心理契约违约与反生产行为递归关系中的认知身份威胁与组织玩世不恭。

IF 2.3 4区 管理学 Q2 INDUSTRIAL RELATIONS & LABOR
Yannick Griep, Samantha D Hansen, Johannes M Kraak
{"title":"心理契约违约与反生产行为递归关系中的认知身份威胁与组织玩世不恭。","authors":"Yannick Griep,&nbsp;Samantha D Hansen,&nbsp;Johannes M Kraak","doi":"10.1177/0143831X211070326","DOIUrl":null,"url":null,"abstract":"<p><p>Counterproductive work behavior toward the organization (CWB-O) or supervisor (CWB-S) is commonly treated as a consequence of psychological contract breach (PCB). However, drawing from Self-Consistency Theory, the authors in this article argue that the PCB-CWB relationship is recursive through two mediating mechanisms: self-identity threat and organizational cynicism. Furthermore, the authors predict that the relationship between feelings of violation and CWB-O (or CWB-S) would depend on the extent to which the victim attributed blame to the organization (or supervisor). Using weekly and daily survey data, the study found that identity threat was a stronger mediator for recursive CWB-PCB relationships. Moreover, it was found that PCB related positively to violation feelings, which in turn related positively to CWB-O and CWB-S over time. As predicted, the former was moderated by organizational blame attributions, whereas the latter was moderated by supervisor blame attributions. The authors discuss the theoretical implications and propose novel practical implications based on these reciprocal findings.</p>","PeriodicalId":47456,"journal":{"name":"Economic and Industrial Democracy","volume":"44 2","pages":"351-384"},"PeriodicalIF":2.3000,"publicationDate":"2023-05-01","publicationTypes":"Journal Article","fieldsOfStudy":null,"isOpenAccess":false,"openAccessPdf":"https://www.ncbi.nlm.nih.gov/pmc/articles/PMC10164237/pdf/","citationCount":"5","resultStr":"{\"title\":\"Perceived identity threat and organizational cynicism in the recursive relationship between psychological contract breach and counterproductive work behavior.\",\"authors\":\"Yannick Griep,&nbsp;Samantha D Hansen,&nbsp;Johannes M Kraak\",\"doi\":\"10.1177/0143831X211070326\",\"DOIUrl\":null,\"url\":null,\"abstract\":\"<p><p>Counterproductive work behavior toward the organization (CWB-O) or supervisor (CWB-S) is commonly treated as a consequence of psychological contract breach (PCB). However, drawing from Self-Consistency Theory, the authors in this article argue that the PCB-CWB relationship is recursive through two mediating mechanisms: self-identity threat and organizational cynicism. Furthermore, the authors predict that the relationship between feelings of violation and CWB-O (or CWB-S) would depend on the extent to which the victim attributed blame to the organization (or supervisor). Using weekly and daily survey data, the study found that identity threat was a stronger mediator for recursive CWB-PCB relationships. Moreover, it was found that PCB related positively to violation feelings, which in turn related positively to CWB-O and CWB-S over time. As predicted, the former was moderated by organizational blame attributions, whereas the latter was moderated by supervisor blame attributions. The authors discuss the theoretical implications and propose novel practical implications based on these reciprocal findings.</p>\",\"PeriodicalId\":47456,\"journal\":{\"name\":\"Economic and Industrial Democracy\",\"volume\":\"44 2\",\"pages\":\"351-384\"},\"PeriodicalIF\":2.3000,\"publicationDate\":\"2023-05-01\",\"publicationTypes\":\"Journal Article\",\"fieldsOfStudy\":null,\"isOpenAccess\":false,\"openAccessPdf\":\"https://www.ncbi.nlm.nih.gov/pmc/articles/PMC10164237/pdf/\",\"citationCount\":\"5\",\"resultStr\":null,\"platform\":\"Semanticscholar\",\"paperid\":null,\"PeriodicalName\":\"Economic and Industrial Democracy\",\"FirstCategoryId\":\"91\",\"ListUrlMain\":\"https://doi.org/10.1177/0143831X211070326\",\"RegionNum\":4,\"RegionCategory\":\"管理学\",\"ArticlePicture\":[],\"TitleCN\":null,\"AbstractTextCN\":null,\"PMCID\":null,\"EPubDate\":\"\",\"PubModel\":\"\",\"JCR\":\"Q2\",\"JCRName\":\"INDUSTRIAL RELATIONS & LABOR\",\"Score\":null,\"Total\":0}","platform":"Semanticscholar","paperid":null,"PeriodicalName":"Economic and Industrial Democracy","FirstCategoryId":"91","ListUrlMain":"https://doi.org/10.1177/0143831X211070326","RegionNum":4,"RegionCategory":"管理学","ArticlePicture":[],"TitleCN":null,"AbstractTextCN":null,"PMCID":null,"EPubDate":"","PubModel":"","JCR":"Q2","JCRName":"INDUSTRIAL RELATIONS & LABOR","Score":null,"Total":0}
引用次数: 5

摘要

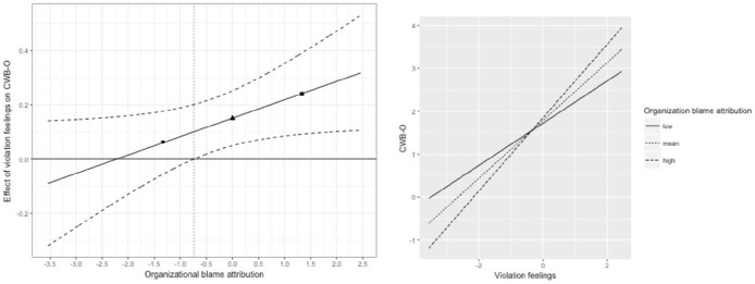
对组织(CWB-O)或主管(CWB-S)的反生产行为通常被视为心理契约违约(PCB)的结果。然而,根据自我一致性理论,作者认为PCB-CWB关系通过自我认同威胁和组织玩世不恭两种中介机制递归。此外,作者预测,侵犯感与CWB-O(或CWB-S)之间的关系取决于受害者将责任归咎于组织(或主管)的程度。利用每周和每日调查数据,研究发现身份威胁是递归CWB-PCB关系的更强中介。此外,随着时间的推移,PCB与违规感受正相关,违规感受与CWB-O和CWB-S正相关。正如预测的那样,前者受到组织责备归因的调节,而后者受到主管责备归因的调节。作者讨论了理论意义,并根据这些相互的发现提出了新的实践意义。
本文章由计算机程序翻译,如有差异,请以英文原文为准。

Perceived identity threat and organizational cynicism in the recursive relationship between psychological contract breach and counterproductive work behavior.

Perceived identity threat and organizational cynicism in the recursive relationship between psychological contract breach and counterproductive work behavior.

Perceived identity threat and organizational cynicism in the recursive relationship between psychological contract breach and counterproductive work behavior.

Perceived identity threat and organizational cynicism in the recursive relationship between psychological contract breach and counterproductive work behavior.

Counterproductive work behavior toward the organization (CWB-O) or supervisor (CWB-S) is commonly treated as a consequence of psychological contract breach (PCB). However, drawing from Self-Consistency Theory, the authors in this article argue that the PCB-CWB relationship is recursive through two mediating mechanisms: self-identity threat and organizational cynicism. Furthermore, the authors predict that the relationship between feelings of violation and CWB-O (or CWB-S) would depend on the extent to which the victim attributed blame to the organization (or supervisor). Using weekly and daily survey data, the study found that identity threat was a stronger mediator for recursive CWB-PCB relationships. Moreover, it was found that PCB related positively to violation feelings, which in turn related positively to CWB-O and CWB-S over time. As predicted, the former was moderated by organizational blame attributions, whereas the latter was moderated by supervisor blame attributions. The authors discuss the theoretical implications and propose novel practical implications based on these reciprocal findings.

求助全文
通过发布文献求助,成功后即可免费获取论文全文。 去求助
来源期刊
Economic and Industrial Democracy
Economic and Industrial Democracy INDUSTRIAL RELATIONS & LABOR-
CiteScore
4.10
自引率
13.30%
发文量
51
期刊介绍: Economic and Industrial Democracy is an international peer reviewed journal that focuses on the study of initiatives designed to enhance the quality of working life through extending the democratic control of workers over the workplace and the economy. How those initiatives are affected by wider political, economic and technological factors are also of interest. Special emphasis is laid on international coverage of empirical material, including discussions of the social and economic conditions in various countries.
×
引用
GB/T 7714-2015
复制
MLA
复制
APA
复制
导出至
BibTeX EndNote RefMan NoteFirst NoteExpress
×
提示
您的信息不完整,为了账户安全,请先补充。
现在去补充
×
提示
您因"违规操作"
具体请查看互助需知
我知道了
×
提示
确定
请完成安全验证×
copy
已复制链接
快去分享给好友吧!
我知道了
右上角分享
点击右上角分享
0
联系我们:info@booksci.cn Book学术提供免费学术资源搜索服务,方便国内外学者检索中英文文献。致力于提供最便捷和优质的服务体验。 Copyright © 2023 布克学术 All rights reserved.
京ICP备2023020795号-1
ghs 京公网安备 11010802042870号
Book学术文献互助
Book学术文献互助群
群 号:604180095
Book学术官方微信