增量式心肺循环运动测试中呼吸困难强度的标准参考方程。

IF 6.8 2区 医学 Q1 RESPIRATORY SYSTEM
Magnus Ekström, Pei Zhi Li, Hayley Lewthwaite, Jean Bourbeau, Wan C Tan, Linus Schiöler, Andrew Brotto, Michael K Stickland, Dennis Jensen
{"title":"增量式心肺循环运动测试中呼吸困难强度的标准参考方程。","authors":"Magnus Ekström, Pei Zhi Li, Hayley Lewthwaite, Jean Bourbeau, Wan C Tan, Linus Schiöler, Andrew Brotto, Michael K Stickland, Dennis Jensen","doi":"10.1513/AnnalsATS.202305-394OC","DOIUrl":null,"url":null,"abstract":"<p><p><b>Rationale:</b> Cardiopulmonary exercise testing (CPET) is the gold standard to evaluate exertional breathlessness, a common and disabling symptom. However, the interpretation of breathlessness responses to CPET is limited by a scarcity of normative data. <b>Objectives:</b> We aimed to develop normative reference equations for breathlessness intensity (Borg 0-10 category ratio) response in men and women aged ⩾40 years during CPET, in relation to power output (watts), oxygen uptake, and minute ventilation. <b>Methods:</b> Analysis of ostensibly healthy people aged ⩾40 years undergoing symptom-limited incremental cycle CPET (10 W/min) in the CanCOLD (Canadian Cohort Obstructive Lung Disease) study. Participants had smoking histories <5 pack-years and normal lung function and exercise capacity. The probability of each Borg 0-10 category ratio breathlessness intensity rating by power output, oxygen uptake, and minute ventilation (as an absolute or a relative value [percentage of predicted maximum]) was predicted using ordinal multinomial logistic regression. Model performance was evaluated by fit, calibration, and discrimination (C statistic) and externally validated in an independent sample (<i>n</i> = 86) of healthy Canadian adults. <b>Results:</b> We included 156 participants (43% women) from CanCOLD; the mean age was 65 (range, 42-91) years, and the mean body mass index was 26.3 (standard deviation, 3.8) kg/m<sup>2</sup>. Reference equations were developed for women and men separately, accounting for age and/or body mass. Model performance was high across all equations, including in the validation sample (C statistic for men = 0.81-0.92, C statistic for women = 0.81-0.96). <b>Conclusions:</b> Normative reference equations are provided to compare exertional breathlessness intensity ratings among individuals or groups and to identify and quantify abnormal breathlessness responses (scores greater than the upper limit of normal) during CPET.</p>","PeriodicalId":8018,"journal":{"name":"Annals of the American Thoracic Society","volume":" ","pages":"56-67"},"PeriodicalIF":6.8000,"publicationDate":"2024-01-01","publicationTypes":"Journal Article","fieldsOfStudy":null,"isOpenAccess":false,"openAccessPdf":"https://www.ncbi.nlm.nih.gov/pmc/articles/PMC10867914/pdf/","citationCount":"0","resultStr":"{\"title\":\"Normative Reference Equations for Breathlessness Intensity during Incremental Cardiopulmonary Cycle Exercise Testing.\",\"authors\":\"Magnus Ekström, Pei Zhi Li, Hayley Lewthwaite, Jean Bourbeau, Wan C Tan, Linus Schiöler, Andrew Brotto, Michael K Stickland, Dennis Jensen\",\"doi\":\"10.1513/AnnalsATS.202305-394OC\",\"DOIUrl\":null,\"url\":null,\"abstract\":\"<p><p><b>Rationale:</b> Cardiopulmonary exercise testing (CPET) is the gold standard to evaluate exertional breathlessness, a common and disabling symptom. However, the interpretation of breathlessness responses to CPET is limited by a scarcity of normative data. <b>Objectives:</b> We aimed to develop normative reference equations for breathlessness intensity (Borg 0-10 category ratio) response in men and women aged ⩾40 years during CPET, in relation to power output (watts), oxygen uptake, and minute ventilation. <b>Methods:</b> Analysis of ostensibly healthy people aged ⩾40 years undergoing symptom-limited incremental cycle CPET (10 W/min) in the CanCOLD (Canadian Cohort Obstructive Lung Disease) study. Participants had smoking histories <5 pack-years and normal lung function and exercise capacity. The probability of each Borg 0-10 category ratio breathlessness intensity rating by power output, oxygen uptake, and minute ventilation (as an absolute or a relative value [percentage of predicted maximum]) was predicted using ordinal multinomial logistic regression. Model performance was evaluated by fit, calibration, and discrimination (C statistic) and externally validated in an independent sample (<i>n</i> = 86) of healthy Canadian adults. <b>Results:</b> We included 156 participants (43% women) from CanCOLD; the mean age was 65 (range, 42-91) years, and the mean body mass index was 26.3 (standard deviation, 3.8) kg/m<sup>2</sup>. Reference equations were developed for women and men separately, accounting for age and/or body mass. Model performance was high across all equations, including in the validation sample (C statistic for men = 0.81-0.92, C statistic for women = 0.81-0.96). <b>Conclusions:</b> Normative reference equations are provided to compare exertional breathlessness intensity ratings among individuals or groups and to identify and quantify abnormal breathlessness responses (scores greater than the upper limit of normal) during CPET.</p>\",\"PeriodicalId\":8018,\"journal\":{\"name\":\"Annals of the American Thoracic Society\",\"volume\":\" \",\"pages\":\"56-67\"},\"PeriodicalIF\":6.8000,\"publicationDate\":\"2024-01-01\",\"publicationTypes\":\"Journal Article\",\"fieldsOfStudy\":null,\"isOpenAccess\":false,\"openAccessPdf\":\"https://www.ncbi.nlm.nih.gov/pmc/articles/PMC10867914/pdf/\",\"citationCount\":\"0\",\"resultStr\":null,\"platform\":\"Semanticscholar\",\"paperid\":null,\"PeriodicalName\":\"Annals of the American Thoracic Society\",\"FirstCategoryId\":\"3\",\"ListUrlMain\":\"https://doi.org/10.1513/AnnalsATS.202305-394OC\",\"RegionNum\":2,\"RegionCategory\":\"医学\",\"ArticlePicture\":[],\"TitleCN\":null,\"AbstractTextCN\":null,\"PMCID\":null,\"EPubDate\":\"\",\"PubModel\":\"\",\"JCR\":\"Q1\",\"JCRName\":\"RESPIRATORY SYSTEM\",\"Score\":null,\"Total\":0}","platform":"Semanticscholar","paperid":null,"PeriodicalName":"Annals of the American Thoracic Society","FirstCategoryId":"3","ListUrlMain":"https://doi.org/10.1513/AnnalsATS.202305-394OC","RegionNum":2,"RegionCategory":"医学","ArticlePicture":[],"TitleCN":null,"AbstractTextCN":null,"PMCID":null,"EPubDate":"","PubModel":"","JCR":"Q1","JCRName":"RESPIRATORY SYSTEM","Score":null,"Total":0}
引用次数: 0

摘要

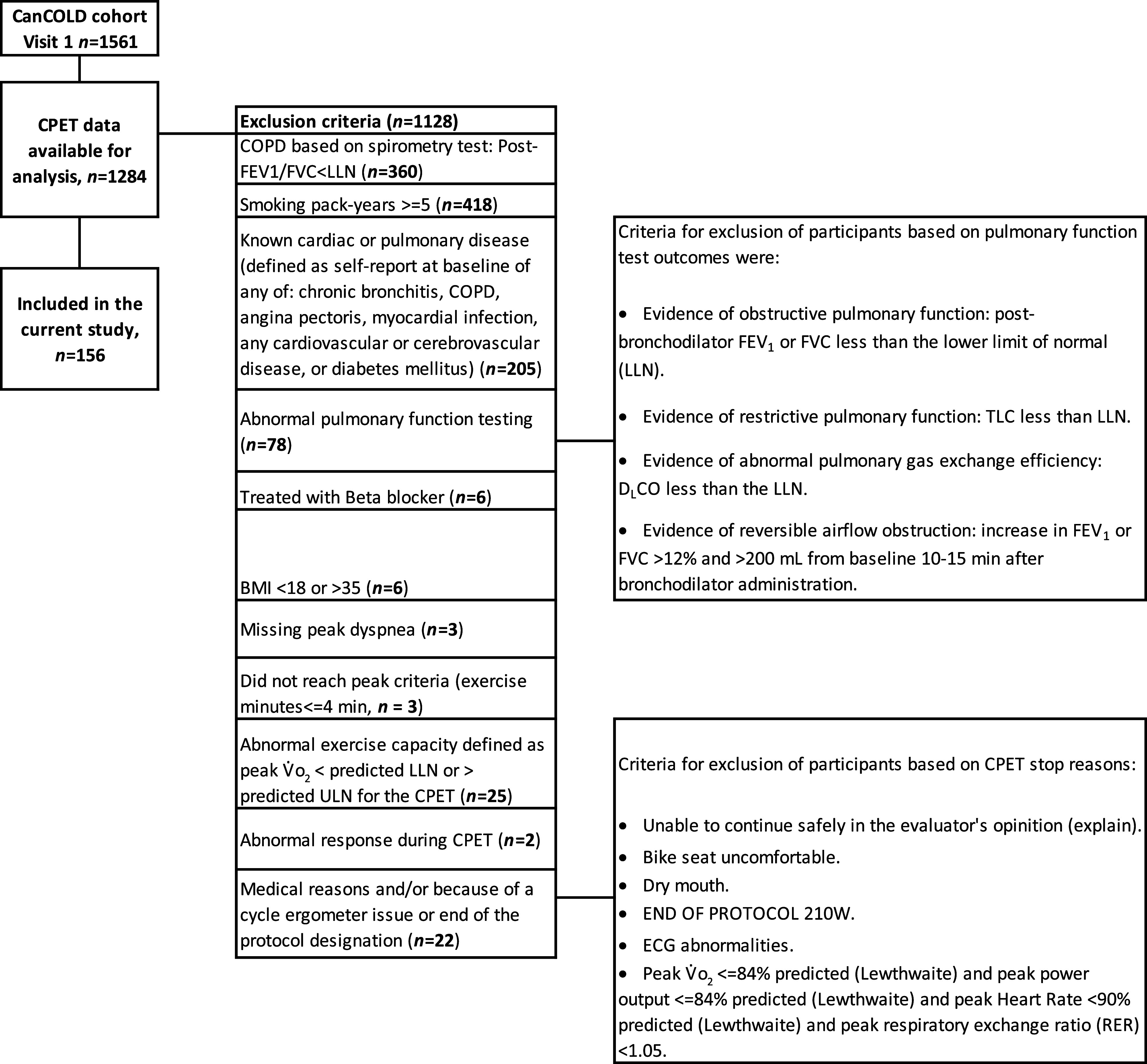
原理:心肺运动测试 (CPET) 是评估劳累性呼吸困难(一种常见的致残症状)的黄金标准。然而,由于缺乏常模数据,对 CPET 呼吸困难反应的解释受到了限制。我们的目标是我们的目的是根据输出功率(瓦特)、摄氧量和分钟通气量,为 40 岁以下男性和女性在 CPET 中的憋气强度(博格 0-10 类别比率)反应制定标准参考方程。方法:对在 CanCOLD(加拿大队列阻塞性肺病)研究中接受症状限制增量循环 CPET(10 瓦/分钟)的 40 岁以下表面健康的人进行分析。参与者中有吸烟史(n = 86)的健康加拿大成年人。研究结果我们纳入了 156 名来自 CanCOLD 的参与者(43% 为女性);平均年龄为 65 岁(42-91 岁不等),平均体重指数为 26.3(标准偏差为 3.8)kg/m2。根据年龄和/或体重,分别为女性和男性制定了参考方程。所有方程的模型性能都很高,包括在验证样本中(男性的 C 统计量 = 0.81-0.92,女性的 C 统计量 = 0.81-0.96)。结论:正常参考方程可用于比较不同个体或群体的用力呼吸困难强度评分,以及识别和量化 CPET 期间的异常呼吸困难反应(评分大于正常值上限)。
本文章由计算机程序翻译,如有差异,请以英文原文为准。

Normative Reference Equations for Breathlessness Intensity during Incremental Cardiopulmonary Cycle Exercise Testing.

Normative Reference Equations for Breathlessness Intensity during Incremental Cardiopulmonary Cycle Exercise Testing.

Normative Reference Equations for Breathlessness Intensity during Incremental Cardiopulmonary Cycle Exercise Testing.

Normative Reference Equations for Breathlessness Intensity during Incremental Cardiopulmonary Cycle Exercise Testing.

Rationale: Cardiopulmonary exercise testing (CPET) is the gold standard to evaluate exertional breathlessness, a common and disabling symptom. However, the interpretation of breathlessness responses to CPET is limited by a scarcity of normative data. Objectives: We aimed to develop normative reference equations for breathlessness intensity (Borg 0-10 category ratio) response in men and women aged ⩾40 years during CPET, in relation to power output (watts), oxygen uptake, and minute ventilation. Methods: Analysis of ostensibly healthy people aged ⩾40 years undergoing symptom-limited incremental cycle CPET (10 W/min) in the CanCOLD (Canadian Cohort Obstructive Lung Disease) study. Participants had smoking histories <5 pack-years and normal lung function and exercise capacity. The probability of each Borg 0-10 category ratio breathlessness intensity rating by power output, oxygen uptake, and minute ventilation (as an absolute or a relative value [percentage of predicted maximum]) was predicted using ordinal multinomial logistic regression. Model performance was evaluated by fit, calibration, and discrimination (C statistic) and externally validated in an independent sample (n = 86) of healthy Canadian adults. Results: We included 156 participants (43% women) from CanCOLD; the mean age was 65 (range, 42-91) years, and the mean body mass index was 26.3 (standard deviation, 3.8) kg/m2. Reference equations were developed for women and men separately, accounting for age and/or body mass. Model performance was high across all equations, including in the validation sample (C statistic for men = 0.81-0.92, C statistic for women = 0.81-0.96). Conclusions: Normative reference equations are provided to compare exertional breathlessness intensity ratings among individuals or groups and to identify and quantify abnormal breathlessness responses (scores greater than the upper limit of normal) during CPET.

求助全文
通过发布文献求助,成功后即可免费获取论文全文。 去求助
来源期刊
Annals of the American Thoracic Society
Annals of the American Thoracic Society Medicine-Pulmonary and Respiratory Medicine
CiteScore
9.30
自引率
3.60%
发文量
0
期刊介绍: The Annals of the American Thoracic Society (AnnalsATS) is the official international online journal of the American Thoracic Society. Formerly known as PATS, it provides comprehensive and authoritative coverage of a wide range of topics in adult and pediatric pulmonary medicine, respiratory sleep medicine, and adult medical critical care. As a leading journal in its field, AnnalsATS offers up-to-date and reliable information that is directly applicable to clinical practice. It serves as a valuable resource for clinical specialists, supporting their formative and continuing education. Additionally, the journal is committed to promoting public health by publishing research and articles that contribute to the advancement of knowledge in these fields.
×
引用
GB/T 7714-2015
复制
MLA
复制
APA
复制
导出至
BibTeX EndNote RefMan NoteFirst NoteExpress
×
提示
您的信息不完整,为了账户安全,请先补充。
现在去补充
×
提示
您因"违规操作"
具体请查看互助需知
我知道了
×
提示
确定
请完成安全验证×
copy
已复制链接
快去分享给好友吧!
我知道了
右上角分享
点击右上角分享
0
联系我们:info@booksci.cn Book学术提供免费学术资源搜索服务,方便国内外学者检索中英文文献。致力于提供最便捷和优质的服务体验。 Copyright © 2023 布克学术 All rights reserved.
京ICP备2023020795号-1
ghs 京公网安备 11010802042870号
Book学术文献互助
Book学术文献互助群
群 号:604180095
Book学术官方微信