalId\":12947,\"journal\":{\"name\":\"Healthcare Informatics Research\",\"volume\":\"29 4\",\"pages\":\"386-393\"},\"PeriodicalIF\":2.1000,\"publicationDate\":\"2023-10-01\",\"publicationTypes\":\"Journal Article\",\"fieldsOfStudy\":null,\"isOpenAccess\":false,\"openAccessPdf\":\"https://www.ncbi.nlm.nih.gov/pmc/articles/PMC10651406/pdf/\",\"citationCount\":\"0\",\"resultStr\":null,\"platform\":\"Semanticscholar\",\"paperid\":null,\"PeriodicalName\":\"Healthcare Informatics Research\",\"FirstCategoryId\":\"1085\",\"ListUrlMain\":\"https://doi.org/10.4258/hir.2023.29.4.386\",\"RegionNum\":0,\"RegionCategory\":null,\"ArticlePicture\":[],\"TitleCN\":null,\"AbstractTextCN\":null,\"PMCID\":null,\"EPubDate\":\"2023/10/31 0:00:00\",\"PubModel\":\"Epub\",\"JCR\":\"Q3\",\"JCRName\":\"MEDICAL INFORMATICS\",\"Score\":null,\"Total\":0}","platform":"Semanticscholar","paperid":null,"PeriodicalName":"Healthcare Informatics Research","FirstCategoryId":"1085","ListUrlMain":"https://doi.org/10.4258/hir.2023.29.4.386","RegionNum":0,"RegionCategory":null,"ArticlePicture":[],"TitleCN":null,"AbstractTextCN":null,"PMCID":null,"EPubDate":"2023/10/31 0:00:00","PubModel":"Epub","JCR":"Q3","JCRName":"MEDICAL INFORMATICS","Score":null,"Total":0}
引用次数: 0

摘要

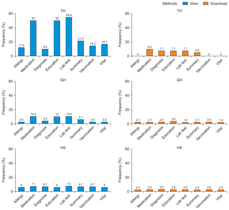
目的:本研究使用2020年全国健康和医疗信息化调查的数据,调查了韩国医疗机构对个人健康记录(PHR)的采用和利用情况。方法:在厚生劳动省和知名学会的牵头下,对574家医疗机构的PHR使用情况进行调查。结果:84.9%(487家医院)拥有医疗门户网站。然而,只有14.1%(81家医院)拥有基于网络或移动的phrr,而66.7%(42家医院中的28家)的三级保健医院采用了它们。三级医院在PHR服务方面处于领先地位:87.8%的医院提供认证,51.2%的医院提供教育信息,63.4%的医院支持在线支付,95.1%的医院管理预约。相比之下,普通医院和小型医院的死亡率较低。三级医院以在线医疗信息浏览为主(64.3%)。大多数患者通过PHRs访问测试结果,但其他数据类型的频率较低,只有少数允许下载。尽管通过phrr广泛访问医疗数据,但与可穿戴设备的集成和生物识别数据传输到电子医疗记录的程度仍然很低,未来三年的扩展计划有限。结论:约有三分之二的受访医疗机构提供医疗记录,但负责社区护理的医院和诊所实施的医疗记录非常有限。要坚持政府主导,活跃医疗机构药品注册簿使用。
本文章由计算机程序翻译,如有差异,请以英文原文为准。

Evaluating the Landscape of Personal Health Records in Korea: Results of the National Health Informatization Survey.

Evaluating the Landscape of Personal Health Records in Korea: Results of the National Health Informatization Survey.

Evaluating the Landscape of Personal Health Records in Korea: Results of the National Health Informatization Survey.

Evaluating the Landscape of Personal Health Records in Korea: Results of the National Health Informatization Survey.

Objectives: This study examined the adoption and utilization of personal health records (PHR) across Korean medical institutions using data from the 2020 National Health and Medical Informatization Survey.

Methods: Spearheaded by the Ministry of Health and Welfare and prominent academic societies, this study surveyed PHR utilization in 574 medical institutions.

Results: Among these institutions, 84.9% (487 hospitals) maintained medical portals. However, just 14.1% (81 hospitals) had web-based or mobile PHRs, with 66.7% (28 of 42) of tertiary care hospitals adopting them. Tertiary hospitals led in PHR services: 87.8% offered certification issuance, 51.2% provided educational information, 63.4% supported online payment, and 95.1% managed appointment reservations. In contrast, general and smaller hospitals had lower rates. Online medical information viewing was prominent in tertiary hospitals (64.3%). Most patients accessed test results via PHRs, but other data types were less frequent, and only a few allowed downloads. Despite the widespread access to medical data through PHRs, integration with wearables and biometric data transfers to electronic medical records remained low, with limited plans for expansion in the coming three years.

Conclusions: Approximately two-thirds of the surveyed medical institutions provided PHRs, but hospitals and clinics in charge of community care had very limited PHR implementation. Government-led leadership is required to invigorate the use of PHRs in medical institutions.

求助全文
通过发布文献求助,成功后即可免费获取论文全文。 去求助
来源期刊
Healthcare Informatics Research
Healthcare Informatics Research MEDICAL INFORMATICS-
CiteScore
4.90
自引率
6.90%
发文量
44
×
引用
GB/T 7714-2015
复制
MLA
复制
APA
复制
导出至
BibTeX EndNote RefMan NoteFirst NoteExpress
×
提示
您的信息不完整,为了账户安全,请先补充。
现在去补充
×
提示
您因"违规操作"
具体请查看互助需知
我知道了
×
提示
确定
请完成安全验证×
copy
已复制链接
快去分享给好友吧!
我知道了
右上角分享
点击右上角分享
0
联系我们:info@booksci.cn Book学术提供免费学术资源搜索服务,方便国内外学者检索中英文文献。致力于提供最便捷和优质的服务体验。 Copyright © 2023 布克学术 All rights reserved.
京ICP备2023020795号-1
ghs 京公网安备 11010802042870号
Book学术文献互助
Book学术文献互助群
群 号:604180095
Book学术官方微信