早期营养支持对异基因造血干细胞移植患者生活质量的影响。

Ayaka Inden, Takayoshi Tsukahara, Eiko Tachibana, Yasuyuki Nagata, Takaaki Ono, Akihiko Kato
{"title":"早期营养支持对异基因造血干细胞移植患者生活质量的影响。","authors":"Ayaka Inden,&nbsp;Takayoshi Tsukahara,&nbsp;Eiko Tachibana,&nbsp;Yasuyuki Nagata,&nbsp;Takaaki Ono,&nbsp;Akihiko Kato","doi":"10.31547/bct-2022-007","DOIUrl":null,"url":null,"abstract":"<p><strong>Purpose: </strong>Increasing attention is being paid to the importance of nutritional management of allogeneic hematopoietic stem cell transplant (allo-HSCT) patients. However, few studies have conducted detailed evaluations of both nutritional intake and quality of life (QOL) in allo-HSCT patients. Therefore, we investigated the nutritional status and quality of life of our allo-HSCT patients.</p><p><strong>Methods: </strong>The subjects were 26 adults who underwent allo-HSCT at Hamamatsu University Hospital between August 2018 and October 2021. Early nutritional intervention was provided from the time of the decision to perform allo-HSCT to the time of discharge, and it incorporated regular QOL assessments. The analyzed indices were nutritional intake, anthropometric measurements, body mass index (BMI), grip strength, body composition analyzer (InBody S10) measurements, and blood laboratory values including transthyretin levels. QOL was assessed using the QLQ-C30 questionnaire of the European Organization for Research and Treatment of Cancer (EORTC) (version 3.0) and calculated according to the EORTC scoring manual. The indices were compared at pre-transplantation, 30 days post-transplantation, 60 days post-transplantation, and at discharge. The association between pre-transplantation nutritional status and QOL was examined.</p><p><strong>Results: </strong>The median hospital stay after transplantation was 97 days (range, 78-123 days). Energy intake was maintained at 31 kcal/day/kg through 30 days post-transplantation, 60 days post-transplantation, and discharge, and protein intake was maintained at 1.0 g/day/kg throughout all time periods. There was a significant positive correlation between the pre-transplantation transthyretin level and the 60-day post-transplantation QOL scores for \"global health\", \"physical functioning\", \"cognitive functioning\", and \"emotional functioning\", and there were significant negative correlations with \"fatigue\" and \"pain\" that indicated improvement.</p><p><strong>Conclusion: </strong>Early nutritional management of allo-HSCT patients prior to transplantation allowed maintenance of nutritional intake, and higher pre-transplant transthyretin levels were associated with higher QOL scores at 60 days post-transplantation.</p>","PeriodicalId":72423,"journal":{"name":"Blood cell therapy","volume":"5 4","pages":"107-115"},"PeriodicalIF":0.0000,"publicationDate":"2022-11-25","publicationTypes":"Journal Article","fieldsOfStudy":null,"isOpenAccess":false,"openAccessPdf":"https://ftp.ncbi.nlm.nih.gov/pub/pmc/oa_pdf/ae/07/2432-7026-5-4-0107.PMC9873424.pdf","citationCount":"0","resultStr":"{\"title\":\"Effect of Early Nutritional Support on Quality of Life by EORTC QLQ-C30 in Allogeneic Hematopoietic Stem Cell Transplantation.\",\"authors\":\"Ayaka Inden,&nbsp;Takayoshi Tsukahara,&nbsp;Eiko Tachibana,&nbsp;Yasuyuki Nagata,&nbsp;Takaaki Ono,&nbsp;Akihiko Kato\",\"doi\":\"10.31547/bct-2022-007\",\"DOIUrl\":null,\"url\":null,\"abstract\":\"<p><strong>Purpose: </strong>Increasing attention is being paid to the importance of nutritional management of allogeneic hematopoietic stem cell transplant (allo-HSCT) patients. However, few studies have conducted detailed evaluations of both nutritional intake and quality of life (QOL) in allo-HSCT patients. Therefore, we investigated the nutritional status and quality of life of our allo-HSCT patients.</p><p><strong>Methods: </strong>The subjects were 26 adults who underwent allo-HSCT at Hamamatsu University Hospital between August 2018 and October 2021. Early nutritional intervention was provided from the time of the decision to perform allo-HSCT to the time of discharge, and it incorporated regular QOL assessments. The analyzed indices were nutritional intake, anthropometric measurements, body mass index (BMI), grip strength, body composition analyzer (InBody S10) measurements, and blood laboratory values including transthyretin levels. QOL was assessed using the QLQ-C30 questionnaire of the European Organization for Research and Treatment of Cancer (EORTC) (version 3.0) and calculated according to the EORTC scoring manual. The indices were compared at pre-transplantation, 30 days post-transplantation, 60 days post-transplantation, and at discharge. The association between pre-transplantation nutritional status and QOL was examined.</p><p><strong>Results: </strong>The median hospital stay after transplantation was 97 days (range, 78-123 days). Energy intake was maintained at 31 kcal/day/kg through 30 days post-transplantation, 60 days post-transplantation, and discharge, and protein intake was maintained at 1.0 g/day/kg throughout all time periods. There was a significant positive correlation between the pre-transplantation transthyretin level and the 60-day post-transplantation QOL scores for \\\"global health\\\", \\\"physical functioning\\\", \\\"cognitive functioning\\\", and \\\"emotional functioning\\\", and there were significant negative correlations with \\\"fatigue\\\" and \\\"pain\\\" that indicated improvement.</p><p><strong>Conclusion: </strong>Early nutritional management of allo-HSCT patients prior to transplantation allowed maintenance of nutritional intake, and higher pre-transplant transthyretin levels were associated with higher QOL scores at 60 days post-transplantation.</p>\",\"PeriodicalId\":72423,\"journal\":{\"name\":\"Blood cell therapy\",\"volume\":\"5 4\",\"pages\":\"107-115\"},\"PeriodicalIF\":0.0000,\"publicationDate\":\"2022-11-25\",\"publicationTypes\":\"Journal Article\",\"fieldsOfStudy\":null,\"isOpenAccess\":false,\"openAccessPdf\":\"https://ftp.ncbi.nlm.nih.gov/pub/pmc/oa_pdf/ae/07/2432-7026-5-4-0107.PMC9873424.pdf\",\"citationCount\":\"0\",\"resultStr\":null,\"platform\":\"Semanticscholar\",\"paperid\":null,\"PeriodicalName\":\"Blood cell therapy\",\"FirstCategoryId\":\"1085\",\"ListUrlMain\":\"https://doi.org/10.31547/bct-2022-007\",\"RegionNum\":0,\"RegionCategory\":null,\"ArticlePicture\":[],\"TitleCN\":null,\"AbstractTextCN\":null,\"PMCID\":null,\"EPubDate\":\"\",\"PubModel\":\"\",\"JCR\":\"\",\"JCRName\":\"\",\"Score\":null,\"Total\":0}","platform":"Semanticscholar","paperid":null,"PeriodicalName":"Blood cell therapy","FirstCategoryId":"1085","ListUrlMain":"https://doi.org/10.31547/bct-2022-007","RegionNum":0,"RegionCategory":null,"ArticlePicture":[],"TitleCN":null,"AbstractTextCN":null,"PMCID":null,"EPubDate":"","PubModel":"","JCR":"","JCRName":"","Score":null,"Total":0}
引用次数: 0

摘要

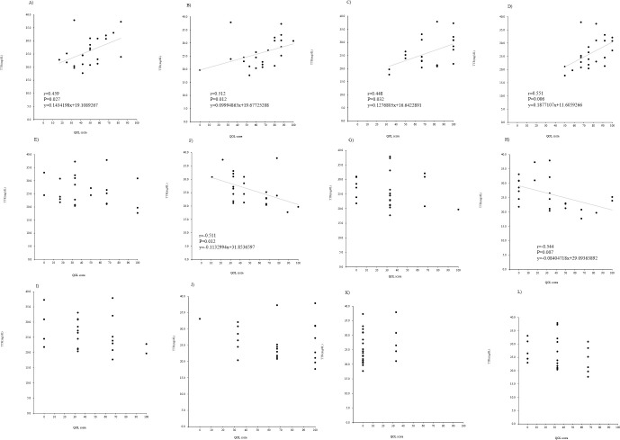
目的:同种异体造血干细胞移植患者营养管理的重要性日益受到重视。然而,很少有研究对同种异体移植患者的营养摄入和生活质量(QOL)进行详细的评估。因此,我们调查了同种异体造血干细胞移植患者的营养状况和生活质量。方法:受试者为2018年8月至2021年10月在滨松大学医院接受同种异体造血干细胞移植的26名成年人。从决定进行同种异体造血干细胞移植到出院时,提供早期营养干预,并纳入定期的生活质量评估。分析的指标包括营养摄入、人体测量、体重指数(BMI)、握力、身体成分分析仪(InBody S10)测量和血液实验室值(包括甲状腺素转甲状腺素水平)。生活质量采用欧洲癌症研究与治疗组织(EORTC) 3.0版QLQ-C30问卷进行评估,并根据EORTC评分手册进行计算。比较移植前、移植后30天、移植后60天和出院时的各项指标。研究移植前营养状况与生活质量的关系。结果:移植后平均住院时间为97天(78 ~ 123天)。在移植后30天、60天及出院期间,能量摄入量维持在31 kcal/天/kg,蛋白质摄入量维持在1.0 g/天/kg。移植前甲状腺素水平与移植后60天“整体健康”、“身体功能”、“认知功能”和“情绪功能”的生活质量评分呈显著正相关,与“疲劳”和“疼痛”呈显著负相关,表明移植后60天生活质量有所改善。结论:移植前对同种异体造血干细胞移植患者进行早期营养管理可以维持营养摄入,移植前较高的促甲状腺素水平与移植后60天较高的生活质量评分相关。
本文章由计算机程序翻译,如有差异,请以英文原文为准。

Effect of Early Nutritional Support on Quality of Life by EORTC QLQ-C30 in Allogeneic Hematopoietic Stem Cell Transplantation.

Effect of Early Nutritional Support on Quality of Life by EORTC QLQ-C30 in Allogeneic Hematopoietic Stem Cell Transplantation.

Effect of Early Nutritional Support on Quality of Life by EORTC QLQ-C30 in Allogeneic Hematopoietic Stem Cell Transplantation.

Purpose: Increasing attention is being paid to the importance of nutritional management of allogeneic hematopoietic stem cell transplant (allo-HSCT) patients. However, few studies have conducted detailed evaluations of both nutritional intake and quality of life (QOL) in allo-HSCT patients. Therefore, we investigated the nutritional status and quality of life of our allo-HSCT patients.

Methods: The subjects were 26 adults who underwent allo-HSCT at Hamamatsu University Hospital between August 2018 and October 2021. Early nutritional intervention was provided from the time of the decision to perform allo-HSCT to the time of discharge, and it incorporated regular QOL assessments. The analyzed indices were nutritional intake, anthropometric measurements, body mass index (BMI), grip strength, body composition analyzer (InBody S10) measurements, and blood laboratory values including transthyretin levels. QOL was assessed using the QLQ-C30 questionnaire of the European Organization for Research and Treatment of Cancer (EORTC) (version 3.0) and calculated according to the EORTC scoring manual. The indices were compared at pre-transplantation, 30 days post-transplantation, 60 days post-transplantation, and at discharge. The association between pre-transplantation nutritional status and QOL was examined.

Results: The median hospital stay after transplantation was 97 days (range, 78-123 days). Energy intake was maintained at 31 kcal/day/kg through 30 days post-transplantation, 60 days post-transplantation, and discharge, and protein intake was maintained at 1.0 g/day/kg throughout all time periods. There was a significant positive correlation between the pre-transplantation transthyretin level and the 60-day post-transplantation QOL scores for "global health", "physical functioning", "cognitive functioning", and "emotional functioning", and there were significant negative correlations with "fatigue" and "pain" that indicated improvement.

Conclusion: Early nutritional management of allo-HSCT patients prior to transplantation allowed maintenance of nutritional intake, and higher pre-transplant transthyretin levels were associated with higher QOL scores at 60 days post-transplantation.

求助全文
通过发布文献求助,成功后即可免费获取论文全文。 去求助
来源期刊
自引率
0.00%
发文量
0
×
引用
GB/T 7714-2015
复制
MLA
复制
APA
复制
导出至
BibTeX EndNote RefMan NoteFirst NoteExpress
×
提示
您的信息不完整,为了账户安全,请先补充。
现在去补充
×
提示
您因"违规操作"
具体请查看互助需知
我知道了
×
提示
确定
请完成安全验证×
copy
已复制链接
快去分享给好友吧!
我知道了
右上角分享
点击右上角分享
0
联系我们:info@booksci.cn Book学术提供免费学术资源搜索服务,方便国内外学者检索中英文文献。致力于提供最便捷和优质的服务体验。 Copyright © 2023 布克学术 All rights reserved.
京ICP备2023020795号-1
ghs 京公网安备 11010802042870号
Book学术文献互助
Book学术文献互助群
群 号:604180095
Book学术官方微信